Tek Modlu İtme Yöntemlerinde Performans Noktası
SİMGELER
ay1 = Birinci mod için akma sözde-ivmesi [m/s2]
CR = Spektral yerdeğiştirme oranı
d1,max(X) = (X) deprem doğrultusu için modal tek serbestlik dereceli sistemin enbüyük yerdeğiştirmesi [m]
fe = Taşıyıcı sistem için hesaplanan doğrusal (elastik) dayanım talebi
fy = Öngörülen süneklik kapasitesi ve periyoda bağlı akma dayanımı
Sae(T1) = Birinci doğal titreşim periyodu T1 ’e karşı gelen doğrusal elastik spektral ivme [g]
Sde(T1) = Birinci doğal titreşim periyodu T1 ’e karşı gelen doğrusal elastik spektral yerdeğiştirme [m]
Sdi(T1) = Birinci doğal titreşim periyodu T1 ’e karşı gelen doğrusal olmayan spektral yerdeğiştirme [m]
TB = Yatay elastik tasarım ivme spektrumu köşe periyodu [s]
T1 = Birinci moda ait doğal titreşim periyodu [s]
μ(Ry,T1) = Akma Dayanımı Azaltma Katsayısı ve birinci doğal titreşim periyoduna göre hesaplanan süneklik talebi
ω1(1) = Her bir k ’ıncı itme adımında yenilenen serbest titreşim hesabından bulunan birinci mod doğal açısal frekansı [rad/s]
5.6.5. Tek Modlu İtme Yöntemlerinde Depremin Modal Yerdeğiştirme Talebinin Elde Edilmesi
5.6.5.1 – Depremin modal yerdeğiştirme talebi ’nin elde edilmesi, verilen deprem etkisi altında modal kapasite diyagramı tarafından temsil edilen modal tek serbestlik dereceli sistemin enbüyük yerdeğiştirmesi ’nin hesabına karşı gelmektedir.
5.6.5.2 – Depremin modal yerdeğiştirme talebi;
(a) Modal tek serbestlik dereceli sistemde Doğrusal Olmayan Spektral Yerdeğiştirme olarak elde edilebilir.
(b) Modal tek serbestlik dereceli sistemin deprem etkisi altında zaman tanım alanında hesabından elde edilebilir. Her iki yöntem EK 5B ’de açıklanmıştır.
5B.3. DEPREMİN MODAL YERDEĞİŞTİRME TALEBİNİN DOĞRUSAL OLMAYAN SPEKTRAL YERDEĞİŞTİRME OLARAK ELDE EDİLMESİ
Depremin modal yerdeğiştirme talebi ’nin elde edilmesi, verilen deprem etkisi altında modal kapasite diyagramı tarafından temsil edilen modal tek serbestlik dereceli sistemin enbüyük yerdeğiştirmesi ’nin hesabına karşı gelmektedir.
5B.3.1 – Modal tek serbestlik dereceli sistemde enbüyük yerdeğiştirme, doğrusal olmayan spektral yerdeğiştirme olarak tanımlanır:

Burada d1,max(X) modal tek serbestlik dereceli sistemin enbüyük yerdeğiştirmesi ’ni, Sdi(T1) ise taşıyıcı sistemin birinci doğal titreşim periyodu T1 ’e karşı gelen ve Denk.(5B.13) ile tanımlanan doğrusal olmayan spektral yerdeğiştirme ’yi göstermektedir.

Burada Sde(T1) , Denk.(2.5) ile tanımlanan elastik tasarım spektral yerdeğiştirmesi ’ni, CR ise Denk.(5B.14) ’te tanımlanan spektral yerdeğiştirme oranı ’nı göstemektedir.
5B.3.2 – Denk.(5B.13) ’te yer alan spektral yerdeğiştirme oranı CR , Denk.(5B.14) ’de tanımlanmıştır:

Burada akma dayanımı azaltma katsayısı ’nı gösteren Ry , Dayanıma Göre Tasarım yaklaşımı için EK 4A ’da verilen tanımdan farklı olarak, öngörülen süneklik kapasitesine bağlı olarak tanımlanan bir büyüklüğü değil, itme hesabından doğrudan elde edilen akma dayanımı ’na bağlı bir büyüklüğü ifade etmektedir:

Bu bağıntıda fe ve Sae(T1) elastik dayanım talebi ’ni ve ona karşı gelen elastik spektral ivme ’yi, fy ve ay1 ise akma dayanımı ’nı ve ona karşı gelen akma sözde-ivmesi ’ni temsil etmektedir (Şekil 5B.4).
5B.3.3 – Denk.(5B.14) ’te yer alan μ(Ry,T1) , akma dayanımı ’na ve doğal titreşim periyoduna bağlı olarak ifade edilen süneklik talebi ’dir. Bu büyüklüğün hesabı için EK 4A ’da Denk.(4A.2) ile verilen bağıntılar tersten yazılarak aşağıdaki bağıntılar elde edilir:
(a) Depremin süneklik talebi μ(Ry,T1) , eşit yerdeğiştirme kuralı uyarınca rijitliği fazla olmayan taşıyıcı sistemler için Akma Dayanımı Azaltma Katsayısı Ry ’a eşit alınır:

