Donatı Çeliği Modeli (5A.2)
Kullanıcı tarafından belirlenen donatı çeliği modelinin şekildeğiştirmeye göre değerlendirmede kullanılacak malzeme modeli Şekil 5A.2 ‘ye göre otomatik olarak hesaplanır.
SİMGELER
Es = Donatı çeliğinin elastisite modülü
fs = Donatı çeliğindeki gerilme
fsy = Donatı çeliğinin akma dayanımı
fsu = Donatı çeliğinin kopma dayanımı
fyw = Enine donatının akma dayanımı
fyk = Donatı çeliğinin karakteristik akma dayanımı
εs = Donatı çeliğinin şekildeğiştirmesi
εsy = Donatı çeliğinin akma birim şekildeğiştirmesi
εsh = Donatı çeliğinin pekleşme başlangıcındaki birim şekildeğiştirmesi
εsu = Donatı çeliğinin kopma birim şekildeğiştirmesi
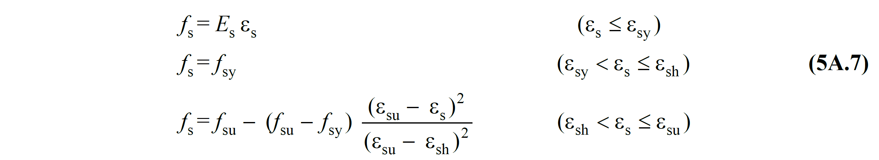
TBDY Bölüm EK 5A.2 'de donatı çeliği modeli için gerilme birim şekildeğiştirme bağıntıları açıklanmış ve Şekil 5A.2 'de gösterilmiştir.

Yukarıdaki grafiğin elde edilmesi için gerekli olan bağıntı Denk.(5A.7) 'de gösterilmiştir.

Bu denklemde fs donatı çeliğinin gerilmesini ifade etmektedir ve Şekil 5A.2 'deki grafiğin düşey eksenidir. εs donatı çeliğinin birim şekildeğiştirmesidir ve grafiğin yatay ekseni ifade eder. Donatının akma gerilmesine, fsy kadar olan bölüm doğrusaldır ve bu bölüme kadar plastik şekildeğiştirme meydana gelmemektedir. Donatının akma noktası (fsy, εsy) 'na ulaşıldıktan sonra gerilme sabit kalır ve pekleşme bölgesine kadar birim şekildeğiştirme artış gösterir. Pekleşme başlangıç noktası (fsy, εsh) 'ndan sonra donatıdaki gerilme bir miktar artmaya devam eder ve en son (fsu, εsu) noktasında donatı dayanımını yitirir. Donatı çeliğinin kalitesine göre akma gerilmesi fsy ve akma birim şekildeğiştirmesi εsy değişiklik göstermektedir. Tablo 5A.1 'de donatı kalitesine göre malzeme modelinde kullanılan değerler gösterilmektedir.

fyk donatı çeliğinin karakteristik akma dayanımıdır. Yeni yapılacak binalar için malzeme modeli oluşturulurken donatı akma gerilmesi fsy beklenen (ortalama) dayanım ile hesaplanmalıdır. Bu durumda fsy = 1.3fyk olarak dikkate alınır. Mevcut yapıların değerlendirilmesi durumunda mevcut malzeme dayanımı kullanılır. Eğer bilgi düzeyi “Kapsamlı” olarak seçilmiş ise donatı akma gerilmesi fsy=fyk olarak, bilgi düzeyi “Sınırlı” olarak seçilmiş ise fsy=0.75fyk alınır.
Örneğin S420 kalitesindeki bir donatı için karakteristik akma dayanımı fyk = 420 MPa dır. Eğer bu donatı mevcut bir yapı için ŞGDT yaklaşımında kullanılacak olursa ve bilgi düzeyi “kapsamlı” olarak seçilmiş ise plastik mafsal tanımlanırken kullanılan donatı akma gerilmesi fsy=fyk=420 MPa değeridir. Ancak yeni yapılacak bir yapıda ŞGDT yaklaşımı kullanılacak olursa plastik mafsal tanımlanırken kullanılan donatı akma gerilmesi fsy=1.2fyk=504 MPa değeridir.
Sonraki Konu