Çelik Kolon - Temel Birleşimi (Mafsallı/Ankastre Çelik Kolon Ayağı) Birleşim Tasarımı
Çelik Kolon Ayağı Birleşimi veya Kolon-Temel Birleşimi taban levhası çelik kolona kaynaklı ve betonarme temele (kolona) ankraj ile birleştirilerek oluşturulur. Çelik Kolon Ayağı Birleşimi tasarımı Çelik Yapıların Tasarım, Hesap ve Yapım Esasları (ÇYTHYEDY) (GKT ve YDKT) ve AISC 360-16 (ASD ve LRFD) yönetmeliklerine göre otomatik yapılır. Kolon ayağı birleşim hesabında Bulon, kaynak ve levha kontrolleri çelik birleşim tipine uygun şekilde geometri kontrolleri ve dayanım kontrolleri otomatik yapılır.
Çelik kolon ayağı birleşimi hesabında, geometri kontrolünde yatay ve düşey bulon mesafeleri ile bulonlar arası mesafe kontrolü yapılır. Dayanım kontrolünde taban levhası kalınlığı, ankraj çekme kırılması, ankraj çubuğu sıyrılma, ankraj çubuğu kesmesi, levha bulon deliği kontrolleri yapılır.


GEOMETRİ KONTROLLERİ
Bulonlar arası mesafe
smin ≥ 3d | ÇYTHYEDY 13.3.6 |
|
|
s | 180 mm |
|
|
d | 24 mm | s =180 mm > smin = 3*24=72 mm | √ |
Yatay Kenar Mesafesi
Leh ≥ Le- min | ÇYTHYEDY 13.3.7 |
|
|
Leh | 70 mm | Leh ≥ 2d=2*24=48 mm uygulama için uygunluk kontrolü | √ |
Le- min | 32 mm | Tablo 13.9 gereği minimum uzaklık kontrolü | √ |
Düşey Kenar Mesafesi
Lev ≥ Le- min | ÇYTHYEDY 13.3.7 |
|
|
Lev | 45 mm | ||
Le- min | 32 mm | Tablo 13.9 gereği minimum uzaklık kontrolü | √ |
Dayanım Kontrolleri
Taban Levhası Kalınlığı (Ezilme)
fc | 25000 kN/m2 | |
A1 | ![]() | |
A2 | ![]() | |
qmax | ![]() | |
fp(max) | ![]() | |
fp(max) | ![]() | |
e | ![]() | |
ecrit | ![]() | |
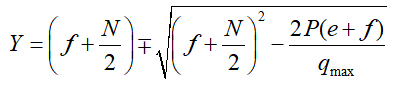
Y | ![]() | |
Y | ![]() | |
f | ![]() | |
le | 45 mm | |
l | ||
m | ![]() | |
n | ![]() | |
h | 650 mm | |
b | 300 mm | |
N | 900 mm | |
B | 500 mm | |
M | 365.17 kNm | |
P | 739.22 kN | |
Fy | 355 N/mm2 | |
treq | ![]() | AISC DG-1-2nd 3.3.15.a |
Gereken | Hazır | Oran | Kontrol |
|---|---|---|---|
41.11 mm | 42 mm | 0.979 | √ |
Taban Levhası Kalınlığı (Çekme)
fc | 25000 kN/m2 | |
A1 | ![]() | |
A2 | ![]() | |
qmax | ![]() | |
e | ![]() | |
ecrit | ![]() | |
T | ![]() | |
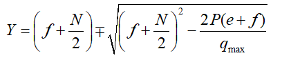
Y | ![]() | |
Y | ![]() | |
f | ![]() | |
x | ![]() | |
le | 45 mm | |
m | ![]() | |
h | 650 mm | |
N | 900 mm | |
B | 500 mm | |
M | 365.17 kNm | |
P | 739.22 kN | |
Fy | 355 N/mm2 | |
treq | ![]() | AISC DG-1-2nd 3.4.7a |
Gereken | Hazır | Oran | Kontrol |
|---|---|---|---|
15.312 mm | 42 mm | 0.365 | √ |
Ankraj Çekme Kırılması
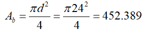
Ab | ![]() |
Fn | 750000 kN/m2 |
Rn | ![]() |
ΦRn | ![]() |
Gereken | Hazır | Oran | Kontrol |
|---|---|---|---|
32.429 kN | 254.469 kN | 0.127 | √ |
Ankraj Çubuğu Sıyrılma
Ψ | 1.0 | ACI 318M-08 D.5.3.6 |
Np | ![]() | ACI 318M-08 (D-15) |
Abgr | 7401.592 mm2 | |
fc | 25000 kN/m2 | |
Rn | ![]() | ACI 318M-08 (D-14) |
ΦRn | ![]() |
Gereken | Hazır | Oran | Kontrol |
|---|---|---|---|
32.429 kN | 1036.222 kN | 0.031 | √ |
Ankraj Çubuğu Kesmesi
Ab | ![]() |
Fn | ![]() |
Rn | ![]() |
ΦRn | ![]() |
Gereken | Hazır | Oran | Kontrol |
|---|---|---|---|
9.995 kN | 152.681 kN | 0.065 | √ |
Levha Bulon Deliğinde Ezilme
dh | 24+2=26 mm |
|
Lc,edge | ![]() |
|
Rn | ![]() | ÇYTHYEDY 13.3.13 Denklem 13.14a ve13.14b |
Rn-edge | ![]() |
|
Rn | ![]() |
|
ΦRn | ![]() |
|
Gereken | Hazır | Oran | Kontrol |
|---|---|---|---|
9.995 kN | 568.511 kN | 0.018 | √ |





