(b) Rijitliği fazla taşıyıcı sistemler için ise Denk.(4A.2b) ’den Denk.(5B.16b) ’deki bağıntı elde edilir:

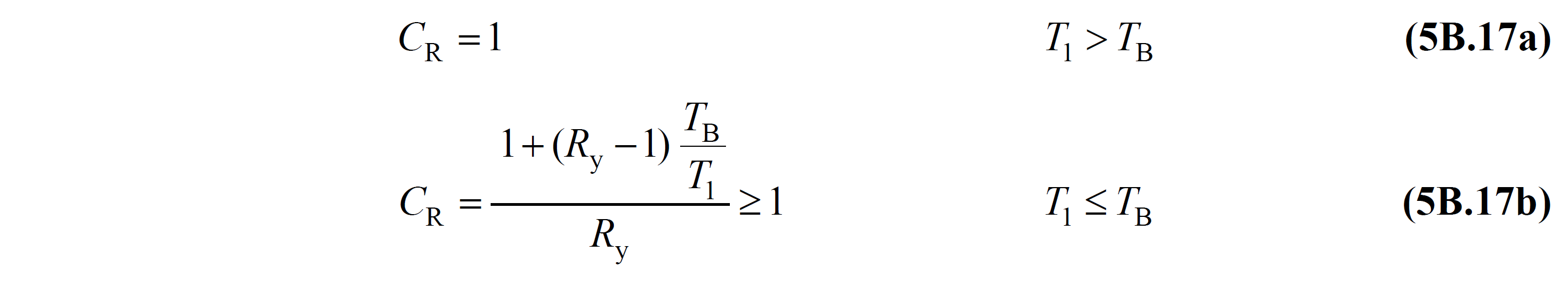
5B.3.4 – Denk.(5B.14) ’te tanımlanan spektral yerdeğiştirme oranı CR , Denk.(5B.16) ’dan yararlanılarak Denk.(5B.17) ’deki şekilde ifade edilir:

5B.3.5 – Şekil 5B.3 ve Şekil 5B.4 ’te birinci (hakim) titreşim moduna ait ve koordinatları modal yerdeğiştirme–modal sözde-ivme (d1,a1) olan modal kapasite diyagramı ile koordinatları spektral yerdeğiştirme–spektral ivme (Sde , Sae ) olan doğrusal deprem spektrumu birarada çizilmiştir.
(a) Şekil 5B.3’te gösterilen durum, Denk.(5B.13) ile birlikte Denk.(5B.17a) ’nın uygulanmasına karşı gelmektedir. Bu durumda, modal kapasite diyagramı üzerinde hiçbir işlem yapmaksızın, sadece birinci itme adımındaki doğal titreşim periyodunun T1>TB veya (ω1(1))2 ≤ ωB2 koşulunu sağlandığının gösterilmesi yeterlidir.

(b) Öte yandan Şekil 5B.4 ’te gösterilen durum, Denk.(5B.13) ile birlikte Denk.(5B.17b) ’nin uygulanmasına karşı gelmektedir. Bu durumda spektral yerdeğiştirme oranı CR , ardışık yaklaşımla hesaplanacaktır. Bu amaçla modal kapasite diyagramı, Şekil 5B.4a ’da gösterildiği üzere, önce CR =1 alınarak iki doğrulu elasto-plastik bir diyagrama dönüştürülür. Dönüşüm işleminde diyagramların altında kalan alanların eşitliği esas alınır. Bu şekilde bulunan yaklaşık akma sözde-ivmesi ay1o kullanılarak Denk.(5B.15) ’den Ry ve buna bağlı olarak Denk.(5B.17b) ’den CR ve Denk.(5B.13) ’ten Sdi(T1) hesaplanır. Buna göre elasto-plastik diyagram tekrar oluşturulur (Şekil 5B.4b) ve yeniden bulunan ay1 esas alınarak aynı işlemler tekrarlanır. Sonuçların yeterince yaklaştıkları adımda ardışık yaklaşıma son verilir.

5B.3.6 – Depremin modal yerdeğiştirme talebi ’nin Denk.(5B.13) ve Denk.(5B.17) ’den yararlanılarak Denk.(5B.12) ’ye göre hesabı aşağıda (a) ve (b) ’de tanımlanan durumlarda geçerli değildir.
(a) En yakın fayın binaya uzaklığının 15 km’den az olduğu durumlarda, 2.5 ’e göre seçilerek ölçeklendirilen yakın-saha deprem kayıtları kullanılarak 5B.4’ e göre zaman tanım alanında hesap yapılacaktır.
(b) İkinci mertebe etkileri nedeni ile modal kapasite diyagramının akma sonrasındaki eğimlerinin negatif olması durumunda, 2.5 ’e göre seçilerek ölçeklendirilen deprem kayıtları kullanılarak 5B.4 ’e göre zaman tanım alanında hesap yapılacaktır.
İlgili Konular