Skip to main content
Skip table of contents

Mod Birleştirme Yöntemiyle En Büyük Davranış Büyüklükleri Hesabı (4.8.2.1)

  • 4.8.1.1 'de belirtilen Mod birleştirme Yöntemi otomatik yapılır.

  • 4.8.1.2 gereği modal hesap yöntemlerinde hesaba katılması gereken yeterli titreşim modu sayısı Denklem 4.30 kullanılarak otomatik hesaplanır.

  • Ek 4B 'de belirtilen modal katlı çarpanları, birim modal davranış büyüklükleri otomatik hesaplanır.

  • Ek 4B 'de belirtilen mod birleştirme yöntemi ile deprem hesabı TKB (CQC) kullanılarak otomatik yapılır.


Simgeler

mi  = i 'inci katın toplam kütlesi
m  = i 'inci katın kütle eylemsizlik momenti
mixn(X)  = (X) deprem doğrultusu için binanın x ekseni doğrultusunda n'inci doğal titreşim moduna ait i'inci kat modal etkin kütlesi
miyn(X)  = (X) deprem doğrultusu için binanın y ekseni doğrultusunda n'inci doğal titreşim moduna ait i'inci kat modal etkin kütlesi
miθn(X)  = (X) deprem doğrultusu için binanın z ekseni etrafında n'inci doğal titreşim moduna ait i'inci kat modal etkin kütle eylemsizlik momenti
mj(S) = Tipik sonlu eleman düğüm noktası j'ye etkiyen tekil kütle
mtxn(X)  = (X) deprem doğrultusu için binanın x ekseni doğrultusunda n'inci titreşim moduna ait taban kesme kuvveti modal etkin kütlesi
mtyn(Y)  = (Y) deprem doğrultusu için binanın y ekseni doğrultusundaki taban kesme kuvveti modal etkin kütlesi
rmax(X)  = (X) deprem doğrultusu için herhangi bir davranış büyüklüğüne (yerdeğiştirme, göreli kat ötelemesi, iç kuvvet bileşeni) karşı gelen birleştirilmiş tipik enbüyük modal davranış büyüklüğü
r'n(X)  = n'inci doğal titreşim modunda (X) deprem doğrultusu için herhangi bir davranış büyüklüğüne (yerdeğiştirme, göreli kat ötelemesi, iç kuvvet bileşeni) karşı gelen tipik birim modal davranış büyüklüğü
rn,max(X)  = n'inci doğal titreşim modunda (X) deprem doğrultusu için herhangi bir davranış büyüklüğüne (yerdeğiştirme, göreli kat ötelemesi, iç kuvvet bileşeni) karşı gelen tipik enbüyük modal davranış büyüklüğü
SaR(Tn)  = n'inci titreşim moduna ait azaltılmış tasarım spektral ivmesi
Tn  = n'inci moda ait doğal titreşim periyodu
βmn  = m'inci ve n'inci doğal titreşim periyotlarının oranı
Φi(X)n  = i'inci katta (X) deprem doğrultusunda n'inci doğal titreşim mod şekli genliği
Φixn  = i'inci katta x ekseni doğrultusunda n'inci doğal titreşim mod şekli genliği
Φiyn  = i'inci katta y ekseni doğrultusunda n'inci doğal titreşim mod şekli genliği
Φiθn  = i'inci katta z ekseni etrafında dönme olarak n'inci doğal titreşim mod şekli genliği
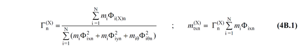
Γx(X)  = (X) deprem doğrultusu için, n'inci tireşim moduna ait modal katkı çarpanı
ξn  = n'inci titreşim moduna ait modal sönüm oranı
ωn  = n'inci titreşim moduna ait doğal titreşim açısal frekansı
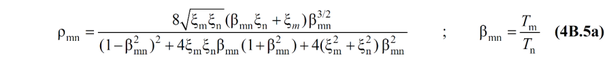
ρmn  = Tam Karesel Birleştirme Kuralı'nda m'inci ve n'inci doğal titreşim modlarına ait çapraz korelasyon katsayısı


Mod Birleştirme Yöntemi ile Deprem Hesabı

Mod birleştirme yöntemi ile deprem hesabı yapılırken verilen bir deprem doğrultusunda yatay elastik tasarım spektrumunda yararlanılır ve gözönüne alınan her bir titreşim modunda davranış büyüklüklerinin en büyük değerleri modal hesap yöntemi ile hesaplanır. Yeteri kadar titreşim modu için hesaplanan ancak eş zamanlı olmayan en büyük modal davranış büyüklükleri daha sonra istatistiksel olarak birleştirilerek en büyük davranış büyüklükleri 'nin yaklaşık değerleri elde edilir.
Göz önüne alınan her bir titreşim modu için en büyük modal davranış büyüklükleri yani yerdeğiştirmeler, göreli kat ötelemeleri, iç kuvvetler ve gerilmeler bulunur. Bulunan en büyük modal davranış büyüklükleri Tam Karesel Birleştirme(CQC) kuralı kullanılarak birleştirilir. Bu analizde söz konusu davranış büyüklüğünün ne zaman gerçekleştiği ve diğer yüklemelerle korelasyonu hakkında bilgi vermez. Birleştirme sonucunda bulunan değerler tek bir modal davranış büyüklüğü için olası en büyük pozitif (mutlak) değeri ortaya çıkartır. Bu nedenle mod birleştirme yöntemi ile yapılan deprem hesabında yön kavramı kaybolmaktadır.

