Değişken Tek Modlu İtme Yöntemi
SİMGELER
a1(X,k) = (X) deprem doğrultusu için k’ıncı itme adımında birinci moda ait modal tek serbestlik dereceli sistem’in modal sözde-ivmesi [m/s2]
d1(X,k) = (X) deprem doğrultusu için k’ıncı itme adımında birinci moda ait modal tek serbestlik dereceli sistem’in modal yerdeğiştirmesi [m]
mix1(X,k) = (X) deprem doğrultusu için x ekseni doğrultusunda her bir k’ıncı itme adımında serbest titreşim hesabı ile yenilenen değişken mod şekli ’ne göre hesaplanan i’inci kat modal etkin kütlesi [t]
miy1(X,k) = (X) deprem doğrultusu için x ekseni doğrultusunda her bir k’ıncı itme adımında serbest titreşim hesabı ile yenilenen değişken mod şekli ’ne göre hesaplanan i’inci kat modal etkin kütlesi [t]
miθ1(X,k) = (X) deprem doğrultusu için x ekseni doğrultusunda her bir k’ıncı itme adımında serbest titreşim hesabı ile yenilenen değişken mod şekli ’ne göre hesaplanan i’inci kat modal etkin kütle eylemsizlik momenti [tm2]
uix1(X,k) = (X) deprem doğrultusu için k’ıncı itme adımında i’inci katta x ekseni doğrultusunda hesaplanan yerdeğiştirme [m]
Δa1(X,k) = (X) deprem doğrultusu için k’ıncı itme adımında birinci moda ait modal tek serbestlik dereceli sistem ’in modal sözde-ivme artımı [m/s2]
Δd1(X,k) = (X) deprem doğrultusu için k ’ıncı itme adımında birinci moda ait modal tek serbestlik dereceli sistem ’in modal yerdeğiştirmesi [m]
Δfix1(X,k) = (X) deprem doğrultusu için k ’ıncı itme adımında i ’inci katta x ekseni doğrultusunda etkiyen deprem yükü artımı [kN]
Δfiy1(X,k) = (X) deprem doğrultusu için k ’ıncı itme adımında i ’inci katta y ekseni doğrultusunda etkiyen deprem yükü artımı [kN]
Δfiθ1(X,k) = (X) deprem doğrultusu için k ’ıncı itme adımında i ’inci katta z ekseni doğrultusunda etkiyen deprem yükü artımı [kN]
Δuix1(X,k) = (X) deprem doğrultusu için k ’ıncı itme adımında i ’inci katta x ekseni doğrultusunda hesaplanan yerdeğiştirme artımı [m]
Δuiy1(X,k) = (X) deprem doğrultusu için k ’ıncı itme adımında i ’inci katta y ekseni doğrultusunda hesaplanan yerdeğiştirme artımı [m]
Δuiθ1(X,k) = (X) deprem doğrultusu için k ’ıncı itme adımında i ’inci katta z ekseni doğrultusunda hesaplanan yerdeğiştirme artımı [m]
Φix1(k) = i’inci katta her bir k’ıncı itme adımında serbest titreşim hesabı ile yenilenen değişken mod şekli ’nin x doğrultusundaki genliği
Φiy1(k) = i’inci katta her bir k’ıncı itme adımında serbest titreşim hesabı ile yenilenen değişken mod şekli ’nin y doğrultusundaki genliği
Φiθ1(k) = i’inci katta her bir k’ıncı itme adımında serbest titreşim hesabı ile yenilenen değişken mod şekli ’nin z doğrultusundaki genliği
Γ1(X,k) = (X) deprem doğrultusu için her bir k ’ıncı itme adımında serbest titreşim hesabı ile yenilenen değişken mod şekli ’ne göre hesaplanan modal katkı çarpanı
ω1(k) = Her bir k ’ıncı itme adımında yenilenen serbest titreşim hesabından bulunan birinci mod doğal açısal frekansı [rad/s]
5.6.4. Değişken Tek Modlu İtme Yöntemi
Değişken Tek Modlu İtme Yöntemi ’nde, gözönüne alınan deprem doğrultusunda katlara etkiyen deprem yükü artımları ile bunlarla uyumlu kat yerdeğiştirme artımları, deprem dışı yüklemelerden sonraki her bir itme adımında, daha önce oluşan plastik mafsallar gözönüne alınarak yenilenen serbest titreşim hesabı ’ndan elde edilen değişken mod şekli ile orantılı olarak tanımlanırlar. Bu yöntemde 5.6.3 ’te belirtilen itme eğrisi ’nin çizimine gerek kalmaksızın modal kapasite diyagramı doğrudan elde edilir. Hesabın son aşaması, 5.6.3 ’te belirtildiği gibidir. Yöntemin ayrıntıları EK 5B ’de verilmiştir.
5B.2. DEĞİŞKEN TEK MODLU İTME YÖNTEMİ İLE MODAL KAPASİTE DİYAGRAMININ ELDE EDİLMESİ
5B.2.1 – Değişken tek modlu itme yöntemi ’nde, gözönüne alınan (X) deprem doğrultusunda katlara etkiyen deprem yükü artımları, deprem dışı yüklemelerden sonraki her bir k’ıncı itme adımında yenilenen serbest titreşim hesabından elde edilen değişken mod şekli ’ne göre hesaplanan kat modal etkin kütleleri cinsinden ifade edilir:

