Yatay Deprem Etkisi Altında Azaltılmış Tasarım İvme Spektrumu (4.4.1)
2.3.4 ve 4.2.1 ‘de belirlenen parametreler kullanılarak Azaltılmış Tasarım Spektral ivme, SaR(T) Denklem 4.8 ’e göre otomatik belirlenir.
SİMGELER
SDS = Kısa periyot tasarım spektral ivme katsayısı [boyutsuz]
SD1 = 1.0 saniye periyot için tasarım spektral ivme katsayısı [boyutsuz]
T = Doğal titreşim periyodu [s]
TA = Yatay elastik tasarım ivme spektrumu köşe periyodu [s]
TB = Yatay elastik tasarım ivme spektrumu köşe periyodu [s]
TL = Yatay elastik tasarım spektrumunda sabit yerdeğiştirme bölgesine geçiş periyodu [s]
Sae(T ) = Yatay elastik tasarım spektral ivmesi [g]
SaR(T ) = Azaltılmış tasarım spektral ivmesi [g]
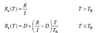
D = Dayanım Fazlalığı Katsayısı
I = Bina Önem Katsayısı
R = Taşıyıcı Sistem Davranış Katsayısı
Ra(T) = Öngörülen süneklik kapasitesi ve periyoda bağlı Deprem Yükü Azaltma Katsayısı
Yatay doğrultuda azaltılmış deprem yüklerinin belirlenmesi için kullanılan azaltılmış tasarım ivme spektrumunun belirli bir T doğal titreşim periyodu için ordinatı olan azaltılmış tasarım spektral ivmesi SaR (T), Sae (T)'nin, Yatay Elastik Tasarım Spektrumu , R(Ta)'ye Detaylı Açıklama (Ek 4A)Deprem Yükü Azaltma Katsayısına, bölünmesi ile elde edilir.

Analiz Ayarları Sihirbazı - Tasarım Spektrumları sekmesinde koordinatlara bağlı olarak AFAD’dan elde edilen spektral ivme katsayıları ile aşağıdaki formüle göre yatay elastik tasarım spektrumu Sae (T) hesaplanır. Yatay Elastik Tasarım Spektrumuiçin her bölgede farklı olmak üzere toplamda 4 fonksiyon ile temsil edilir ve aşağıdaki grafik ile gösterilir.

Taşıyıcı sistem tipine göre Tablo 4.1’den elde edilen R ve D katsayıları kullanılarak R(Ta) şu şekilde hesaplanır:

azaltılmış tasarım spektral ivmesi SaR (T) ise şu grafik ile temsil edilir:
