Yayılı Plastik Davranış için Göçmenin Önlenmesi Performans Düzeyi (5.8.1.1)
Betonarme perdelerde yayılı plastik davranış modeli otomatik olarak uygulanmaktadır.
Yayılı plastik davranış modeline göre TBDY 5.8.1.1 'de belirtilen beton ve donatı çeliğinin birim şekildeğiştirme sınır değerleri otomatik olarak hesaplanır.
SİMGELER
Ash = Enine donatı alanı (dikdörtgen kesit) [mm2]
Aos = Enine donatının alanı (dairesel kesit) [mm2]
ai = Yatayda bir etriye kolu tarafından mesnetlenen boyuna donatıların eksenleri arasındaki uzaklık [mm]
bo = Göbek betonunu sargılayan etriyelerin eksenleri arasında kalan kesit boyutu [mm]
bk = Çekirdek boyutu (en dıştaki enine donatı eksenleri arasındaki uzaklık) [mm]
D = Spiral/sargı donatısı eksenleri arasındaki uzaklık [mm] , [Denk.(5.4e)]
db = Boyuna donatı çapı (çekmede ortalama) [m]
fce = Betonun ortalama (beklenen) basınç dayanımı [MPa]
fck = Betonun karakteristik basınç dayanımı [MPa]
fywe = Enine donatının ortalama (beklenen) akma dayanımı [MPa]
ho = Göbek betonunu sargılayan etriyelerin eksenleri arasında kalan kesit boyutu [mm]
Lp = Plastik mafsal boyu [m]
Ls = Kesme açıklığı [m]
s = Sargı donatısı aralığı [m]
αse = Sargı donatısı etkinlik katsayısı
ϕy = Akma eğriliği [m-1]
ϕu = Göçme eğriliği [m-1]
ωwe = Etkin sargı donatısının mekanik donatı oranı
ρsh = Gözönüne alınan doğrultuda enine donatının hacimsel oranı
εc(GÖ) = Göçmenin Önlenmesi performans düzeyi için izin verilen sargılı beton birim kısalması sınırı
εs(GÖ) = Göçmenin Önlenmesi performans düzeyi için izin verilen donatı çeliği birim şekildeğiştirmesi sınırı
Şekildeğiştirmeye Göre Değerlendirme ve Tasarım (ŞGDT) yaklaşımı ile doğrusal olmayan analizi yapılan yeni betonarme binaların perde ve poligon perde elemanlarında, Göçmenin Önlenmesi (GÖ) performans düzeyi için TBDY 5.8.1.1 'de belirtilen sınır değerler kullanılır. Perde ve poligon perde elemanlarında yayılı plastik davranış modeline göre hesaplanan beton ve donatı çeliği toplam birim şekildeğiştirmeleri εc(GÖ) ve εs(GÖ) için izin verilen sınırlar aşağıda belirtilmiştir.
Göçmenin Önlenmesi (GÖ) performans düzeyi için beton birim kısalması:
Dikdörtgen kesitli kolon, kiriş ve perdelerde:

Bu bağıntılardaki ilk terim sargısız betonun birim kısalmasına karşı gelmektedir. Yayılı plastik davranış modeli uygulanan perde elemanlarında sargı donatısı başlık bölgeleri içinde gözönüne alınır. Yukarıdaki denklemde ωwe etkin sargı donatısının mekanik donatı oranı ’nı göstermektedir:

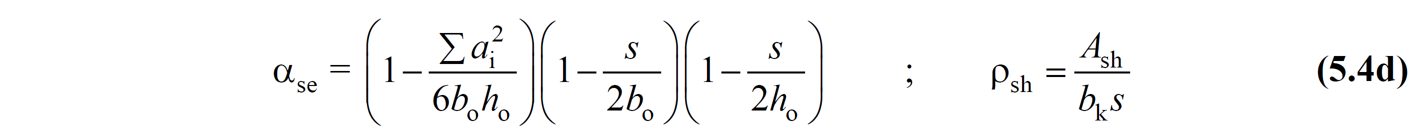
Denk.(5.4c) ’de yer alan αse sargı donatısı etkinlik katsayısı ’nı, ρsh,min dikdörtgen kesitte iki yatay doğrultuda hacimsel enine donatı oranının küçük olanını, fywe enine donatının ortalama (beklenen) akma dayanımını göstermektedir:

Denk.(5.4d) ’de Ash ve ρsh gözönüne alınan doğrultuda enine donatının alanını ve hacimsel oranını, bk dik doğrultudaki çekirdek boyutunu (en dıştaki enine donatı eksenleri arasındaki uzaklık), s enine donatı aralığını, bo ve ho sargı donatısı eksenlerinden ölçülen sargılı beton boyutlarını, ai bir etriye kolu veya çiroz tarafından mesnetlenen boyuna donatıların eksenleri arasındaki uzaklığı göstermektedir. Dairesel sargı donatısının etkinlik katsayısı Denk.(5.4e) ’de verilmiştir:

Burada Aos spiral/sargı donatısının alanı, s enine donatı aralığı veya spiralin adımı, D ise spiral/sargı donatısı eksenleri arasındaki uzaklıktır. Dairesel etriye için n = 2 , spiral donatı için n =1 alınacaktır.
Aşağıdaki görselde perdeler için sargılı ve sargısız beton davranışının gözönüne alındığı bölgeler gösterilmiştir.

(b) Göçmenin Önlenmesi performans düzeyi için donatı çeliği birim şekildeğiştirmesi:

Burada εsu çekme dayanımına karşı gelen birim uzamayı göstermektedir (Bkz. TBDY EK 5.A).