Burada mix1(X,k) , miy1(X,k) ve miθ1(X,k) her bir k ’ıncı itme adımında, o adımda yenilenen serbest titreşim mod şekline bağlı olarak EK 4B ’de Denk.(4B.2) ile hesaplanan etkin kütlelerin birinci mod karşılıklarıdır (n=1):

Bu bağıntılarda Γ1(X,k) , gözönüne alınan (X) deprem doğrultusu için her bir k ’ıncı itme adımında yenilenen birinci titreşim moduna bağlı olarak Denk.(4B.1) ’den hesaplanan modal katkı çarpanı ’dır.
5B.2.2 – Her bir k’ıncı itme adımında, yukarıda Denk.(5B.7) ’de verilen kat deprem yükü artımları ’nın etkisi altında meydana gelen kat yerdeğiştirme artımları Denk.(5B.9) ile elde edilir:

5B.2.3 – Denk.(5B.7) ’de yer alan k ’ıncı itme adımına ait modal sözde-ivme artımı Δa1(X,k) ile Denk.(5B.9) ’da yer alan modal yerdeğiştirme artımı Δd1(X,k) arasındaki adım-adım doğrusal ilişki Denk.(5B.10) ’da verilmiştir:

Burada ω1(k) taşıyıcı sistemin her bir k ’ıncı itme adımında yenilenen serbest titreşim hesabından
bulunan birinci mod doğal açısal frekansı ’dır.
5B.2.4 – Ardışık iki mafsal oluşumu arasında tanımlanan k ’ıncı itme adımında bilinmeyen büyüklük olarak, modal tek serbestlik dereceli sistem ’in Denk.(5B.7) ’de yer alan birinci moda ait modal sözde-ivme artımı Δa1(X,k) alınabilir (kuvvete dayalı hesap). Ancak bunun yerine, iç kuvvetlerin doğrudan hesabını olanaklı kılması bakımından, Denk.(5B.9) ’da yer alan modal yerdeğiştirme artımı Δd1(X,k) ’ın bilinmeyen büyüklük olarak alınması tercih edilmelidir (yerdeğiştirmeye dayalı hesap). Her iki durumda da bilinmeyen olarak alınan modal artım, k’ıncı adım sonunda oluşan yeni plastik mafsalın 5.3.1 ’de tanımlanan akma koşulu ’ndan hesaplanacaktır. Bilinmeyen olarak alınan modal artım hesaplandıktan sonra diğer modal artım da Denk.(5B.10) ’dan elde edilir.
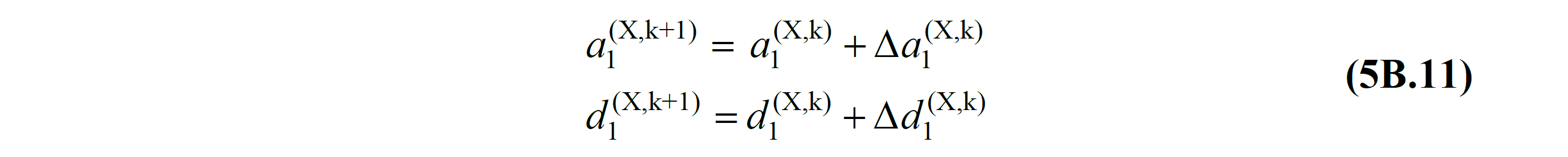
5B.2.5 – k ’ıncı itme adımında elde edilen modal sözde-ivme ve modal yerdeğiştirme artımları, bir önceki adımın sonunda elde edilen değerlerle toplanarak, bu büyüklüklere ait birikimli değerler Denk.(5B.11) ’deki şekilde elde edilir:

Böylece değişken yük veya yerdeğiştirme dağılımlı itme yöntemi ’nde, itme eğrisinin çizimine gerek olmaksızın modal kapasite diyagramı doğrudan elde edilir. Bu diyagramda ardışık iki mafsal oluşumu arasındaki k ’ıncı itme adımında adım-adım doğrusal davranış ’ı temsil eden doğru parçasının eğimi, Denk (5B.10) uyarınca (ω1(k))2 ’ye eşittir (Şekil 5B.2a).
5B.2.6 – İkinci mertebe etkileri ’ni temsil eden geometrik rijitlik matrisi ’nin serbest titreşim hesabında gözönüne alınması durumunda, Denk.(5B.10) ’deki (ω1(k))2 , diğer deyişle modal kapasite diyagramının eğimi, taşıyıcı sistemde plastik şekildeğiştirmelerin arttığı ileri itme adımlarında negatif değerler olarak elde edilebilir (Şekil 5B.2b).
