Beton ve Donatı Çeliği için Gerilme-Şekildeğiştirme Bağıntıları
SİMGELER
As = Boyuna donatı alanı
ai = Kesit çevresindeki düşey donatıların eksenleri arasındaki uzaklık
bo = Göbek betonunu sargılayan etriyelerin eksenleri arasında kalan kesit boyutu
Ec = Betonun elastisite modülü
Es = Donatı çeliğinin elastisite modülü
fc = Sargılı betonda beton basınç gerilmesi
fcc = Sargılı beton dayanımı
fco = Sargısız betonun basınç dayanımı
fe = Etkili sargılama basıncı
fs = Donatı çeliğindeki gerilme
fsy = Donatı çeliğinin akma dayanımı
fsu = Donatı çeliğinin kopma dayanımı
fyw = Enine donatının akma dayanımı
ho = Göbek betonunu sargılayan etriyelerin eksenleri arasında kalan kesit boyutu
ke = Sargılama Etkinlik Katsayısı
s = Enine donatı aralığı
ρs = Toplam enine donatının hacimsel oranı (dikdörtgen kesitlerde ρs = ρx + ρy )
ρx ,ρy = İlgili doğrultulardaki enine donatı hacim oranı
εc = Beton basınç birim şekildeğiştirmesi
εcu = Sargılı betondaki maksimum basınç birim şekildeğiştirmesi
εs = Donatı çeliğinin şekildeğiştirmesi
εsy = Donatı çeliğinin akma birim şekildeğiştirmesi
εsh = Donatı çeliğinin pekleşme başlangıcındaki birim şekildeğiştirmesi
εsu = Donatı çeliğinin kopma birim şekildeğiştirmesi
5A.1. SARGILI VE SARGISIZ BETON MODELLERİ
Doğrusal Olmayan Yöntemler ile şekildeğiştirmeye göre değerlendirmede, başkaca bir modelin seçilmediği durumlarda kullanılmak üzere, sargılı ve sargısız beton için aşağıdaki gerilme-şekildeğiştirme bağıntıları tanımlanmıştır (Şekil 5A.1).

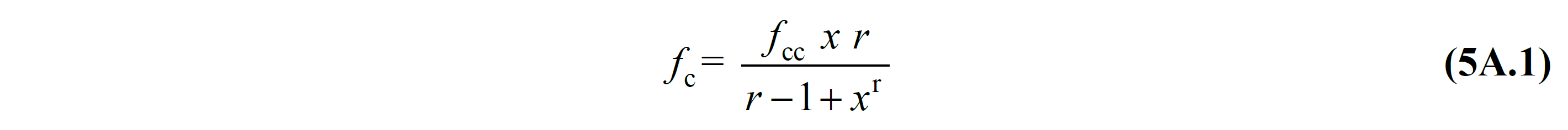
(a) Sargılı betonda beton basınç gerilmesi fc , basınç birim şekildeğiştirmesi εc ’nin fonksiyonu olarak Denk.(5A.1)’deki bağıntı ile verilmektedir:

Bu bağıntıdaki sargılı beton dayanımı fcc ile sargısız beton dayanımı fco arasındaki ilişki Denk.(5A.2) ’de verilmiştir.

Buradaki fe etkili sargılama basıncı, dikdörtgen kesitlerde birbirine dik iki doğrultu için Denk.(5A.3) ’te verilen değerlerin ortalaması olarak alınabilir:

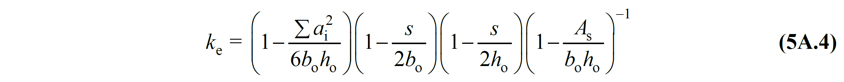
Bu bağıntılarda fyw enine donatının akma dayanımını, ρx ve ρy ilgili doğrultulardaki enine donatıların hacimsel oranlarını, ke ise Denk.(5A.4) ’te tanımlanan sargılama etkinlik katsayısı oranı ’nı göstermektedir.

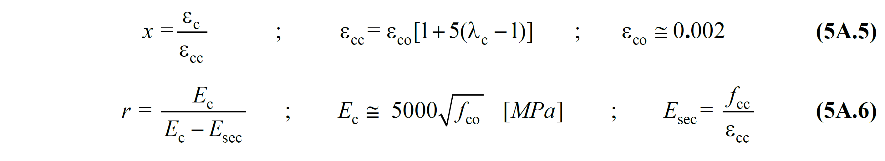
Burada ai kesit çevresindeki boyuna donatıların eksenleri arasındaki uzaklığı, bo ve ho göbek betonunu sargılayan etriyelerin eksenleri arasında kalan kesit boyutlarını, s boyuna doğrultuda etriyelerin eksenleri arasındaki aralığı, As ise boyuna donatı alanını göstermektedir. Denk.(5A.1) ’deki normalize edilmiş beton birim şekildeğiştirmesi x ile r değişkenine ilişkin bağıntılar Denk.(5A.5) ve Denk.(5A.6) ’da verilmiştir.

5A.2. DONATI ÇELİĞİ MODELİ
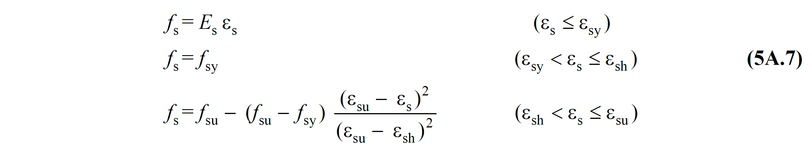
Doğrusal Olmayan Yöntemler ile şekildeğiştirmeye göre değerlendirmede kullanılmak üzere, donatı çeliği için Denk.(5A.7) ’deki gerilme-şekildeğiştirme bağıntıları tanımlanmıştır (Şekil 5A.2) :

Donatı çeliğinin elastiklik modülü Es = 2x10-5 MPa’dır. Donatı çeliklerine ait diğer bilgiler Tablo 5A.1 ’de verilmiştir.


Sonraki Konu