Rijitleştirilmiş Alın Levhalı 8 Bulonlu Birleşim Tasarımı
Rijitleştirilmiş Alın Levhalı Sekiz Bulonlu birleşim, kolonlara bulon, kirişe ise kaynakla bağlanan ve berkitme levhası olan bir moment aktaran birleşim (rijit birleşim) tipidir. Bulon kontrolü, kaynak kontrolü, levha kontrolü ve birleşim uygulama sınırları kontrolü birleşimin elemanlarının yerleşimine göre otomatik yapılır. Rijitleştirilmiş Alın Levhalı Dört Bulonlu birleşim tasarımı Çelik Yapıların Tasarım, Hesap ve Yapım Esasları (ÇYTHYEDY) veya AISC 360-16 yönetmeliklerine göre otomatik yapılır ve birleşim raporu oluşturulur. Birleşim detayı uygulama sınırları TBDY Tablo 9B.1 'e göre kontrol edilir.
Rijitleştirilmiş Alın Levhalı Sekiz Bulonlu birleşim hesabında, geometri kontrolünde yatay ve düşey bulon mesafeleri, alın levhası kaynak kalınlığı, süreklilik levhası kaynak kalınlığı ve uygulama sınırları kontrolü yapılır. Dayanım kontrollerinde, bulon çapı, alın levhası kalınlığı, alın levhası kayma akması, alın levhası kayma kırılması, berkitme levhası kaynak kalınlığı, mesnet bulonlarında kayma, alın levhasında bulon deliği ezilme, kolon başlığında bulon deliği ezilmesi, alın levhası kaynak kalınlığı, kolon başlık kalınlığı, kolon panel bölgesi kayması ve kayma bölgesi kalınlığı kontrolü yapılır.
Birleşim Geometrisi


GEOMETRİ KONTROLLERİ
Bulonlar Arası Mesafe
smin ≥ 3d | ÇYTHYEDY 13.3.6 |
|
|
s | 90 mm |
|
|
d | 30 mm | s =90 mm > smin = 3*30=90 mm | √ |
Yatay Kenar Mesafesi
Leh ≥ Le- min | ÇYTHYEDY 13.3.7 |
|
|
Leh | 60 mm | Leh ≥ 2d=2*30=60 mm uygulama için uygunluk kontrolü | √ |
Le- min | 40 mm | Tablo 13.9 gereği minimum uzaklık kontrolü | √ |
Düşey Kenar Mesafesi
Lev ≥ Le- min | ÇYTHYEDY 13.3.7 |
|
|
Lev | 60 mm | Leh ≥ 2d=2*30=60 mm uygulama için uygunluk kontrolü | √ |
Le- min | 40 mm | Tablo 13.9 gereği minimum uzaklık kontrolü | √ |
Kiriş Gövdesi Alın Levhası Kaynak Kalınlığı
a ≥ a min |
|
|
|
a | 5 mm |
| √ |
a min | 3.5 mm | Tablo 13.4 | √ |
Berkitme Kiriş Başlığı Kaynak Kalınlığı
a ≥ a min |
|
|
|
a | 6 mm |
| √ |
a min | 4 mm | Tablo 13.4 | √ |
Berkitme Alın Levhası Kaynak Kalınlığı
a ≥ a min |
|
|
|
a | 6 mm |
| √ |
a min | 4 mm | Tablo 13.4 | √ |
Süreklilik Levhası - Kolon Başlığı Kaynak Kalınlığı
a ≥ a min |
|
|
|
a | 8 mm |
| √ |
a min | 4 mm | Tablo 13.4 | √ |
Süreklilik Levhası - Kolon Gövdesi Kaynak Kalınlığı
a ≥ a min |
|
|
|
a | 8 mm |
| √ |
a min | 4 mm | Tablo 13.4 | √ |
Birleşim Detayı Uygulama Sınırları (TBDY Tablo 9B.1)
Kiriş açıklığı/Kiriş enkesit yüksekliği | 9144 mm /450 mm=20.32 | ≥7.0 |
Alın levhası kalınlığı, tp | 30 mm | 18≤tp≤65 |
Alın levhası genişliği,bp | 298 mm | 215≤ bp≤ 400 |
Bulonlar arası yatay mesafe, g | 154 mm | 125≤g≤155 |
pfi | 72 mm | 40≤pfi≤50 |
pfo | 72 mm | 40≤pfi≤50 |
Kiriş enkesit yüksekliği, db | 450 mm | 450≤ db≤ 950 |
Kiriş başlık kalınlığı, tbf | 15 mm | 14≤tbf≤35 |
Kolon enkesit yüksekliği | 650 | ≤ 920 mm |
Bulon sınıfı | 10.9 | 8.8 - 10.9 |
Alın levhası malzemesinin min akma gerilmesi | 275 MPa | 235 /275/355 MPa |
Başlık levhası kaynağı | CJP | CJP |
Dayanım Kontrolleri
Bulon Çapı
Muc | 833.213 kNm | AISC 358-16 (6.8-4) |
Ft | 750000 kN/m2 |
|
h1 | ![]() |
|
h2 | ![]() |
|
h3 | ![]() | |
h4 | ![]() | |
db | ![]() |
|
Gereken | Hazır | Oran | Kontrol |
|---|---|---|---|
22.252 mm | 30 mm | 0.708 | √ |
Alın Levhası Kalınlığı
Muc | 833.213 kNm | AISC 358-16 (6.8-5) |
Fyp | 275000 kN/m2 |
|
s | ![]() |
|
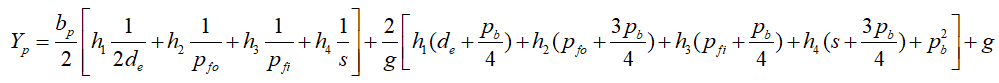
Yp | ![]() |
|
Yp | ![]() |
|
tp | ![]() |
|
Gereken | Hazır | Oran | Kontrol |
|---|---|---|---|
23.01 mm | 30 mm | 0.767 | √ |
Alın Levhası Berkitme Kalınlığı
tbw | 9 mm | AISC 358-16 (6.8-9) |
Fyb | 275000 kN/m2 |
|
Fys | 275000 kN/m2 |
|
ts | 12 mm |
|
| ![]() |
|
| ![]() |
|
Gereken | Hazır | Oran | Kontrol |
|---|---|---|---|
9 mm | 15 mm | 0.600 | √ |
Alın Levhası Berkitmede Yerel Burkulma
hs | 210 mm | AISC 358-16 (6.8-10) |
ts | 15 mm |
|
E | 205939650 kN/m2 |
|
Fys | 275000 kN/m2 |
|
| ![]() |
|
| ![]() |
|
Gereken | Hazır | Oran | Kontrol |
|---|---|---|---|
14 mm | 15.325 mm | 0.914 | √ |
Berkitme Kiriş Başlığı Kaynak Kalınlığı
Fys | 275000 kN/m2 | AISC DG 4-2nd 3.2.10 |
ts | 15 mm |
|
Fe | 490000 kN/m2 |
|
w | ![]() |
|
Gereken | Hazır | Oran | Kontrol |
|---|---|---|---|
7.938 mm | 8.487 mm | 0.935 | √ |
Berkitme Alın Levhası Kaynak Kalınlığı
Fys | 275000 kN/m2 | AISC DG 4-2nd 3.2.10 |
ts | 15 mm |
|
Fe | 490000 kN/m2 |
|
w | ![]() |
|
Gereken | Hazır | Oran | Kontrol |
|---|---|---|---|
7.938 mm | 8.487 mm | 0.935 | √ |
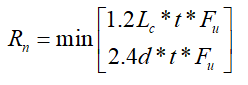
Mesnet Bulonda Kayma
Ab | ![]() |
Fn | ![]() |
Rn | ![]() |
ΦRn | ![]() |
Gereken | Hazır | Oran | Kontrol |
|---|---|---|---|
211.464 kN | 2290.22 kN | 0.092 | √ |
Alın Levhasında Bulon Deliği Ezilmesi
dh | 30+3=33 mm |
|
Lc,edge | ![]() |
|
Rn | ![]() | ÇYTHYEDY 13.3.13 Denklem 13.14a ve13.14b |
Rn-edge | ![]() |
|
Lc,spacing1 | ![]() |
|
Rn-spacing1 | ![]() |
|
Lc,spacing2 | ![]() | |
Rn-spacing2 | ![]() | |
Rn | ![]() |
|
ΦRn | ![]() |
|
Gereken | Hazır | Oran | Kontrol |
|---|---|---|---|
211.464 kN | 6044.22 kN | 0.035 | √ |
Kolon Başlığında Bulon Deliği Ezilmesi
dh | 30+3=33 mm |
|
Rn | ![]() | ÇYTHYEDY 13.3.13 Denklem 13.14a ve13.14b |
Rn-edge | ![]() | |
Lc,spacing1 | ![]() |
|
Rn-spacing1 | ![]() |
|
Lc,spacing2 | ![]() | |
Rn-spacing2 | ![]() | |
Rn | ![]() |
|
ΦRn | ![]() |
|
Gereken | Hazır | Oran | Kontrol |
|---|---|---|---|
211.464 kN | 6424.142 | 0.033 | √ |
Kiriş Gövdesi Alın Levhası Kaynak Kalınlığı
Fyp | 275000 kN/m2 | AISC 358-16 (6.7.6)3 |
tbw | 9 mm |
|
Fe | 490000 kN/m2 |
|
w | ![]() |
|
Gereken | Hazır | Oran | Kontrol |
|---|---|---|---|
4.763 mm | 7.072 mm | 0.673 | √ |
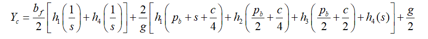
Kolon Başlık Kalınlığı
Muc | 803.836 kNm | AISC 358-16 (6.8-13) |
Fyp | 275000 kN/m2 |
|
s | ![]() |
|
c | ![]() |
|
Yc | ![]() |
|
Yc | ![]() |
|
tcf | ![]() |
Gereken | Hazır | Oran | Kontrol |
|---|---|---|---|
21.772mm | 31 mm | 0.702 | √ |
Kolon Panel Bölgesi Kayması
Pr | 429.124 kN | ÇYTHYEDY 13.29a |
Py | ![]() |
|
Fy | 275000 kN/m2 |
|
Ag | 28634.759 mm2 |
|
dc | 650 mm |
|
tw | 16 mm |
|
Rn | ![]() |
|
ΦRn | ![]() |
Gereken | Hazır | Oran | Kontrol |
|---|---|---|---|
1696.742 kN | 1716 kN | 0.989 | √ |
Kayma Bölgesi Kalınlığı
tmin≥u/180 | ![]() | TBDY 2018 9.3.4.2b |
tmin=tw | 16 mm |
|
tw | 16 mm |
|
u | 2016 mm |
|
Gereken | Hazır | Oran | Kontrol |
|---|---|---|---|
11.2 mm | 16 mm | 0.700 | √ |










































