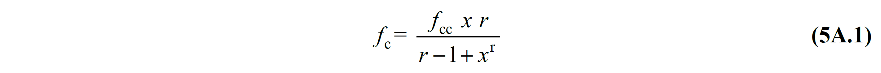
Sargılı ve Sargısız Beton Modelleri (5A.1)
Doğrusal olmayan şekildeğiştirmeler sargılı ve sargısız beton malzeme modeli kullanılacak bölgeler otomatik olarak belirlenir.
Kullanıcı tarafından belirlenen beton sınıfı dikkate alınarak, sargılı ve sargısız beton malzeme modelleri Şekil 5A.1 ‘de gösterildiği şekli ile otomatik olarak belirlenir.
Sargı etkisinden meydana gelen gerilme dayanımı artışı elemandaki enine donatı ve boyuna donatıların durumuna göre otomatik olarak hesaplanmaktadır.
SİMGELER
As = Boyuna donatı alanı
ai = Kesit çevresindeki düşey donatıların eksenleri arasındaki uzaklık
bo = Göbek betonunu sargılayan etriyelerin eksenleri arasında kalan kesit boyutu
Ec = Betonun elastisite modülü
fc = Sargılı betonda beton basınç gerilmesi
fcc = Sargılı beton dayanımı
fck = Betonun karakteristik basınç dayanımı
fco = Sargısız betonun basınç dayanımı
fe = Etkili sargılama basıncı
fs = Donatı çeliğindeki gerilme
fsy = Donatı çeliğinin akma dayanımı
fsu = Donatı çeliğinin kopma dayanımı
fyw = Enine donatının akma dayanımı
ho = Göbek betonunu sargılayan etriyelerin eksenleri arasında kalan kesit boyutu
ke = Sargılama Etkinlik Katsayısı
s = Enine donatı aralığı
ρs = Toplam enine donatının hacimsel oranı (dikdörtgen kesitlerde ρs = ρx + ρy )
ρx ,ρy = İlgili doğrultulardaki enine donatı hacim oranı
εc = Beton basınç birim şekildeğiştirmesi
εcu = Sargılı betondaki maksimum basınç birim şekildeğiştirmesi
TBDY Bölüm EK 5A.1 'de sargılı ve sargısız beton modellerinin gerilme birim şekildeğiştirme bağıntıları açıklanmış ve Şekil 5A.1 'de gösterilmiştir.

Yukarıdaki grafikler Denk.(5A.1) 'deki bağıntı ile elde edilmektedir.

Burada fc , betonun basınç gerilmesini ifade eder ve grafiğin düşey eksenindeki değerlerdir. fcc , sargılı beton basınç dayanımı, fco , sargısız beton basınç dayanımı ifade eder. Bu ikisi arasındaki bağıntı Denk.(5A.2) 'de tanımlanmıştır.

Bu denklemde fe etkili sargılama basıncını ifade eder. Eğer sargı etkisi dikkate alınmaz ise fe değeri sıfır çıkacak ve λc = 1 olacaktır. Bu durumda fcc = fco olacağından Denk.(5A.1) 'deki bağıntı sargısız beton basınç gerilmesi bağıntısı haline gelecektir ve Şekil 5A.1 'de gösterilen sargısız beton grafiği ortaya çıkacaktır.
Sargı etkisinin dikkate alınması için fe etkili sargılama basıncı değeri Denk.(5A.3) ile hesaplanır.

Bu denklemde fyw enine donatı akma dayanımını, ρx ve ρy sırasıyla ( X ) ve ( Y ) doğrultularındaki enine donatıların hacimsel oranıdır ve aşağıda gösterildiği gibi hesaplanmaktadır. Asx ve Asy sırasıyla ( X ) ve ( Y ) doğrultularındaki enine donatı alanlarını, s enine donatı aralığını, bo göbek betonunu sargılayan etriyelerin eksenleri arasında kalan kesit boyutunu göstermektedir.

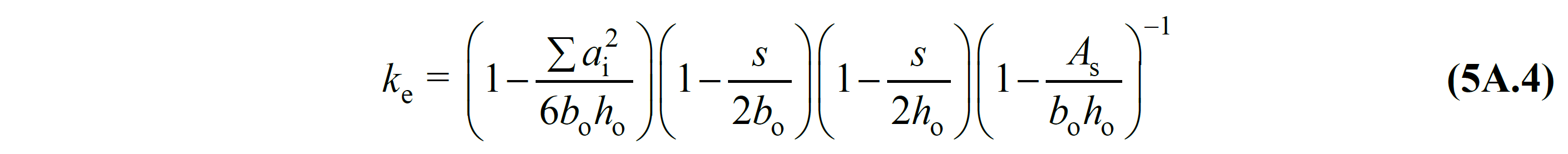
Sargılama etkinlik katsayısı, ke değeri Denk.(5A.4) ile hesaplanmaktadır.

