Bindirme Levhalı Kolon/Kiriş Eki Birleşimi Tasarımı
Bindirme levhalı kolon-kiriş eki birleşimi, kiriş başlıklarını ve gövdesini bulonlu veya kaynaklı birleştiren levhalarla oluşturulan moment aktaran ek birleşimidir. Kiriş eki veya kolon eki olarak kullanılabilir. Bulon kontrolü, kaynak kontrolü, levha kontrolü birleşimin elemanlarının yerleşimine göre otomatik yapılır. Bindirme levhalı kolon,kiriş eki birleşimi tasarımı Çelik Yapıların Tasarım, Hesap ve Yapım Esasları (ÇYTHYEDY) veya AISC 360-16 yönetmeliklerine göre otomatik yapılır ve birleşim raporu oluşturulur.
Bindirme levhalı kolon-kiriş eki birleşimi hesabında, geometri kontrolünde başlık ve gövde bulonları arası mesafe, yatay ve düşey kenar mesafesi ve kaynak kontrolü yapılır. Dayanım kontrolünde, başlık ve gövde bulonlarında kayma, başlık ve gövde bulon deliğinde ezilme, kiriş başlığı ve gövdesi bulon deliğinde ezilme, başlık levhası çekme akması ve çekme kırılması, başlık levhasında blok kayma, kiriş başlığında blok kayma, başlık levhası basınç akması, gövde levhasında blok kayma ve kaynak kontrolü yapılır.
Birleşim Geometrisi



GEOMETRİ KONTROLLERİ
Başlıkta Bulonlar arası mesafe
smin ≥ 3d | ÇYTHYEDY 13.3.6 |
|
|
s | 72 mm |
|
|
d | 24 mm | s =79.5 mm > smin = 3*24=72 mm | √ |
Başlıkta Yatay Kenar Mesafesi
Leh ≥ Le- min | ÇYTHYEDY 13.3.7 |
|
|
Leh | 75 mm | Leh ≥ 2d=2*24=48 mm uygulama için uygunluk kontrolü | √ |
Le- min | 32 mm | Tablo 13.9 gereği minimum uzaklık kontrolü | √ |
Başlıkta Düşey Kenar Mesafesi
Lev ≥ Le- min | ÇYTHYEDY 13.3.7 |
|
|
Lev | 35 mm | ||
Le- min | 32 mm | Tablo 13.9 gereği minimum uzaklık kontrolü | √ |
Gövdede Bulonlar arası mesafe
smin ≥ 3d | ÇYTHYEDY 13.3.6 |
|
|
s | 112.5 mm |
|
|
d | 32 mm | s =112.5 mm > smin = 3*24=72 mm | √ |
Gövdede Yatay Kenar Mesafesi
Leh ≥ Le- min | ÇYTHYEDY 13.3.7 |
|
|
Leh | 55 mm | Leh ≥ 2d=2*24=48 mm uygulama için uygunluk kontrolü | √ |
Le- min | 32 mm | Tablo 13.9 gereği minimum uzaklık kontrolü | √ |
Gövdede Düşey Kenar Mesafesi
Lev ≥ Le- min | ÇYTHYEDY 13.3.7 |
|
|
Lev | 50 mm | Leh ≥ 2d=2*24=48 mm uygulama için uygunluk kontrolü | √ |
Le- min | 32 mm | Tablo 13.9 gereği minimum uzaklık kontrolü | √ |
Dayanım Kontrolleri
Başlık Bulonunda Kayma
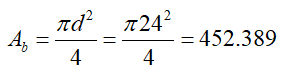
Ab | ![]() |
Fn | ![]() |
Rn | ![]() |
ΦRn | ![]() |
Gereken | Hazır | Oran | Kontrol |
|---|---|---|---|
315.683 kN | 732.87 kN | 0.431 | √ |
Başlık Levhası Bulon Deliğinde Ezilme
dh | 24+2=26 mm |
|
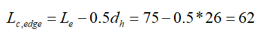
Lc,edge | ![]() |
|
Rn | ![]() | ÇYTHYEDY 13.3.13 Denklem 13.14a ve13.14b |
Rn-edge | ![]() |
|
Lc,spacing | ![]() |
|
Rn-spacing | ![]() |
|
Rn | ![]() |
|
ΦRn | ![]() |
|
Gereken | Hazır | Oran | Kontrol |
|---|---|---|---|
315.683 kN | 1371.558 kN | 0.230 | √ |
Kiriş Başlığı Bulon Deliğinde Ezilmeler
dh | 24+2=26 mm |
|
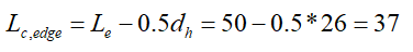
Lc,edge | ![]() |
|
Rn | ![]() | ÇYTHYEDY 13.3.13 Denklem 13.14a ve13.14b |
Rn-edge | ![]() |
|
Lc,spacing | ![]() |
|
Rn-spacing | ![]() |
|
Rn | ![]() |
|
ΦRn | ![]() |
|
Gereken | Hazır | Oran | Kontrol |
