Başlık Levhalı Kaynaklı Birleşim Tasarımı
Başlık Levhalı Kaynaklı Birleşim, kolon başlığına pam penetrasyonlu küt kaynaklı kaynaklı ve kiriş başlığına köşe kaynaklı birleştirilen başlık levhaları ile oluşturulur. Gövde levhası bulon kontrolü, kaynak kontrolü, levha kontrolü ve birleşim uygulama sınırları kontrolü birleşimin elemanlarının yerleşimine göre otomatik yapılır. Başlık Levhalı Kaynaklı Birleşim tasarımı Çelik Yapıların Tasarım, Hesap ve Yapım Esasları (ÇYTHYEDY) veya AISC 360-16 yönetmeliklerine göre otomatik yapılır ve birleşim raporu oluşturulur.
Başlık Levhalı Kaynaklı Birleşim hesabında, geometri kontrolünde başlık levhası ve kayma levhası kaynak kalınlığı, kayma levhası kolon başlığı kaynak kalınlığı, süreklilik levhası - kolon başlığı ve gövdesi kaynak kalınlığı kontrolü yapılır. Dayanım kontrolünde başlık levhası kaynak dayanımı, başlık levhası çekme kırılması, kiriş başlığında blok kayma, basınç levhası akması, kayma levhası kaynak dayanımı, kayma levhası kiriş gövde dayanımı, gövde levhası kayma kırılması, gövde levhası eğilme akması, kolon panel bölgesi kayması kontrolü yapılmaktadır.
Birleşim Geometrisi



Geometri Kontrolü
Başlık Levhası Kiriş Başlığı Kaynak Kalınlığı
a ≥ a min |
|
|
|
a | 6 mm |
| √ |
a min | 4 mm | Tablo 13.4 | √ |
Kayma Levhası Kiriş Gövdesi Kaynak Kalınlığı
a ≥ a min |
|
|
|
a | 6 mm |
| √ |
a min | 3.5 mm | Tablo 13.4 | √ |
Kayma Levhası Kolon Başlığı Kaynak Kalınlığı
a ≥ a min |
|
|
|
a | 6 mm |
| √ |
a min | 3.5 mm | Tablo 13.4 | √ |
Süreklilik Levhası - Kolon Başlığı Kaynak Kalınlığı
a ≥ a min |
|
|
|
a | 6 mm |
| √ |
a min | 4 mm | Tablo 13.4 | √ |
Süreklilik Levhası - Kolon Gövdesi Kaynak Kalınlığı
a ≥ a min |
|
|
|
a | 6 mm |
| √ |
a min | 4 mm | Tablo 13.4 | √ |
Dayanım Kontrolleri
Başlık Levhası Kiriş Başlığı Kaynak Dayanımı
Lwı | 520 mm | |
Lwt | 280 mm | |
Fe | 490 N/mm2 | |
Rnwl | ![]() | |
Rnwt | ![]() | |
Rnw | ![]() | |
w | 8.487 mm | |
Fu-plate | 410 N/mm2 | |
Fu flange | 410 N/mm2 | |
tp | 16 mm | |
tf | 18 mm | |
RnBM | ![]() | |
Rn | ![]() | |
ΦRn | ![]() |
Gereken | Hazır | Oran | Kontrol |
|---|---|---|---|
143.884 kN | 1140.426 kN | 0.126 | √ |
Başlık Levhası Çekme Akması
Ag | ![]() |
|
Fy | 275 N/mm2 |
|
Rn | ![]() | ÇYTHYEDY 13.15 |
ΦRn | ![]() |
|
Gereken | Hazır | Oran | Kontrol |
|---|---|---|---|
