Rijitleştirilmemiş Alın Levhalı 4 Bulonlu Birleşim Tasarımı
Rijitleştirilmemiş Alın Levhalı Dört Bulonlu birleşim, kolonlara bulon kirişe ise kaynakla bağlanan bir moment aktaran birleşim (rijit birleşim) tipidir. Bulon kontrolü, kaynak kontrolü, levha kontrolü ve birleşim uygulama sınırları kontrolü birleşimin elemanlarının yerleşimine göre otomatik yapılır. Rijitleştirilmemiş Alın Levhalı Dört Bulonlu birleşim tasarımı Çelik Yapıların Tasarım, Hesap ve Yapım Esasları (ÇYTHYEDY) veya AISC 360-16 yönetmeliklerine göre otomatik yapılır ve birleşim raporu oluşturulur. Birleşim detayı uygulama sınırları TBDY Tablo 9B.1 'e göre kontrol edilir.
Rijitleştirilmemiş Alın Levhalı Dört Bulonlu birleşim hesabında, geometri kontrolünde yatay ve düşey bulon mesafeleri, alın levhası kaynak kalınlığı, süreklilik levhası kaynak kalınlığı ve uygulama sınırları kontrolü yapılır. Dayanım kontrollerinde, bulon çapı, alın levhası kalınlığı, alın levhası kayma akması, alın levhası kayma kırılması, mesnet bulonlarında kayma, alın levhasında bulon deliği ezilme, kolon başlığında bulon deliği ezilmesi, alın levhası kaynak kalınlığı, kolon başlık kalınlığı, kolon panel bölgesi kayması ve kayma bölgesi kalınlığı kontrolü yapılır.
Birleşim Geometrisi


GEOMETRİ KONTROLLERİ
Yatay Kenar Mesafesi
| Leh ≥ Le- min | ÇYTHYEDY 13.3.7 | 
 | 
 | 
| Leh | 70 mm | Leh ≥ 2d=2*30=60 mm uygulama için uygunluk kontrolü | √ | 
| Le- min | 40 mm | Tablo 13.9 gereği minimum uzaklık kontrolü | √ | 
Düşey Kenar Mesafesi
| Lev ≥ Le- min | ÇYTHYEDY 13.3.7 | 
 | 
 | 
| Lev | 85 mm | Leh ≥ 2d=2*30=60 mm uygulama için uygunluk kontrolü | √ | 
| Le- min | 40 mm | Tablo 13.9 gereği minimum uzaklık kontrolü | √ | 
Kiriş Gövdesi Alın Levhası Kaynak Kalınlığı
| a ≥ a min | 
 | 
 | |
| a | 6 mm | 
 | √ | 
| a min | 3.5 mm | Tablo 13.4 | √ | 
Süreklilik Levhası - Kolon Başlığı Kaynak Kalınlığı
| a ≥ a min | 
 | 
 | |
| a | 8 mm | 
 | √ | 
| a min | 4 mm | Tablo 13.4 | √ | 
Süreklilik Levhası - Kolon Gövdesi Kaynak Kalınlığı
| a ≥ a min | 
 | 
 | |
| a | 8 mm | 
 | √ | 
| a min | 4 mm | Tablo 13.4 | √ | 
Birleşim Detayı Uygulama Sınırları (TBDY Tablo 9B.1)
| Kiriş açıklığı/Kiriş enkesit yüksekliği | 9144 mm /450 mm=20.32 | ≥7.0 | 
| Alın levhası kalınlığı, tp | 32 mm | 12≤tp≤60 | 
| Alın levhası genişliği,bp | 290 mm | 160≤ bp≤ 300 | 
| Bulonlar arası yatay mesafe, g | 150 mm | 100≤g≤155 | 
| pfi | 60 mm | 40≤pfi≤115 | 
| pfo | 60 mm | 40≤pfo≤115 | 
| Kiriş enkesit yüksekliği, db | 450 mm | 270≤ db≤ 1400 | 
| Kiriş başlık kalınlığı, tbf | 15 mm | 10≤tbf≤25 | 
| Kolon enkesit yüksekliği | 650 | ≤ 920 mm | 
| Bulon sınıfı | 10.9 | 8.8 - 10.9 | 
| Alın levhası malzemesinin min akma gerilmesi | 275 MPa | 235 /275 / 355 MPa | 
| Başlık levhası kaynağı | CJP | CJP | 
Dayanım Kontrolleri
Bulon çapı

| Muc | 783.345 kNm | AISC 358-16 (6.8-3) | 