Burada ai kesit çevresindeki boyuna donatıların eksenleri arasındaki uzaklığı, bo ve ho göbek betonunu sargılayan etriyelerin eksenleri arasında kalan kesit boyutlarını, s boyuna doğrultuda etriyelerin eksenleri arasındaki aralığı, As ise boyuna donatı alanını göstermektedir.
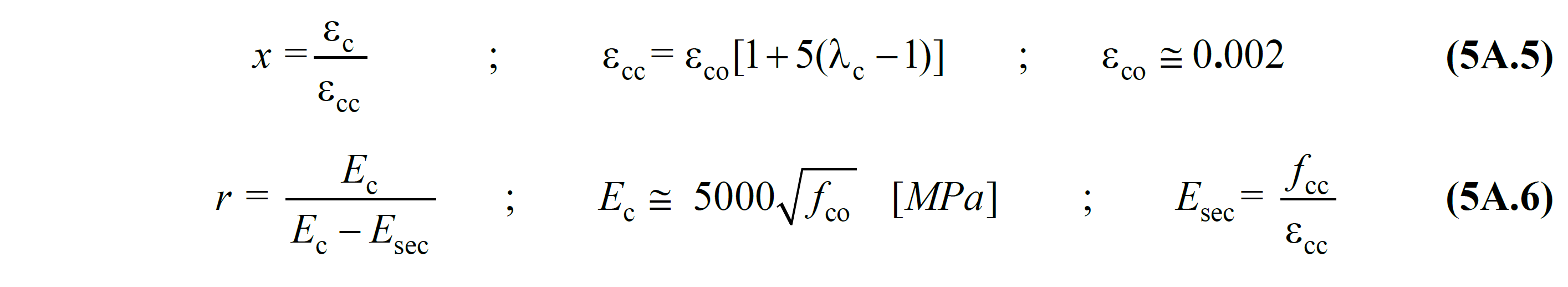
Beton basınç gerilmesi fc sargılı beton ve sargısız beton için bulunduktan sonra Denk.(5A.1) 'deki beton birim şekildeğiştirmesi değişkenleri olan x ve r değerleri Denk.(5A.5) ve Denk.(5A.6) 'da gösterildiği şekli ile hesaplanmaktadır.

Burada εc beton birim basınç şekildeğiştirmesini ifade eder ve Şekil 5A.1 'de gösterilen grafiğin yatay ekseni anlamına gelmektedir. Bu durumda Şekil 5A.1 'de gösterilen grafik fc ve εc değişkenleri kullanılarak elde edilir. εcc sargılı beton basınç birim şekildeğiştirmesi, εco sargısız beton basınç birim şekildeğiştirmesidır. εcc ve εco arasında Denk.(5A.5) 'de gösterildiği gibi bir ilişki bulunmaktadır. Eğer sargı etkisi dikkate alınmaz ise yukarıda anlatıldığı gibi λc = 1 olacaktır. Bu durumda εcc = εco değerine eşit olur ve sargısız beton için birim şekildeğiştirme bağıntısı bulunur. Eğer sargı etkisi dikkate alınır ise λc>1 olarak bulunur ve bu durumda x bağıntısı sargılı beton için yazılmış olur.
Şekildeğiştirmeye Göre Değerlendirme ve Tasarım (ŞGDT) yaklaşımında plastik mafsalların kesit özelliklerinin bulunması için çıkartılan moment-eğrilik bağıntısı yukarıda anlatılan beton malzeme modeline göre çıkartılmaktadır. Aşağıdaki şekilde örnek bir betonarme elemanın kesit hücresi-lif (fiber) modeli gösterilmektedir. Burada her bir lif (fiber) yukarıda anlatılan beton malzeme modeline göre tanımlanmaktadır. Koyu gri renk ile gösterilen lifler sargılı beton, açık gri ile gösterilen lifler sargısız beton olarak modellenir. Yeşil renk ile gösterilenler ise donatı malzeme modeli ile tanımlanan liflerdir.

fck betonun karakteristik basınç dayanımı olmak üzere, beton malzeme modelini oluştururken sargısız beton basınç dayanımı, fco değeri beton sınıfına bağlıdır. Yeni yapılacak binalar için beton dayanımı beklenen (ortalama) dayanım değeri olarak alınmalıdır. Bu durumda fco=1.3fck olarak dikkate alınmalı ve beton için gerilme birim şekildeğiştirme bağıntıları sargılı ve sargısız beton için bu değere göre hesaplanmalıdır. fck betonun karakteristik basınç dayanımıdır. Mevcut yapıların değerlendirilmesi durumunda mevcut malzeme dayanımının kullanılır. Eğer bilgi düzeyi “Kapsamlı” olarak seçilmiş ise beton dayanımı fco=fck olarak, bilgi düzeyi “Sınırlı” olarak seçilmiş ise fco=0.75fck alınır.
Örneğin C25 beton sınıfındaki bir betonda fck=25 MPa değeridir. Eğer bu beton sınıfı mevcut bir yapı için ŞGDT yaklaşımında kullanılacak olursa ve bilgi düzeyi “kapsamlı” olarak seçilmiş ise plastik mafsal tanımlanırken kullanılan beton basınç dayanımı fck=fco=25 MPa değeridir. Ancak yeni yapılacak bir yapıda ŞGDT yaklaşımı kullanılacak olursa plastik mafsal tanımlanırken kullanılan beton basınç dayanımı fco=fce=1.3fck=32.5 MPa değeridir.
Sonraki Konu