Yatay Elastik Tasarım Spektrumu
• ideCAD tarafından haritadan elde edilen katsayılar kullanılarak Denklem 2.2 – 2.3 ile Şekil 2.1 ‘de verilen spektrum eğrisi otomatik elde edilir.
SİMGELER
FS = Kısa periyot bölgesi için yerel zemin etki katsayısı
F1 = 1.0 saniye periyot için yerel zemin etki katsayısı
SDS = Kısa periyot tasarım spektral ivme katsayısı [boyutsuz]
SD1 = 1.0 saniye periyot için tasarım spektral ivme katsayısı [boyutsuz]
SS = Kısa periyot harita spektral ivme katsayısı [boyutsuz]
S1 = 1.0 saniye periyot için harita spektral ivme katsayısı [boyutsuz]
T = Doğal titreşim periyodu [s]
TA = Yatay elastik tasarım ivme spektrumu köşe periyodu [s]
TB = Yatay elastik tasarım ivme spektrumu köşe periyodu [s]
TL = Yatay elastik tasarım spektrumunda sabit yerdeğiştirme bölgesine geçiş periyodu [s]
Sae(T ) = Yatay elastik tasarım spektral ivmesi [g]
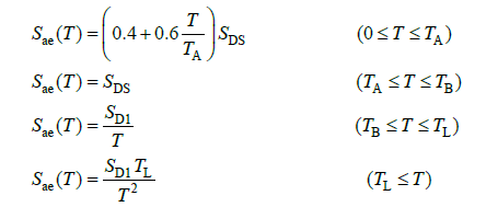
Gözönüne alınan herhangi bir deprem yer hareketi düzeyi için yatay elastik tasarım ivme spektrumu’nun ordinatları olan yatay elastik tasarım spektral ivmeleri Sae(T), doğal titreşim periyoduna bağlı olarak yerçekimi ivmesi [g] cinsinden tanımlanmıştır.
Koordinatlara bağlı olarak AFAD’dan elde edilen spektral ivme katsayıları ile aşağıdaki formüle göre yatay elastik tasarım spektrumu Sae(T) hesaplanır. Yatay elastik tasarım spektrumu için her bölgede farklı olmak üzere toplamda 4 fonksiyon ile temsil edilir ve aşağıdaki grafik ile gösterilir.


Burada SDS ve SD1 Spektral İvme Katsayıları tanımlanan tasarım spektral ivme katsayıları’nı, T ise doğal titreşim periyodunu göstermektedir. Yatay tasarım spektrumu köşe periyotları TA ve TB aşağıdaki denklem ile SDS ve SD1 ’e bağlı olarak tanımlanır:

Analiz Ayarları Sihirbazı - Tasarım Spektrumları sekmesinde koordinatlara bağlı olarak çevrimiçi ve çevrimdışı seçenekleri ile belirlenen tasarım spektral ivme katsayıları kullanılarak yatay tasarım spektrumu hesaplanır ve grafiği oluşturulur.
Analiz Ayarları Sihirbazı - Tasarım Spektrumları sekmesinde koordinatlara bağlı olarak çevrimiçi ve çevrimdışı seçenekleri ile belirlenen tasarım spektral ivme katsayıları kullanılarak yatay tasarım spektrumu hesaplanır ve grafiği otomatik oluşturulur
ZF tipi zemin için sahaya özel analiz gerekliliği dolayısıyla yukarıdaki yol ile hesap yapılmamaktadır. Hesaplanan azaltılmış tasarım ivme spekturumun .txt dosyası olarak import edilmesi gerekmektedir.
TBDY 2018 İvme Spektrumunun DBYBHY 2007 İvme Spektrumunun Göre Farklılıkları
TBDY 2018’de tanımlanan tasarım ivme spektrumu, Deprem Bölgelerinde Yapılacak Binalar Hakkında Yönetmelik DBYBHY 2007’ye göre önemli farklılıklar göstermektedir:
a- DBYBHY 2007’de deprem tehlikesini tanımlayan tek parametre etkin yer ivmesi katsayısı Ao iken TBDY 2018’de deprem tehlikesi iki parametre ile SS ve S1 tanımlanmaktadır. DBYBHY 2007’de mevcut olan deprem bölgesi kavramı TBDY 2018’de mevcut değildir. Ülkenin 4 bölgeye ayrılması yerine koordinat tabanlı elde edilen spektrum daha gerçekçidir. Aşağıda DBYBHY 2007 etkin yer ivmesi katsayısı deprem bölgelerine göre verilmiştir.

b- DBYBHY 2007’de yerel zemin sınıfı dört adet iken, TBDY 2018 ile altı olarak genişletilmiştir. DBYBHY 2007’de yerel zemin koşulları köşe periyodları TA ve TB’yi etkilemekte, ancak spektrumun sadece azalan bölgesi (sabit spektral hız bölgesi) yerel zemin koşullarından etkilenmektedir. TBDY 2018’de ise TBDY Denk.(2.1)’deki FS ve F1 katsayıları ile spektrumun tüm bölgeleri yerel zemin koşullarından etkilenmektedir. Aşağıda DBYBHY 2007 köşe periyodları yerel zemin sınıflarına göre verilmiştir.

c- Spektrumun azalan bölgesi (sabit spektral hız bölgesi) DBYBHY 2007’de spektral ivme T0.8 tersi ile değişirken TBDY 2018’de T’nin tersi ile değişmektedir. Bunun sonucu olarak uzun periyotlarda spektral ivme göreli olarak azalmaktadır. Aşağıda DBYBHY 2007 elastik tasarım spektrumunun üç bölgesine ait fonksiyonlar verilmiştir.

d- Spektrumda TL= 6 saniyeden daha uzun periyodlarda sabit spektral yerdeğiştirme bölgesine geçilmekte (Bkz. TBDY Şekil 2.2) ve bu bölgede spektral ivme T2’nin tersi ile değişmektedir. Aşağıda DBYBHY 2007 elastik tasarım spektrumuna ait grafik verilmiştir.

Sonraki Konu