Şekildeğiştirme ve İç Kuvvet Sınırları (Yeni Bina)
SİMGELER
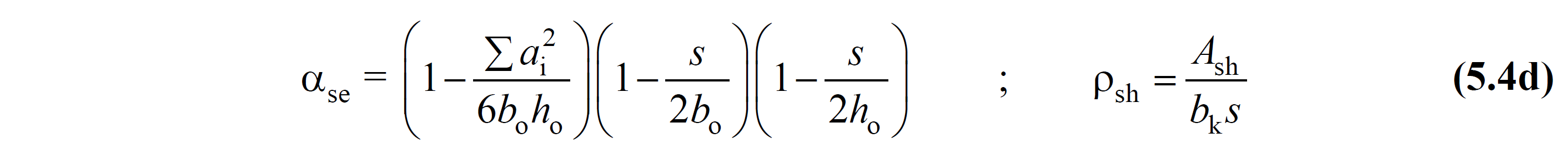
Ash = Enine donatı alanı (dikdörtgen kesit) [mm2]
Aos = Enine donatının alanı (dairesel kesit) [mm2]
ai = Yatayda bir etriye kolu tarafından mesnetlenen boyuna donatıların eksenleri arasındaki uzaklık [mm]
bo = Göbek betonunu sargılayan etriyelerin eksenleri arasında kalan kesit boyutu [mm]
bk = Çekirdek boyutu (en dıştaki enine donatı eksenleri arasındaki uzaklık) [mm]
D = Spiral/sargı donatısı eksenleri arasındaki uzaklık [mm] , [Denk.(5.4e)]
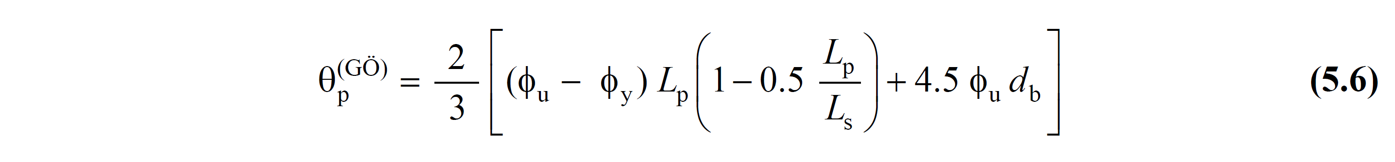
db = Boyuna donatı çapı (çekmede ortalama) [m]
fce = Betonun ortalama (beklenen) basınç dayanımı [MPa]
fck = Betonun karakteristik basınç dayanımı [MPa]
fywe = Enine donatının ortalama (beklenen) akma dayanımı [MPa]
ho = Göbek betonunu sargılayan etriyelerin eksenleri arasında kalan kesit boyutu [mm]
Lp = Plastik mafsal boyu [m]
Ls = Kesme açıklığı [m]
s = Sargı donatısı aralığı [m]
αse = Sargı donatısı etkinlik katsayısı
ϕy = Akma eğriliği [m-1]
ϕu = Göçme eğriliği [m-1]
ωwe = Etkin sargı donatısının mekanik donatı oranı
ρsh = Gözönüne alınan doğrultuda enine donatının hacimsel oranı
εc(GÖ) = Göçmenin Önlenmesi performans düzeyi için izin verilen sargılı beton birim kısalması sınırı
εc(KH) = Kontrollü Hasar performans düzeyi için izin verilen sargılı beton birim kısalması sınırı
εc(SH) = Sınırlı Hasar performans düzeyi için izin verilen sargılı beton birim kısalması sınırı
εs(GÖ) = Göçmenin Önlenmesi performans düzeyi için izin verilen donatı çeliği birim şekildeğiştirmesi sınırı
εs(KH) = Kontrollü Hasar performans düzeyi için izin verilen donatı çeliği birim şekildeğiştirmesi sınırı
εs(SH) = Sınırlı Hasar performans düzeyi için izin verilen donatı çeliği birim şekildeğiştirmesi sınırı
θp(KH) = Kontrollü Hasar performans düzeyi için izin verilen plastik dönme sınırı [rad]
θp(GÖ) = Göçmenin Önlenmesi performans düzeyi için izin verilen plastik dönme sınırı [rad]
θp(SH) = Sınırlı Hasar performans düzeyi için izin verilen plastik dönme sınırı [rad]
TBDY Bölüm 5.8. ŞEKİLDEĞİŞTİRMELERİN VE İÇ KUVVETLERİN DEĞERLENDİRİLMESİ
5.8.1. Yeni Betonarme Bina Elemanları İçin İzin Verilen Şekildeğiştirme ve İç Kuvvet Sınırları
5.8.1.1 – Göçmenin Önlenmesi (GÖ) Performans Düzeyi için yapılacak performans değerlendirmesinde kullanılmak üzere, Bölüm 13 ’te verilen Yüksek Binalar da dahil olmak üzere, yeni betonarme bina elemanlarında bu Bölüm’de verilen yayılı plastik davranış modeline göre hesaplanan beton ve donatı çeliği toplam birim şekildeğiştirmeleri εc(GÖ) ve εs(GÖ) için izin verilen sınırlar aşağıda (a) ve (b) ’de tanımlanmıştır:
(a) Göçmenin Önlenmesi performans düzeyi için beton birim kısalması:
Dikdörtgen kesitli kolon, kiriş ve perdelerde:

