Mevcut Bina Elemanlarının Değerlendirilmesi (5.8.1.6)
İtme analizi sonucunda eleman plastik şekildeğiştirme ve birim şekildeğiştirme değerleri otomatik hesaplanır.
Bilgi düzeyi katsayısı kullanıcı tarafından seçilmektedir.
Eğrilik analizi sonucunda (GÖ), (KH) ve (SH) performans düzeyleri için yapılacak performans değerlendirilmesinde kullanılacak plastik dönme sınır değerleri otomatik hesaplanır.
Yayılı plastik davranış modeline göre (GÖ), (KH) ve (SH) performans düzeyleri için hesaplanan beton ve donatı çeliği toplam birim şekildeğiştirme sınır değerleri otomatik hesaplanır.
SİMGELER
bw = Kirişin gövde genişliği
d = Kiriş ve kolonun faydalı yüksekliği
db = Boyuna donatı çapı (çekmede ortalama) [m]
fctm = 15.2.4.3’e göre tanımlanan mevcut betonun çekme dayanımı
fco = Sargısız beton basınç dayanımı
fsy = Donatı çeliğinin akma dayanımı
fck = Betonun karakteristik basınç dayanımı
fyk = Donatı çeliğinin karakteristik akma dayanımı
Lp = Plastik mafsal boyu [m]
Ls = Kesme açıklığı [m]
Ve = Kolon, kiriş ve perdede esas alınan tasarım kesme kuvveti
ρsh = Gözönüne alınan doğrultuda enine donatının hacimsel oranı
Lp = Plastik mafsal boyu [m]
Ls = Kesme açıklığı [m]
ϕy = Akma eğriliği [m-1]
ϕu = Göçme eğriliği [m-1]
θp(KH) = Kontrollü Hasar performans düzeyi için izin verilen plastik dönme sınırı [rad]
θp(GÖ) = Göçmenin Önlenmesi performans düzeyi için izin verilen plastik dönme sınırı [rad]
θp(SH) = Sınırlı Hasar performans düzeyi için izin verilen plastik dönme sınırı [rad]
ωwe = Etkin sargı donatısının mekanik donatı oranı
ρsh = Gözönüne alınan doğrultuda enine donatının hacimsel oranı
εc(GÖ) = Göçmenin Önlenmesi performans düzeyi için izin verilen sargılı beton birim kısalması sınırı
εs(GÖ) = Göçmenin Önlenmesi performans düzeyi için izin verilen donatı çeliği birim şekildeğiştirmesi sınırı
εc(KH) = Kontrollü Hasar performans düzeyi için izin verilen sargılı beton birim kısalması sınırı
εs(KH) = Kontrollü Hasar performans düzeyi için izin verilen donatı çeliği birim şekildeğiştirmesi sınırı
εc(SH) = Sınırlı Hasar performans düzeyi için izin verilen sargılı beton birim kısalması sınırı
εs(SH) = Sınırlı Hasar performans düzeyi için izin verilen donatı çeliği birim şekildeğiştirmesi sınırı
Mevcut Bina Elemanlarının Değerlendirilmesi (5.8.1.6)
TBDY 5.8.1.6 'da mevcut binaların değerlendirilmesi ile ilgili şekildeğiştirme sınırlarının TBDY Bölüm 15 'te tanımlandığı belirtilmiştir.
TBDY15.2.3 'de mevcut bina elemanlarının kapasitelerinin belirlenmesinde kullanılacak olan malzeme dayanımları mevcut malzeme dayanımı olarak dikkate alınmaktadır. Aynı zamanda TBDY 15.2.12(a) 'da tanımlanan ve Tablo 15.1 'de gösterilen Bilgi Düzeyi Katsayıları eleman kapasitelerinde uygulanmaktadır. TBDY 15.2.12(b) 'de eleman kapasitelerinin hesabında mevcut malzeme dayanımlarının kullanılmaktadır ve bu malzeme dayanımları yönetmeliklerde ( TS500 ) verilen malzeme katsayılarına bölünmemektedir.

Bu durumda TBDY Şekil 5A.1 ve Şekil 5A.2 'de sargılı ve sargısız beton modelleri ile donatı modeli tanımlanırken, fco sargısız beton basınç dayanımını ve fsy, donatı çeliğinin akma dayanımı bilgi düzeyi katsayısı ve mevcut malzeme dayanımlarına göre tanımlanmaktadır.