143.884 kN | 1108.8 kN | 0.130 | √ |
Başlık Levhası Çekme Kırılması
An | ![]() |
|
Ae | ![]() |
|
Fu | 410 N/mm2 |
|
U | 1.00 |
|
Rn | ![]() | ÇYTHYEDY 13.16 |
ΦRn | ![]() |
|
Gereken | Hazır | Oran | Kontrol |
|---|---|---|---|
143.884 kN | 1377.6 kN | 0.104 | √ |
Kiriş Başlığında Blok Kayma
Ag | ![]() |
|
Anv | ![]() |
|
Ant | ![]() |
|
Fy | 275 N/mm2 |
|
Fu | 410 N/mm2 |
|
Ubs | 1 |
|
| ![]() |
|
Rn | ![]() | ÇYTHYEDY 13.19 |
ΦRn | ![]() |
|
Gereken | Hazır | Oran | Kontrol |
|---|---|---|---|
143.884 kN | 1269 kN | 0.113 | √ |
Basınç Levhası Basınç Akması
K | 0.65 |
|
L | 20 mm |
|
r | 4.619 mm |
|
KL/r | 2.81 |
|
Fy | 275 N/mm2 |
|
Ag | ![]() |
|
Rn | ![]() | ÇYTHYEDY 13.20 (KL/r<25) |
ΦRn | ![]() |
|
Gereken | Hazır | Oran | Kontrol |
|---|---|---|---|
143.884 kN | 1108.8 kN | 0.130 | √ |
Kayma Levhası Kolon Başlığı Kaynak Dayanımı
w | 8.487 mm |
|
FE | 490 N/mm2 |
|
l | 260 mm |
|
e | 117.5 mm |
|
Rn | ![]() |
|
ΦRn | ![]() |
|
Gereken | Hazır | Oran | Kontrol |
|---|---|---|---|
15.529 kN | 374.02 kN | 0.042 | √ |
Kayma Levhası Kiriş Gövdesi Dayanımı
Fe | 490000 kN/m2 |
w | Birleşim menüsünden alınan kaynak kalınlığı 0.707*w değeridir. 6/0.707=8.487 mm |
Fu | 410 N/mm2 |
t | 10 mm |
Rnw | ![]() |
RnBM | ![]() |
Rn | ![]() |
ΦRn | ![]() |
Gereken | Hazır | Oran | Kontrol |
|---|---|---|---|
66.153 kN/m | 1323 kN/m | 0.042 | √ |
Gövde Levhası Kayma Akması
Ag | ![]() |
|
Fy | 275 N/mm2 |
|
Rn | ![]() | ÇYTHYEDY 13.17 |
ΦRn | ![]() |
|
Gereken | Hazır | Oran | Kontrol |
|---|---|---|---|
15.529 kN | 429 kN | 0.036 | √ |
Gövde Levhası Kayma Kırılması
Anv | ![]() |
|
Fu | 410 N/mm2 |
|
Rn | ![]() | ÇYTHYEDY 13.18 |
ΦRn | ![]() |
|
Gereken | Hazır | Oran | Kontrol |
|---|---|---|---|
15.529 kN | 376.38 kN | 0.041 | √ |
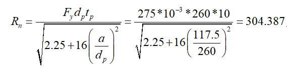
Gövde Levhası Eğilme Akması
dp | 260 mm |
|
Fy | 275 N/mm2 |
|
tp | 10 mm |
|
a | 117.5 mm |
|
Rn | ![]() |
|
ΦRn | ![]() |
|
Gereken | Hazır | Oran | Kontrol |
|---|---|---|---|
15.529 kN | 273.948 kN | 0.057 | √ |
Kolon Panel Bölgesi Kayması
Pr | 1621.397 kN | ÇYTHYEDY 13.29a |
Py | ![]() |
|
Fy | 275000 kN/m2 |
|
Ag | 28634.759 mm2 |
|
dc | 650 mm |
|
tw | 16 mm |
|
Rn | ![]() |
|
ΦRn | ![]() |
|
Gereken | Hazır | Oran | Kontrol |
|---|---|---|---|
103.141 kN | 1544.4 kN | 0.067 | √ |



































