İtme Eğrisi ve Modal Kapasite Diyagramı (5B.1.4 , 5B.1.5)
İtme eğrisi otomatik olarak elde edilir.
İtme eğrisinin elde edilmesinden sonra koordinat dönüşümü yapılarak Modal Kapasite Diyagramı otomatik elde edilir.
SİMGELER
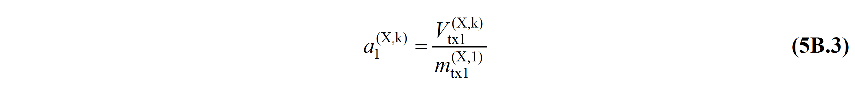
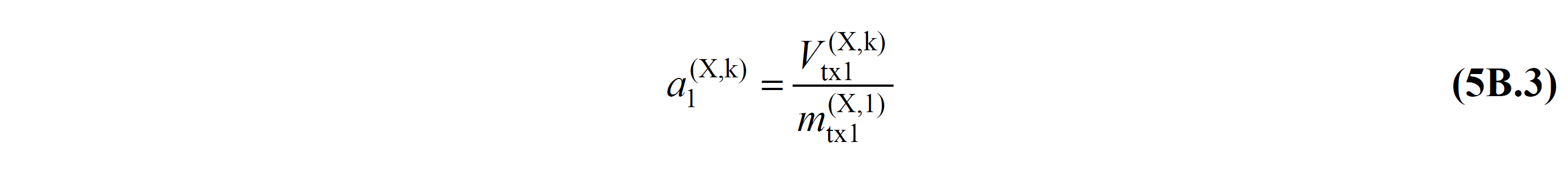
a1(X,k) = (X) deprem doğrultusu için k’ıncı itme adımında birinci moda ait modal tek serbestlik dereceli sistem’in modal sözde-ivmesi [m/s2]
d1(X,k) = (X) deprem doğrultusu için k’ıncı itme adımında birinci moda ait modal tek serbestlik dereceli sistem’in modal yerdeğiştirmesi [m]
mi = i 'nci katını toplam kütlesi
mix1(X,1) = (X) deprem doğrultusu için x ekseni doğrultusunda birinci itme adımında belirlenen ve itme hesabı boyunca hiç değiştirilmeyen sabit mod şekli ’ne göre hesaplanan i’inci kat modal etkin kütlesi [t]
mtx1(X,1) = (X) deprem doğrultusu için x ekseni doğrultusunda birinci itme adımında belirlenen ve itme hesabı boyunca hiç değiştirilmeyen sabit mod şekli ’ne göre hesaplanan taban kesme kuvveti modal etkin kütlesi [t]
uix1(X,k) = (X) deprem doğrultusu için k’ıncı itme adımında i’inci katta x ekseni doğrultusunda hesaplanan yerdeğiştirme [m]
uNx1(X,k) = (X) deprem doğrultusu için k’ıncı itme adımında N’inci katta (binanın tepesinde) x ekseni doğrultusunda hesaplanan yerdeğiştirme [m]
Vtx1(X,k) = (X) deprem doğrultusu için k’ıncı itme adımında x ekseni doğrultusunda hesaplanan taban kesme kuvveti [kN]
ΦNx1(1) = N ’inci katta birinci itme adımında belirlenen ve itme hesabı boyunca hiç değiştirilmeyen sabit mod şekli ’nin x doğrultusundaki genliği
Γ1(X,1) = (X) deprem doğrultusu için birinci itme adımında belirlenen ve itme hesabı boyunca hiç değiştirilmeyen sabit mod şekli ’ne göre hesaplanan modal katkı çarpanı
TBDY 5B.1.2 ve TBDY 5B.1.3 'te gösterilen uNx1(X,k) ve Vtx1(X,k) değeri ile birlikte koordinatları taban kesme kuvveti-tepe yerdeğiştirmesi olan itme eğrisi elde edilir. Performans noktasının bulunması için bu eğrilerin Vtx1(X,k), terimine TBDY Denklem 5B.3 ve uNx1(X,k) terimine TBDY Denklem 5B.4 dönüşümü uygulanır.
Elde edilen itme eğrisinin düşey ekseni, ( X ) deprem doğrultusu için itme analizinin k 'ıncı adımında hesaplanan taban kesme kuvveti Vtx1(X,k) ve yatay ekseni (X) deprem doğrultusu için itme analizinin k 'ıncı adımında hesaplanan N 'inci kattaki tepe yerdeğiştirmesi uNx1(X,k) 'dir TBDY Şekil 5B.1(a).
Taban kesme kuvveti Vtx1(X,k) 'ne yapılan koordinat dönüşümünde TBDY Denklem 5B.3 kullanılır.

mtx1(X,1), değeri ikinci mertebe etkilerinin gözönüne alındığı başlangıç adımında yapılan modal analizin birinci modunda elde edilen modal etkin kütledir. mtx1(X,1), değeri yalnızca birinci adım için hesaplanır ve tüm itme hesabı boyunca sabit olarak alınan kat modal etkin kütleleri mtx1(X,1) değerlerinin toplamıdır.
N 'inci kattaki tepe yerdeğiştirmesi uNx1(X,k) 'ne yapılan koordinat dönüşümünde TBDY Denklem 5B.4 kullanılır.

ΦNx1(1) , başlangıç adımında yapılan modal analizin birinci modunda elde edilen, N 'inci kattaki mod genliğidir. Γ1(X,1) değeri de başlangıç adımında yapılan modal analiz sonucunda elde edilen modal katkı çarpanıdır. Bu değerler yalnızca birinci adım için hesaplanır ve tüm itme hesabı boyunca sabit olarak gözönüne alınır.
Bu durumda koordinatları taban kesme kuvveti-tepe yerdeğiştirmesi olan itme eğrisi, koordinatları modal yerdeğiştirme-modal sözde ivme olan modal kapasite diyagramı 'na dönüştürülmüş olur TBDY Şekil 5B.1(b). Bina performans noktasının bulunması için modal kapasite diyagramı kullanılır ve yerdeğiştirme talebi elde edilmiş olur. Performans noktasının elde edilmesiModal Yerdeğiştirme Talebinin Elde Edilmesi ve Performans Noktası (5B.3) başlığında anlatılmıştır.

Sonraki Konu