Deprem Etkilerinin Diğer Etkilerle Birleştirilmesi (15.4.3 - 15.4.4)
Doğrusal veya doğrusal olmayan performans analizinde binaya etkiyen düşey yükler deprem etkileri ile birleştirilerek değerlendirilir. Sabit düşey yükler, sabit yük etkisi ile hareketli yük katılım katsayısı ile çarpılmış hareketli yük etkisidir. Performans analizi yükleme durumları, düşey yükler ile birlikte her iki doğrultuda ayrı ayrı ele alınan deprem yük etkileri altında ele alınır.
Binaya etkiyen düşey yükler ve deprem yüklerinin birleşik etkileri otomatik hesaplanır.
Deprem hesabında kütleler TBDY 4.5.9 'a göre otomatik tanımlanır.
Hareketli Yük Kütle Katılım Katsayısı kullanıcı tarafından belirlenir.
Hareketli yük katılım katsayısı, n kullanılarak taşıyıcı sisteme artımsal olarak uygulanan ikinci mertebe etkilerinin gözönüne alındığı doğrusal olmayan statik hesap otomatik olarak uygulanmaktadır. Bu hesaptan elde edilen iç kuvvetler ve şekildeğiştirmeler itme analizinin başlangıç koşulu otomatik olarak göz önüne alınmaktadır.
Düşey deprem etkisinin dikkate alınması kullanıcı denetimindedir.
SİMGELER
Ed(H) = Doğrultu birleştirmesi uygulanmış deprem etkisi
Ed(X) = ( X ) Doğrultusundaki deprem etkisi
Ed(Y) = ( Y ) Doğrultusundaki deprem etkisi
Ed(Z) = Düşeydeprem etkisi
G = Sabit yük etkisi
Q = Hareketli yük etkisi
Qe = Etkin Hareketli yük etkisi
S = Kar yükü etkisi
g = Yerçekimi ivmesi [m/s2]
mj(S) = Tipik sonlu eleman düğüm noktası j ’ye etkiyen tekil kütle [t]
n = Hareketli yük katılım katsayısı
wj(S) = Tipik sonlu eleman düğüm noktası j 'ye etkiyen tekil ağırlık [kN]
wG,j(S) = Tipik sonlu eleman düğüm noktası j 'ye etkiyen tekil sabit (sabit yük etkisindeki) ağırlık [kN]
wQ,j(S) = Tipik sonlu eleman düğüm noktası j 'ye etkiyen tekil ek (hareketli yük etkisindeki) ağırlık [kN]
Mevcut binaların deprem performansı, binaya etkiyen düşey yükler ile deprem etkilerinin birleşik etkileri altında değerlendirilmektedir. Deprem hesabında kütleler TBDY 4.5.9 'a göre tanımlanmaktadır.
Mevcut binaların deprem performansı hesabında kütleler TBDY 4.5.9 'a uygun olarak sonlu elemanların düğüm noktalarına tanımlanır. Tipik bir sonlu elemanın düğüm noktası (çubuk veya kabuk) j olmak üzere, j noktasında sabit yük, G ve hareketli yük, Q etkisinden ötürü oluşan kütle Denk.(4.16) ile hesaplanır. Hareketli yük kütle katılım katsayısı, n, TBDY Tablo 4.3 'de belirtilen ve bina kullanım amacına göre belirlenen bir katsayıdır.

Herhangi bir sonlu elemnın j noktası için; wG,j(S) sonlu elemanın düğüm noktasında oluşan sabit yükü (G) ve wQ,j(S) sonlu elemanın düğüm noktasında oluşan hareketli yükü (Q) temsil etmektedir. Bu durumda sonlu elemanın j düğüm noktasına etkiyen tekil kütle mj(S) değeri wj(S)/g bağıntısı ile bulunmaktadır. Burada g yerçekimi ivmesini temsil etmektedir.
TBDY 5.2.2.1 'de açıklandığı üzere deprem etkisinin düşey yük etkisi ile birleştirilmesi aşağıdaki denklem ile yapılmaktadır.