Betonun karakteristik basınç dayanımı, fck olmak üzere mevcut malzeme dayanımının kullanılması durumunda eğer bilgi düzeyi “Kapsamlı” olarak seçilmiş ise beton dayanımı fco=fck olarak, bilgi düzeyi “Sınırlı” olarak seçilmiş ise fco=0.75fck alınır. Benze şekilde donatının karakteristik akma dayanımı, fyk olmak üzere mevcut malzeme dayanımının kullanılması durumunda eğer bilgi düzeyi “Kapsamlı” olarak seçilmiş ise donatı çeliğinin akma dayanımı fsy=fyk olarak, bilgi düzeyi “Sınırlı” olarak seçilmiş ise fsy=0.75fyk alınır. Plastik mafsal kesitinin moment eğrilik ilişkisi yukarıdaki malzeme dayanımlarına göre çıkartılır. Bu durumda plastik mafsalın iskelet eğrisi mevcut malzeme dayanımlarına göre elde edilmiş olur.
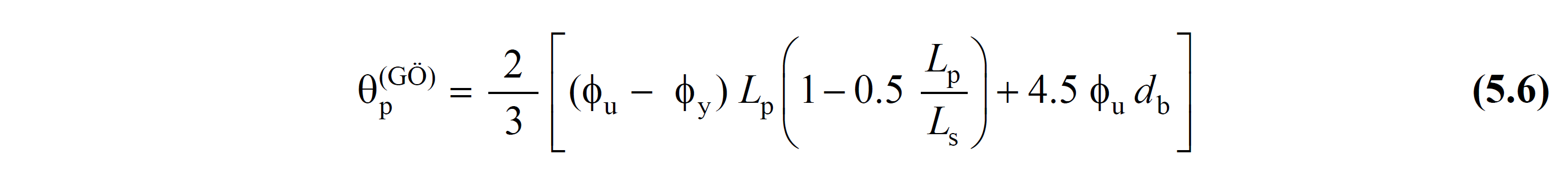
TBDY 15.7.1.3 'e göre plastik mafsalların dönme üst sınırları 5.8.1.2, 5.8.1.3, 5.8.1.4 'te tanımlandığı şekli ile dikkate alınacaktır. TBDY 5.8.1.2 'ye göre plastik mafsalların Göçmenin Önlenmesi (GÖ) Performans Düzeyi için plastik dönme sınır değeri θp(GÖ), Denk.(5.6) ile hesaplanmaktadır.Yığılı Plastik Davranış için Göçmenin Önlenmesi Performans Düzeyi (5.8.1.2)

Bu bağıntıda ϕu göçme öncesi eğriliği ve ϕy akma eğriliği değerleri plastik mafsal kesitinde çıkartılan moment-eğrilik bağıntısı ile bulunmaktadır. Moment-eğrilik bağıntısında beton ve donatının gerilme-şekildeğiştirme bağıntıları malzeme modeli olarak kullanılır. Bu durumda TBDY 15.2.12 'ye göre ϕu ve ϕy mevcut malzeme dayanımları bilgi düzeyi katsayısı dikkate alınarak mevcut yapılar için hesaplanmaktadır. ϕu ve ϕy değerleri elde edildikten sonra Göçmenin Önlenmesi (GÖ) Performans Düzeyi için plastik dönme sınır değeri θp(GÖ) mevcut malzeme dayanımları kullanılarak elde edilmiş olur.
TBDY 5.8.1.3 'e göre Plastik mafsalların Kontrollü Hasar (KH) Performans Düzeyi için plastik dönme sınır değeri θp(KH) ve TBDY 5.8.1.4 'e göre Plastik mafsalların Sınırlı Hasar (SH) Performans Düzeyi için plastik dönme sınır değeri θp(SH) , θp(GÖ) değeri kullanılarak aşağıdaki gibi hesaplanmaktadır.



TBDY 15.7.1.3 'e göre yayılı plastik davranış modeli 'ne göre hesaplanmış birim şekildeğiştirme üst sınırları 5.8.1.1, 5.8.1.3, 5.8.1.4 'te tanımlandığı şekli ile dikkate alınacaktır. TBDY 5.8.1.1 'e göre Göçmenin Önlenmesi (GÖ) Performans Düzeyi için yapılacak performans değerlendirmesinde yayılı plastik davranış modeli 'ne göre hesaplanan beton ve donatı çeliği birim şekildeğiştirmeleri εc(GÖ) ve εs(GÖ) için izin verilen sınır değerler aşağıda gösterilmiştir. Yayılı Plastik Davranış için Göçmenin Önlenmesi Performans Düzeyi (5.8.1.1)


TBDY 5.8.1.3 'e göre Kontrollü Hasar (KH) Performans Düzeyi için yapılacak performans değerlendirmesinde yayılı plastik davranış modeli 'ne göre hesaplanan beton ve donatı çeliği birim şekildeğiştirmeleri εc(KH) ve εs(KH) için izin verilen sınır değerler aşağıda gösterilmiştir. Kontrollü Hasar Performans Düzeyi (5.8.1.3)

TBDY 5.8.1.4 'e göre Sınırlı Hasar (KH) Performans Düzeyi için yapılacak performans değerlendirmesinde yayılı plastik davranış modeli 'ne göre hesaplanan beton ve donatı çeliği birim şekildeğiştirmeleri εc(SH) ve εs(SH) için izin verilen sınır değerler aşağıda gösterilmiştir. Sınırlı Hasar Performans Düzeyi (5.8.1.4)

TBDY 15.7.1.4 'e göre şekildeğiştirme hesabı yapılan betonarme kesitin kesme kuvveti oranı
Ve / (bwd fctm) < 0.65
ise yukarıda anlatılan θp(GÖ), θp(KH) ve θp(SH) plastik dönme üst sınır değerleri geçerlidir. Ancak kesme kuvvet oranı 1.3 'den büyük ise θp(GÖ), θp(KH) ve θp(SH) üst sınır değerleri 0.5 ile çarpılarak azaltılmaktadır. Ara değerler için doğrusal interpolasyon yapılmaktadır.