Azaltılmış Tasarım İvme Spektrumu
SİMGELER
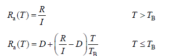
T = Doğal titreşim periyodu [s]
TA = Yatay elastik tasarım ivme spektrumu köşe periyodu [s]
TB = Yatay elastik tasarım ivme spektrumu köşe periyodu [s]
Sae(T ) = Yatay elastik tasarım spektral ivmesi [g]
SaR(T ) = Azaltılmış tasarım spektral ivmesi [g]
D = Dayanım Fazlalığı Katsayısı
I = Bina Önem Katsayısı
R = Taşıyıcı Sistem Davranış Katsayısı
Ra(T) = Öngörülen süneklik kapasitesi ve periyoda bağlı Deprem Yükü Azaltma Katsayısı
4.4.1. Yatay Deprem Etkisi Altında Azaltılmış Tasarım İvme Spektrumu
4.7 ve 4.8.2’de verilen hesap yöntemlerinde yatay doğrultuda azaltılmış deprem yükleri’nin belirlenmesi için kullanılacak azaltılmış tasarım ivme spektrumu’nun belirli bir T doğal titreşim periyodu için ordinatı olan azaltılmış tasarım spektral ivmesi SaR (T) , Denk.(4.8) ile tanımlanmıştır:

Burada Sae (T) , 2.2’de tanımlanan DD-2 deprem yer hareketi için Denk.(2.2) ile belirlenen yatay elastik tasarım spektral ivmesi’ni, R (Ta ) ise Denk.(4.1) ile tanımlanan Deprem Yükü Azaltma Katsayısı’nı göstermektedir.

İlgili Konular