Zaman Tanım Alanında Mod Toplama Yöntemi Uygulaması (4.8.3)
Zaman tanım alanında mod toplama yöntemi için deprem ivme kayıtlarının seçimi ve tanımlanması kullanıcı denetimindedir.
Seçilen deprem ivme kayıtlarının ölçeklenmesi otomatik yapılır.
İvme kayıtları tanımlanmasından sonra Zaman tanım alanında mod toplama yöntemi ile deprem hesabı otomatik yapılır.
SİMGELER
anR(X,Y)(t) = Aynı anda (X) ve (Y) deprem yer hareketi bileşenlerinin ortak etkisi altında n’inci titreşim moduna ait zamana bağlı azaltılmış doğrusal modal sözde-ivme [m/s2]
dn(X,Y)(t) = Aynı anda (X) ve (Y) deprem yer hareketi bileşenlerinin ortak etkisi altında n’inci titreşim moduna ait zamana bağlı doğrusal modal yerdeğiştirme [m]
d'n(X,Y)(t) = Aynı anda (X) ve (Y) deprem yer hareketi bileşenlerinin ortak etkisi altında n’inci titreşim moduna ait zamana bağlı doğrusal modal hız [m/s]
d''n(X,Y)(t) = Aynı anda (X) ve (Y) deprem yer hareketi bileşenlerinin ortak etkisi altında n’inci titreşim moduna ait zamana bağlı doğrusal modal ivme [m/s2]
fixn(X,Y) = Aynı anda (X) ve (Y) deprem yer hareketi bileşenlerinin ortak etkisi altında n’inci titreşim modunda i’inci kata x doğrultusunda etkiyen modal deprem yükü’nün zamana göre değişimi [kN]
Hi = Binanın bodrum katlarının üstündeki üst bölüm’de i’inci katın üst bölümün tabanından itibaren ölçülen yüksekliği [m] ait taban kesme kuvveti modal etkin kütlesi [t]
rmax(X) = (X) deprem doğrultusu için herhangi bir davranış büyüklüğüne (yerdeğiştirme, göreli kat ötelemesi, iç kuvvet bileşeni) karşı gelen birleştirilmiş tipik en büyük modal davranış büyüklüğü
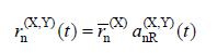
rn(X) = n’inci doğal titreşim modunda (X) deprem doğrultusu için herhangi bir davranış büyüklüğüne (yerdeğiştirme, göreli kat ötelemesi, iç kuvvet bileşeni) karşı gelen tipik birim modal davranış büyüklüğü
r(X,Y)(t) = Aynı anda (X) ve (Y) deprem yer hareketi bileşenlerinin ortak etkisi altında herhangi bir davranış büyüklüğüne (yerdeğiştirme, göreli kat ötelemesi, iç kuvvet bileşeni) karşı gelen tipik davranış büyüklüğü’nün zamana göre değişimi
rn(X,Y) (t) = Aynı anda (X) ve (Y) deprem yer hareketi bileşenlerinin ortak etkisi altında n’inci titreşim modunda herhangi bir davranış büyüklüğüne (yerdeğiştirme, göreli kat ötelemesi, iç kuvvet bileşeni) karşı gelen tipik modal davranış büyüklüğü’nün zamana göre değişimi
Tn = n’inci moda ait doğal titreşim periyodu [s]
üg(X)(t) = (X) deprem doğrultusunda tanımlanan yer ivmesi bileşeninin zamana göre değişimi [m/s2]
üg(Y)(t) = (Y) deprem doğrultusunda tanımlanan yer ivmesi bileşeninin zamana göre değişimi [m/s2]
Vtxn(X,Y) (t) = Aynı anda (X) ve (Y) deprem yer hareketi bileşenlerinin ortak etkisi altında n’inci titreşim modunda, modal taban kesme kuvvetinin zamana göre değişimi
Γn(X) = (X) deprem doğrultusu için, n’inci tireşim moduna ait modal katkı çarpanı
ξn = n’inci titreşim moduna ait modal sönüm oranı
ωn = n’inci titreşim moduna ait doğal titreşim açısal frekansı [rad/s]
Zaman tanım alanında Mod Toplama Yönteminin uygulanması halinde en az 11 deprem yer hareketi takımı kullanılması gerekir. Yöntem gereği, birbirine dik yatay iki doğrultudaki ivme kayıtları taşıyıcı sistemin (X) ve (Y) asal eksenleri doğrultusunda aynı anda birlikte otomatik olarak etkitilir. Daha sonra ivme kayıtlarının eksenleri 90o döndürülerek hesap otomatik tekrarlanır. Hesaplarda kullanılacak deprem kayıtlarının seçimi ve ölçeklendirilmesi TBDY 2018 2.5’e göre yapılmalıdır. Detaylı bilgi için Zaman Tanım Alanında Deprem Yer Hareketleri bakınız.
Davranış büyüklükleri, yapılan en az 2×11 = 22 hesabın her birinden aşağıdaki denkleme göre elde edilecek sonuçların en büyük mutlak değerlerinin ortalaması olarak bulunacaktır.