|---|---|---|---|
315.683 kN | 1234.402 kN | 0.256 | √ |
Başlık Levhası Çekme Akması
Ag | ![]() |
|
Fy | 235.359 N/mm2 |
|
Rn | ![]() | ÇYTHYEDY 13.15 |
ΦRn | ![]() |
Gereken | Hazır | Oran | Kontrol |
|---|---|---|---|
281.974 kN | 571.92 kN | 0.493 | √ |
Başlık Levhası Çekme Kırılması
An | ![]() |
|
Ae | ![]() |
|
Fu | 362.846 N/mm2 |
|
U | 1.00 |
|
Rn | ![]() | ÇYTHYEDY 13.16 |
ΦRn | ![]() |
|
Gereken | Hazır | Oran | Kontrol |
|---|---|---|---|
281.974 kN | 506.17 kN | 0.557 | √ |
Başlık Levhasında Blok Kayma
Ag | ![]() |
|
Anv | ![]() |
|
Ant | ![]() |
|
Fy | 235.359 N/mm2 |
|
Fu | 362.846 N/mm2 |
|
Ubs | 1 |
|
| ![]() |
|
Rn | ![]() | ÇYTHYEDY 13.19 |
ΦRn | ![]() |
|
Gereken | Hazır | Oran | Kontrol |
|---|---|---|---|
281.974 kN | 867.285 kN | 0.325 | √ |
Kiriş Başlığında Blok Kayma
Ag | ![]() |
|
Anv | ![]() |
|
Ant | ![]() |
|
Fy | 235.359 N/mm2 |
|
Fu | 362.846 N/mm2 |
|
Ubs | 1 |
|
| ![]() |
|
Rn | ![]() | ÇYTHYEDY 13.19 |
ΦRn | ![]() |
|
Gereken | Hazır | Oran | Kontrol |
|---|---|---|---|
281.974 kN | 780.55 kN | 0.361 | √ |
Başlık Levhası Basınç Akması
K | 0.65 |
|
L | 150 mm |
|
r | 4.33 mm |
|
KL/r | 22.52 |
|
Fy | 235.359 N/mm2 |
|
Ag | ![]() |
|
Rn | ![]() | ÇYTHYEDY 13.19 |
ΦRn | ![]() |
|
Gereken | Hazır | Oran | Kontrol |
|---|---|---|---|
315.683 kN | 571.92 kN | 0.552 | √ |
Gövde Bulonunda Kayma
Ab | ![]() |
Fn | ![]() |
Rn | ![]() |
ΦRn | ![]() |
Gereken | Hazır | Oran | Kontrol |
|---|---|---|---|
0.458 kN | 244.29 kN | 0.002 | √ |
Gövde Levhası Bulon Deliğinde Ezilme
dh | 24+2=26 mm |
|
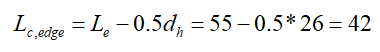
Lc,edge | ![]() |
|
Rn | ![]() | ÇYTHYEDY 13.3.13 Denklem 13.14a ve13.14b |
Rn-edge | ![]() |
|
Rn | ![]() |
|
ΦRn | ![]() |
|
Gereken | Hazır | Oran | Kontrol |
|---|---|---|---|
0.458 kN | 241.656 kN | 0.002 | √ |
Kiriş Gövdesi Bulon Deliğinde Ezilme
dh | 24+2=26 mm |
|
Lc,edge | ![]() |
|
Rn | ![]() | ÇYTHYEDY 13.3.13 Denklem 13.14a ve13.14b |
Rn-edge | ![]() |
|
Rn | ![]() |
|
ΦRn | ![]() |
|
Gereken | Hazır | Oran | Kontrol |
|---|---|---|---|
0.458 kN | 117.954 kN | 0.004 | √ |
Gövde Levha Akması
Ag | ![]() |
|
Fy | 235.359 N/mm2 |
|
Rn | ![]() | ÇYTHYEDY 13.17 |
ΦRn | ![]() |
|
Gereken | Hazır | Oran | Kontrol |
|---|---|---|---|
1.108 kN | 917.9 kN | 0.001 | √ |
Gövde Levhası Kayma Kırılması
Anv | ![]() |
|
Ae | ![]() | |
Fu | 362.846 N/mm2 |
|
Rn | ![]() | ÇYTHYEDY 13.17 |
ΦRn | ![]() |
|
Gereken | Hazır | Oran | Kontrol |
|---|---|---|---|
1.108 kN | 787.013 kN | 0.001 | √ |
Kiriş Kayma Kırılması
Anv | ![]() |
|
Ae | ![]() | |
Fu | 362.846 N/mm2 |
|
Rn | ![]() | ÇYTHYEDY 13.17 |
ΦRn | ![]() |
|
Gereken | Hazır | Oran | Kontrol |
|---|---|---|---|
1.108 kN | 443.732 kN | 0.002 | √ |
Gövde Levhasında Blok Kayma
Ag | ![]() |
|
Anv | ![]() |
|
Ant | ![]() |
|
Fy | 235.359 N/mm2 |
|
Fu | 362.846 N/mm2 |
|
Ubs | 1 |
|
| ![]() |
|
Rn | ![]() | ÇYTHYEDY 13.19 |
ΦRn | ![]() |
|
Gereken | Hazır | Oran | Kontrol |
|---|---|---|---|
1.108 kN | 805.664 kN | 0.001 | √ |
Sonraki Konu






























