| Ft | 750000 kN/m2 | |
| ho |  | |
| h1 |  | |
| db |  | 
| Gereken | Hazır | Oran | Kontrol | 
|---|---|---|---|
| 29.141 mm | 30 mm | 0.971 | √ | 
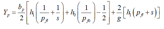
Alın Levhası Kalınlığı
| Muc | 783.345 kNm | AISC 358-16 (6.8-5) | 
| Fyp | 275000 kN/m2 | |
| s |  | |
| Yp |  | |
| Yp |  | |
| tp |  | 
| Gereken | Hazır | Oran | Kontrol | 
|---|---|---|---|
| 30.74 mm | 32 mm | 0.961 | √ | 
Alın Levhası Kayma Akması
| Muc | 783.345 kNm | AISC 358-16 (6.8-7) | 
| Ff |  | |
| Rreq=Ff/2 |  | |
| Fyp | 275000 kN/m2 | |
| bp | 290 mm | |
| tp | 32 mm | |
| d | 450 mm | |
| tbf | 15 mm | |
| Rn |  | 
| Gereken | Hazır | Oran | Kontrol | 
|---|---|---|---|
| 900.396 kN | 1531.2 kN | 0.588 | √ | 
Alın Levhası Kayma Kırılması
| Muc | 783.345 kNm | AISC 358-16 (6.8-7) | 
| Ff |  | |
| Rreq=Ff/2 |  | |
| Fup | 410000 kN/m2 | |
| An |  | |
| d | 450 mm | |
| tbf | 15 mm | |
| Rn |  | |
| ΦRn |  | 
| Gereken | Hazır | Oran | Kontrol | 
|---|---|---|---|
| 900.396 kN | 1027.3 kN | 0.876 | √ | 
Mesnet Bulonda Kayma
| Ab |  | 
| Fn |  | 
| Rn |  | 
| ΦRn |  | 
| Gereken | Hazır | Oran | Kontrol | 
|---|---|---|---|
| 212.57 kN | 1145.11 kN | 0.186 | √ | 
Alın Levhasında Bulon Deliği Ezilme
| dh | 30+3=33 mm | 
 | 
| Lc,edge |  | 
 | 
| Rn |  | ÇYTHYEDY 13.3.13 Denklem 13.14a ve13.14b | 
| Rn-edge |  | 
 | 
| Lc,spacing |  | 
 | 
| Rn-spacing |  | 
 | 
| Rn |  | 
 | 
| ΦRn |  | 
 | 
| Gereken | Hazır | Oran | Kontrol | 
|---|---|---|---|
| 212.57 kN | 3400.704 kN | 0.063 | √ | 
Kolon Başlığında Bulon Deliği Ezilmesi
| dh | 30+3=33 mm | 
 | 
| Rn |  | ÇYTHYEDY 13.3.13 Denklem 13.14a ve13.14b | 
| Rn-edge |  | 
 | 
| Lc,spacing |  | 
 | 
| Rn-spacing |  | 
 | 
| Rn |  | 
 | 
| ΦRn |  | 
 | 
| Gereken | Hazır | Oran | Kontrol | 
|---|---|---|---|
| 212.57 kN | 3294.432 kN | 0.065 | √ | 
Kiriş Gövdesi Alın Levhası Kaynak Kalınlığı
| Fyp | 275000 kN/m2 | AISC 358-16 (6.7.6)3 | 
| tbw | 9 mm | |
| Fe | 490000 kN/m2 | |
| w |  | 
| Gereken | Hazır | Oran | Kontrol | 
|---|---|---|---|
| 4.763 mm | 8.487 mm | 0.561 | √ | 
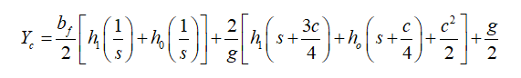
Kolon Başlık Kalınlığı
| Muc | 783.345 kNm | AISC 358-16 (6.8-5) | 
| Fyp | 275000 kN/m2 | |
| s |  | |
| c |  | |
| Yc |  | |
| Yc |  | |
| tcf |  | 
| Gereken | Hazır | Oran | Kontrol | 
|---|---|---|---|
| 24.324 mm | 31 mm | 0.785 | √ | 
Kolon Panel Bölgesi Kayması
| Pr | 429.124 kN | ÇYTHYEDY 13.29a | 
| Py |  | |
| Fy | 275000 kN/m2 | |
| Ag | 28634.759 mm2 | |
| dc | 650 mm | |
| tw | 16 mm | |
| Rn |  | |
| ΦRn |  | 
| Gereken | Hazır | Oran | Kontrol | 
|---|---|---|---|
| 1595.191 kN | 1716 kN | 0.930 | √ | 
Kayma Bölgesi Kalınlığı
| tmin≥u/180 |  | TBDY 2018 9.3.4.2b | 
| tmin=tw | 16 mm | |
| tw | 16 mm | |
| u | 2016 mm | 
| Gereken | Hazır | Oran | Kontrol | 
|---|---|---|---|
| 11.2 mm | 16 mm | 0.700 | √ | 