Detayları aşağıda belirtilen Hareket denklemleri Newmark methodu ile otomatik olarak çözülür.
İki yatay deprem doğrultusunda da aynı anda etkiyen deprem için tipik bir n’inci titreşim modunda, davranış büyüklüklerine (yerdeğiştirme, göreli kat ötelemesi, iç kuvvet bileşenleri) karşı gelen tipik modal davranış büyüklüğü’nün, Mod Birleştirme Yöntemiyle En Büyük Davranış Büyüklükleri Hesabı (4.8.2.1), zamana göre değişimi rn(X,Y) (t) , aşağıdaki denklem ile hesaplanır:

Burada rn(X) , hesap referans doğrultusu olarak seçilen (X) deprem doğrultusu için tipik birim modal davranış büyüklüğü’nü, anR(X,Y) (t )ise n’inci titreşim modu için aşağıdaki denklem ile zamana bağlı olarak tanımlanan azaltılmış modal sözde-ivme’ye karşı gelmektedir.

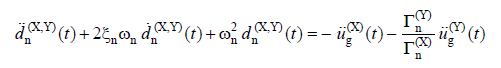
ωn , tipik n’inci titreşim modunun doğal açısal frekansını, dn(X,Y) (t ) ise yukarıdaki denklem ile hesaplanan modal yerdeğiştirme’yi göstermektedir.
Doğrusal modal yerdeğiştirme, dn(X,Y)(t) , aynı anda (X) ve (Y) deprem yer hareketi bileşenlerinin ortak etkisi altında n’inci moda ait modal tek serbestlik dereceli sistem’in aşağıda verilen hareket denkleminin zaman tanım alanında doğrusal çözümünden elde edilir:

Burada üg(X)(t) ve üg(Y)(t) birbirine dik (X) ve (Y) deprem doğrultularındaki yer ivmelerini ve dn(X,Y) (t) ise n’inci titreşim moduna ait zamana bağlı doğrusal modal hız ve ivme’yi göstermektedir. Hesapta esas alınacak zaman artımı Tn /10’dan büyük olmamaktadır.
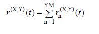
(X) ve (Y) doğrultularında tanımlanan depremin etkisi altında iç kuvvet bileşenleri, yerdeğiştirme ve göreli kat ötelemesi gibi davranış büyüklüklerinin zamana göre değişimleri, r(X,Y)(t) , her bir titreşim modu için hesaplanan eşzamanlı modal katkıların, rn(X,Y)(t) , doğrudan toplanması ile elde edilmektedir.

(X) ve (Y) doğrultularında tanımlanan depremin etkisi altında tipik bir n’inci titreşim modunda, taşıyıcı sistemin x ekseni doğrultusunda modal taban kesme kuvveti ve buna karşı gelen taban devrilme momenti’nin zamana göre değişimleri Vtxn(X,Y) (t) ve Moxn(X,Y) (t) aşağıdaki denklemler ile hesaplanır:

Bu büyüklüklere ait mod katkılarının zaman tanım alanında toplanmaktadır.
Sonraki Konu