Dairesel kesitlerde:

Bu bağıntılardaki ilk terim sargısız betonun (kabuk betonu) birim kısalmasına karşı gelmektedir. ωwe etkin sargı donatısının mekanik donatı oranı ’nı göstermektedir:

Denk.(5.4c) ’de yer alan αse sargı donatısı etkinlik katsayısı ’nı, ρsh,min dikdörtgen kesitte iki yatay doğrultuda hacimsel enine donatı oranının küçük olanını, fywe enine donatının ortalama (beklenen) akma dayanımını göstermektedir:

Denk.(5.4d) ’de Ash ve ρsh gözönüne alınan doğrultuda enine donatının alanını ve hacimsel oranını, bk dik doğrultudaki çekirdek boyutunu (en dıştaki enine donatı eksenleri arasındaki uzaklık), s enine donatı aralığını, bo ve ho sargı donatısı eksenlerinden ölçülen sargılı beton boyutlarını, ai bir etriye kolu veya çiroz tarafından mesnetlenen boyuna donatıların eksenleri arasındaki uzaklığı göstermektedir. Dairesel sargı donatısının etkinlik katsayısı Denk.(5.4e) ’de verilmiştir:

Burada Aos spiral/sargı donatısının alanı, s enine donatı aralığı veya spiralin adımı, D ise spiral/sargı donatısı eksenleri arasındaki uzaklıktır. Dairesel etriye için n = 2 , spiral donatı için n =1 alınacaktır.
(b) Göçmenin Önlenmesi performans düzeyi için donatı çeliği birim şekildeğiştirmesi:

Burada εsu çekme dayanımına karşı gelen birim uzamayı göstermektedir (Bkz. TBDY EK 5.A).
5.8.1.2 – Göçmenin Önlenmesi (GÖ) Performans Düzeyi için yapılacak performans değerlendirmesinde kullanılmak üzere, Bölüm 13 ’te verilen Yüksek Binalar da dahil olmak üzere, yeni betonarme bina elemanlarında bu Bölüm ’de verilen yığılı plastik davranış modeline göre hesaplanan plastik dönmeler için izin verilen sınır, kesite etkiyen eksenel kuvvet ve EK 5A ’da verilen beton ve donatı çeliği modelleri dikkate alınarak yapılacak eğrilik analizi sonucunda Denk.(5.6) ile hesaplanacaktır.

Burada ϕu , 5.8.1.1 ’de verilen beton ve donatı çeliği birim şekildeğiştirmeleri ile EK 5A ’da verilen beton ve donatı çeliği modellerinden yararlanılarak ve kesite etkiyen eksenel kuvvet dikkate alınarak yapılan analizden elde edilen göçme öncesi toplam eğriliği ’ni göstermektedir. Denk.(5.6) ’daki son terim, akma sonrası (göçme öncesine kadar) durum için akma uzaması penetrasyonuna bağlı donatı sıyrılması dönmesi ’ne karşı gelmektedir.
5.8.1.3 – Kontrollü Hasar (KH) Performans Düzeyi için yapılacak performans değerlendirmesinde kullanılmak üzere, yeni betonarme bina elemanlarında bu Bölüm ’de verilen hesap yöntemleri ile hesaplanan beton ve donatı çeliği için izin verilen toplam birim şekildeğiştirmeler εc(KH) ve εs(KH) ile plastik dönme θp(KH) sınırları, Göçmenin Önlenmesi performans düzeyi için 5.8.1.1 ve 5.8.1.2 ’de tanımlanan değerlere bağlı olarak Denk (5.7) ’de tanımlanmıştır:

5.8.1.4 – Sınırlı Hasar (SH) Performans Düzeyi için yapılacak performans değerlendirmesinde kullanılmak üzere, yeni betonarme bina elemanlarında bu Bölüm ’de verilen hesap yöntemleri ile hesaplanan beton ve donatı çeliği izin verilen toplam birim şekildeğiştirmeler εc(SH) ve εs(SH) Denk.(5.8a) ’da tanımlanmıştır:

5.4.5.2 ’de tanımlanan etkin kesit rijitlikleri kullanılarak yapılan hesapta SH performans düzeyi için taşıyıcı sistemde plastik mafsal oluşumuna izin verilmeyecektir:

5.8.1.5 – Yeni betonarme bina elemanları için bu Bölüm’de verilen hesap yöntemleri ile Göçmenin Önlenmesi performans durumu için hesaplanan iç kuvvet taleplerinin, ilgili elemanlar için Bölüm 7 ’de tanımlanan iç kuvvet kapasitelerinden daha küçük olduğu gösterilecektir. Ancak, iç kuvvet kapasitelerinin hesabında karakteristik malzeme dayanımları yerine Tablo 5.1 ’de verilen ortalama (beklenen) malzeme dayanımları esas alınacaktır. Betonarme yüksek binalar için ilgili kurallar Bölüm 13 ’te verilmiştir.
5.8.1.6 – Mevcut bina elemanlarının değerlendirilmesinde izin verilen birim şekildeğiştirme ve iç kuvvet sınırları Bölüm 15 ’te tanımlanmıştır.