Bu denklemge G sabit yük etkisini, Qe etkin hareketli yük etkisini, S kar yükü etkisini, Ed(Z) düşey deprem etkisini, Ed(H) yatay deprem etkisini göstermektedir.
Qe etkin hareketli yük etkisi, TBDY Tablo 4.3 ile tanımlanan Hareketli Yük Kütle Katılım Katsayısı, n kullanılarak hesaplanmaktadır. Q hareketli yük etkisi olmak üzere Qe = nQ olarak hesaplanmaktadır.

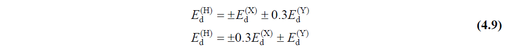
Ed(H) yatay deprem etkisini temsil etmektedir. Eğer mevcut bir yapıda Şekildeğiştirmeye Göre Değerlendirme ve Tasarım (ŞGDT) yaklaşımı ile performans değerlendirmesi yapılıyor ise yatay deprem etkisi TBDY 5.2.2.3 ‘de olduğu gibi tanımlanmalıdır. Eğer sisteme TBDY 5.6 'da verilen İtme Yöntemleri ’nden herhangi bir tanesi uygulanıyor ise Ed(H), ( X ) ve ( Y ) doğrultularında deprem etkileri ayrı ayrı hesaplanır ve daha sonra TBDY 4.4.2.1 'e göre birleştirilir. TBDY 4.4.2.1 'e göre yatayda birbirine dik ( X ) ve ( Y ) doğrultularında tanımlanan deprem etkileri Denk.(4.9) 'da tanımlandığı gibi birleştirilir.

Bu durumda herhangi bir yapıya itme analizi yapıldığında 8 farklı itme hesabı ortaya çıkmaktadır. Eğer ikincil deprem yönü ve düşey yüklerin etkisi kullanılan ve kar yükünün olmadığı bir mevcut konut (n=0.3) yapısının performans değerlendirilmesi yapılırken uygulanan deprem kombinasyonları aşağıdaki gibi olmaktadır.
G+0.3Q+Ed(X)+0.3Ed(Y)+0.3Ed(Z) G+0.3Q+Ed(Y)+0.3Ed(X)+0.3Ed(Z)
G+0.3Q+Ed(X)-0.3Ed(Y)+0.3Ed(Z) G+0.3Q+Ed(Y)-0.3Ed(X)+0.3Ed(Z)
G+0.3Q-Ed(X)+0.3Ed(Y)+0.3Ed(Z) G+0.3Q-Ed(Y)+0.3Ed(X)+0.3Ed(Z)
G+0.3Q-Ed(X)-0.3Ed(Y)+0.3Ed(Z) G+0.3Q-Ed(Y)-0.3Ed(X)+0.3Ed(Z)
Eğer ikinci deprem yönü kullanılan ancak düşey yük etkisinin ve kar yükünün olmadığı mevcut konut (n=0.3) yapısının performans değerlendirilmesi yapılırken uygulanan deprem kombinasyonları aşağıdaki gibi olmaktadır.
G+0.3Q+Ed(X)+0.3Ed(Y) G+0.3Q+Ed(Y)+0.3Ed(X)
G+0.3Q+Ed(X)-0.3Ed(Y) G+0.3Q+Ed(Y)-0.3Ed(X)
G+0.3Q-Ed(X)+0.3Ed(Y) G+0.3Q-Ed(Y)+0.3Ed(X)
G+0.3Q-Ed(X)-0.3Ed(Y) G+0.3Q-Ed(Y)-0.3Ed(X)
Benzer şekilde ikincil deprem yönünün, düşey yük etkisinin ve kar yükünün olmadığı mevcut konut (n=0.3) yapısının performans değerlendirilmesi yapılırken uygulanan deprem kombinasyonları aşağıdaki gibi olmaktadır.
G+0.3Q+Ed(X) G+0.3Q+Ed(Y)
G+0.3Q-Ed(X) G+0.3Q-Ed(Y)
Mevcut yapıların değerlendirilmesi kapsamında yapılan ŞGDT yaklaşımında yukarıda anlatılan seçeneklerin tamamı için ayrı ayrı deprem performansı belirlenebilir. Aşağıda gösterilen seçeneklerden herhangi biri seçildiğinde o yükleme durumu otomatik olarak dikkate alınır ve performans değerlendirmesi yapılır.

Sonraki Konu
İlgili Konular