Yatay Elastik Tasarım Spektrumu (15.4.2)
Yatay elastik tasarım spektrumu mevcut veya güçlendirilmiş yapıların performans analizinde kullanılmak üzere tanımlanır. Performans analizinde deprem etkileri tanımlanırken taşıyıcı sistem davranış katsayısı, dayanım fazlalığı katsayısı ve bina önem katsayısı uygulanmamaktadır (R=D=I=1).
Mevcut veya güçlendirilmiş binanın yapısal performasının belirlenmesi için kullanılacak olan Deprem Yer Hareketi Düzeyi kullanıcı tarafından belirlenir.
Seçilen deprem yer hareketi düzeyi ve harita spektral ivme katsayılarına göre Yatay Elastik Tasarım Spektrumu otomatik olarak oluşturulur.
Bina önem katsayıları uygulanmaz ve I=1 alınır.
Taşıyıcı sistem davranış katsayısı uygulanmaz ve R=1 alınır.
Dayanım fazlalığı katsayısı uygulanmaz ve D=1 alınır.
SİMGELER
BYS = Bina yükseklik sınıfı
DTS = Deprem tasarım sınıfı
DD-1 = 50 yılda aşılma olasılığı %2 (tekrarlanma periyodu 2475 yıl) olan deprem yer hareketi düzeyi
DD-2 = 50 yılda aşılma olasılığı %10 (tekrarlanma periyodu 475 yıl) olan deprem yer hareketi düzeyi
DD-3 = 50 yılda aşılma olasılığı %50 (tekrarlanma periyodu 72 yıl) olan deprem yer hareketi düzeyi
DD-4 = 50 yılda aşılma olasılığı %68 (tekrarlanma periyodu 43 yıl) olan deprem yer hareketi düzeyi
I = Bina önem katsayısı
TBDY 15.4.2 'ye göre deprem etkisinin tanımlanmasında deprem yer hareketi düzeyleri için oluşturulan yatay elastik tasarım spektrumu kullanılmaktadır.
Şekildeğiştirmeye Göre Değerlendirme ve Tasarım (ŞGDT) kapsamında Mevcut Binaların Değerlendirilmesi ve Güçlendirilmesi 'nde esas alınacak performans hedefleri TDBY Tablo 3.4(c) 'te tanımlanmıştır.

Yukarıdaki tabloya göre deprem tasarım sınıfı DTS=1, 2, 3, 3a, 4, 4a olan mevcut binalarda DD-2 deprem yer hareketi düzeyine göre ŞGDT yaklaşımı ile Kontrollü Hasar (KH) performans hedefi sağlanmalıdır. Deprem tasarım sınıfı DTS=1a, 2a olan mevcut binalarda DD-1 deprem yer hareketi düzeyine göre ŞGDT yaklaşımı ile Kontrollü Hasar (KH) performans hedefi ve DD-3 deprem yer hareketi düzeyine göre ŞGDT yaklaşımı ile Sınırlı Hasar (SH) performans hedefi sağlanmalıdır.
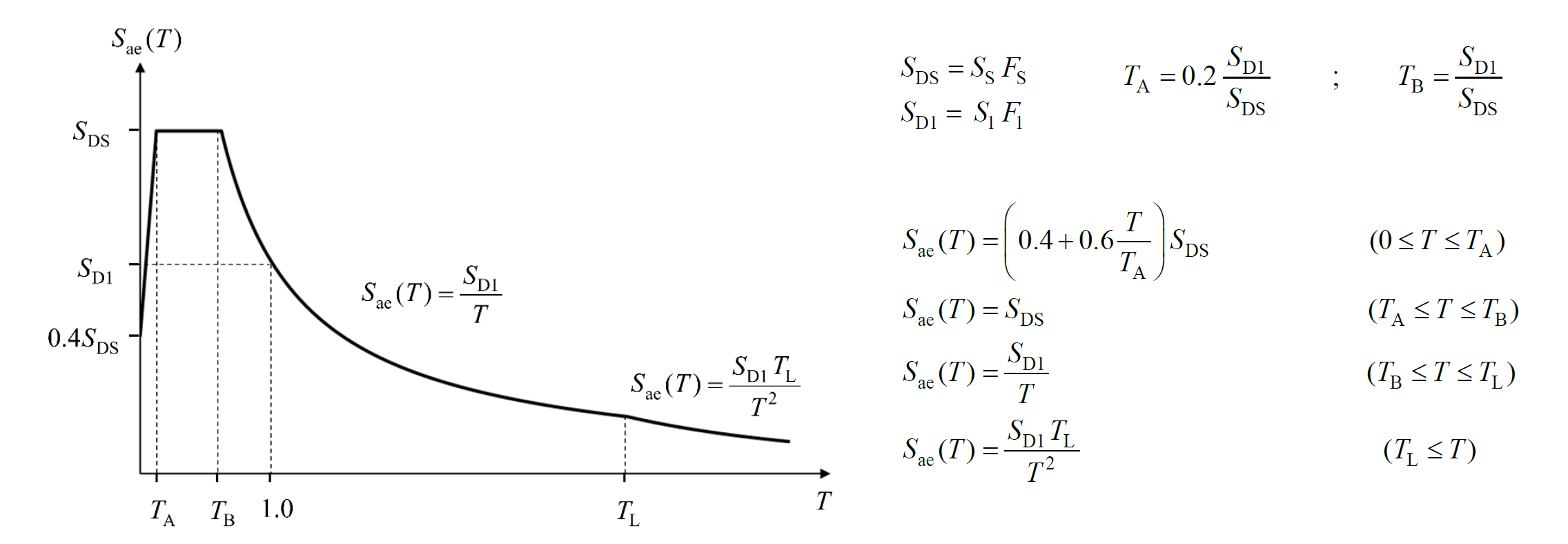
TBDY 2.2 'de tanımlanan deprem yer hareketi düzeyleri ve TBDY 2.3.2 'de tanımlanan harita spektral ivme katsayıları 'na göre yatay elastik tasarım spektrumu aşağıdaki gibi oluşturulmaktadır.

Her bir Deprem Yer Hareketi Düzeyinde farklı bir Yatay Elastik Tasarım Spektrumu bulunacağından TDBY Tablo 3.4(c) 'de verilen performans hedefleri farklıdır.
Performans analizinde deprem etkileri tanımlanırken taşıyıcı sistem davranış katsayısı, dayanım fazlalığı katsayısı ve bina önem katsayısı uygulanmamaktadır (R=D=I=1).
İlgili Konular