Modal Hesap Parametreleri

Modal hesap parametreleri, deprem verisinden bağımsız olarak, sadece gözönüne alınan deprem doğrultusunda ve taşıyıcı sistemin serbest titreşim hesabından elde edilen bilgilere göre hesaplanan büyüklüklerdir. Modal hesap parametreleri bu dökümanda yalnızca (X) doğrultusu için tanımlanmıştır. Aynı parametreler (Y) doğrultusu için de yapılmaktadır. Modal hesap parametrelerinin tanımında taşıyı sistemin serbestlik dereceleri tanımlanan kütlelere göre belirlenmektedir. Kat döşemelerinin rijit diyafram olarak modellenmesi durumunda kat kütlesi, ilgili katın kütle merkezinde toplanır. Kat döşemelerinin yarı rijit diyafram olarak modellenmesi durumunda kütleler Kabuk Sonlu Elemanların düğüm noktalarında tanımlanır. Bu durumda toplam bir kat kütlesi yerine düğüm noktalarındaki mj(S) kütleleri dikkate alınır.

Modal Katkı Çarpanı ve Birim Modal Davranış Büyüklüğü

Verilen (X) deprem doğrultusu için, n'inci titreşim moduna ait modal katkı çarpanıΓx(X)taban kesme kuvveti modal etkin kütlesimtxn(X)TBDY Denklem 4B.1 'de tanımlandığı şekli ile hesaplanır.

Modal etkin kütleleri 'nin belirlenmesinde önemli bir değer olan modal katkı çarpanıΓx(X), toplam kat kütlesi, mi, veya sonlu eleman düğüm noktalarındaki kütleler, mj(S), ile belirlenebilir. Kütle tanımı modal analizde serbestlik derelerini belirlemektedir. Kütle matrisinin yanı sıra rijit diyafram veya yarı rijit diyafram çözümü mod şeklini temsil eden mod şekil genliği, Φi(X)n, matrisinde de değişiklik göstermektedir. Yarı rijit diyafram çözümünde kütleler düğüm noktalarında tanımlandığı ve bu düğüm noktalarına göre mod şekilleri bulunduğu için döşeme içerisinde meydana gelen gerilme ve şekil değiştirmeler modal hesap yöntemlerinde de oluşmakta ve gerçeğe daha yakın çözüm elde edilmektedir. Verilen (X) deprem doğrultusu için tipik bir n 'inci titreşim modunda yukarıda anlatılan serbestlik derecelerine ait kat modal etkin kütleleri TBDY Denklem 4B.2 'de tanımlandığı şekli ile hesaplanır.

Birim Modal Davranış Büyüklüğür'n(X) Verilen (X) deprem doğrultusu için tipik n 'inci titreşim modunda herhangi bir davranış büyüklüğüne (yerdeğiştirme, göreli kat ötelemesi, iç kuvvet bileşeni) karşı gelen büyüklüktür. TBDY Denklem 4B.2 'de tanımlanan modal etkin kütleleri'nin kendi doğrultularında yük olarak etki ettirildiği bir statik hesapla elde edilir.

Deprem Hesabı ve Tam Karesel Birleştirme

Verilen (X) deprem doğrultusu için tipik bir n 'inci titreşim modunda, herhangi bir davranış büyüklüğüne (yerdeğiştirme, göreli kat ötelemesi, iç kuvvet bileşeni) karşı gelen en büyük modal davranış büyüklüğürn,max(X)TBDY Denklem 4B.3 ile hesaplanmaktadır.

Bu denklem ile her bir titreşim modu için iç kuvvet bileşenleri, yer değiştirme ve göreli kat ötelemesi gibi davranış büyüklüklerinin en büyük değerleri hesaplanmaktadır. Ancak en büyük modal katkılar eşzamanlı olmayan büyüklükler olduğundan istatistiksel olarak birleştirilmektedir. Tam Karesel Birleştirme kuralı uygulanarak herhangi bir davranış büyüklüğüne (yerdeğiştirme, göreli kat ötelemesi, iç kuvvet bileşeni) ulaşılabilir. En genel mod birleştirme kuralı olarak Tam Karesel Birleştirme (TKB veya CQC) TBDY Denklem 4B.4 ile hesaplanmaktadır.

Yukarıdaki denklemde çapraz korelasyon katsayısıρmnTBDY Denklem 4B.5a 'daki şekli ile hesaplanır.

Herhangi bir (X) deprem doğrultusu için en büyük modal davranış büyüklüğü, rmax(X), yerdeğiştirme, göreli kat ötelemesi, iç kuvvet bileşeni değerleridir. Bu değerler en büyük pozitif (mutlak) değerler olduğundan yön kavramı bu yöntemde ortadan kalkmaktadır. Bu nedenle mod birleştirme yöntemi analizi sonuçları (örneğin Ex iç kuvvet diyagramı) incelenirken yapı üzerinde gösterilen değerler denge denklemini sağlamaz. Analiz sonuçlarında görülen değerler, bakılan noktanın olası en yüksek değeridir.


JavaScript errors detected

Please note, these errors can depend on your browser setup.

If this problem persists, please contact our support.