Yığılı Plastik Davranış için Göçmenin Önlenmesi Performans Düzeyi (5.8.1.2)
İtme analizi sonucunda eleman plastik şekildeğiştirme değerleri otomatik olarak bulunmaktadır.
Göçmenin önlenmesi (GÖ) performans düzeyi için yapılacak performans değerlendirmesinde kullanılmak üzere EK 5A ‘da verilen beton ve donatı modelleri dikkate alınarak kesitin eğrilik analizi otomatik olarak yapılmaktadır.
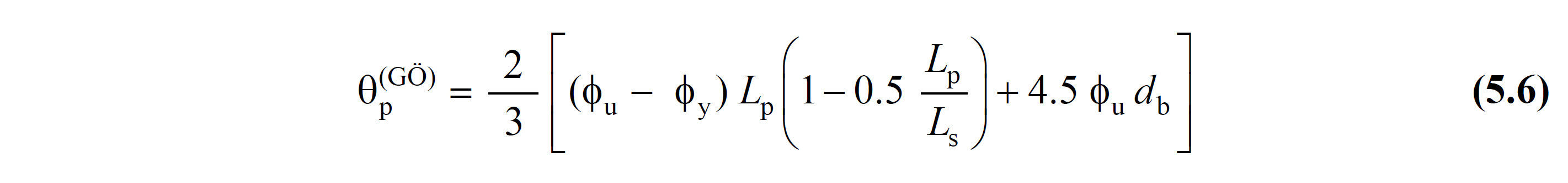
Eğrilik analizi sonucunda Göçmenin önlenmesi (GÖ) performans düzeyi için yapılacak performans değerlendirilmesinde kullanılacak plastik dönme sınır değeri Denklem 5.6 ‘ya göre otomatik olarak hesaplanmaktadır.
SİMGELER
db = Boyuna donatı çapı (çekmede ortalama) [m]
Lp = Plastik mafsal boyu [m]
Ls = Kesme açıklığı [m]
fco = Sargısız beton basınç dayanımı
fsy = Donatı çeliğinin akma dayanımı
fck = Betonun karakteristik basınç dayanımı
fyk = Donatı çeliğinin karakteristik akma dayanımı
ϕy = Akma eğriliği [m-1]
ϕu = Göçme eğriliği [m-1]
θp(GÖ) = Göçmenin Önlenmesi performans düzeyi için izin verilen plastik dönme sınırı [rad]
TBDY Bölüm 5.8.1.2 'de anlatıldığı üzere, yığılı plastik davranış modeline göre hesaplanan plastik mafsalların Göçmenin Önlenmesi (GÖ) Performans Düzeyi için plastik dönme sınır değeri θp(GÖ), Denk.(5.6) ile hesaplanmaktadır.

Yukarıdaki bağıntıda ϕu göçme öncesi eğriliği ve ϕy akma eğriliğini temsil etmektedir. Plastik mafsal bölgesindeki kesitin ϕu ve ϕy değerleri TBDY EK 5A 'da verilen beton ve donatı çeliği modelleri kullanılarak oluşturulan moment-eğrilik bağıntısı ile bulunmaktadır.

Yukarıdaki resimde görüldüğü gibi akma eğriliği ϕy, eğilme momenti etkisi altındaki kesitte çekme donatısının akması durumunda oluşan eğriliktir. Göçme eğriliği ϕu, betonun ezilmesi veya donatının kopması sonucu kesitin plastik şekildeğiştirme kabiliyetini yitirdiği noktada hesaplanan eğriliktir. Lp, plastik mafsal boyu, kesit yüksekliğinin yarısı olarak hesaplanmaktadır. Ls, kesme açıklığıdır; kolon ve kirişlerde yaklaşık olarak açıklığın yarısı olarak alınmaktadır. db, boyuna donatıların ortalama çapıdır.
Yeni yapılan binalar Göçmenin Önlenmesi (GÖ) Performans Düzeyi için plastik dönme sınır değeri θp(GÖ) hesabında kullanılacak olan malzeme modeli TBDY Ek 5A 'da verilen beton ve donatı malzeme modelleridir. Beton ve Donatı Çeliği için Gerilme-Şekildeğiştirme Bağıntıları başlığında bu mazleme modellerinin nasıl elde edildiği detaylıca anlatılmıştır. θp(GÖ) hesabında kullanılan moment eğrilik analizinde malzeme dayanımları Tablo 5.1 'de gösterilen Beklenen (Ortalama) Malzeme Dayanımları dır.

Moment-eğrilik bağıntısının hesaplanmasından sonra plastik mafsalın istelet eğrisi çıkartılır ve daha sonra dönme sınırları bu iskelet eğrisine yerleştirilebilir. Aşağıdaki resimde moment-plastik dönme ilişkisini gösteren bir grafik bulunmaktadır. Tüm performans düzeyleri için plastik dönme sınırları bu şekilde tanımlanmakta ve plastik mafsalın yaptığı plastik dönme sonucuna göre kesitin hasar durumu belirlenmektedir.

TBDY Şekil 5A.1 ve Şekil 5A.2 'de sargılı ve sargısız beton modelleri ile donatı modeli görülmektedir. Bu grafiklerde, fco sargısız beton basınç dayanımını ve fsy, donatı çeliğinin akma dayanımını ifade etmektedir. Bu değerler (fco ve fsy) malzeme dayanımı belirleyen temel değerlerdir. DGT , yeni yapılacak binalar için ŞGDT ve mevcut binalar için ŞGDT yaklaşımlarında birbirlerinden farklı malzeme modelleri kullanıldığından fco ve fsy değeri de birbirinden farklı olur. Beton ve Donatı Çeliği için Gerilme-Şekildeğiştirme Bağıntıları farklı değerler aldığından, bu yaklaşımlarda hesaplanan plastik mafsal özellikleri ve plastik dönme sınır değerleri de farklı olacaktır.

ŞGDT yaklaşımı ile yığılı plastik davranış modeli kullanılacak olan yeni yapıla Tablo 5.1 'e göre
Beton dayanımı fco=1.3fck
Donatı akma dayanımı fsy=1.2fyk
olarak dikkate alınır. Bu durumda Şekil 5A.1 ve Şekil 5A.2 'deki malzeme modeli bağıntıları bu değerlere göre hesaplanmaktadır.
Şekil 5A.1 'de gösterilen sargı etkisi moment-eğrilik bağıntısı hesaplanırken, kesitin enine donatı koşullarına göre otomatik olarak hesaplanmaktadır.
Sonraki Konu