Zımbalama Kontrolü Raporu
Zımbalama Kontrolü, TBDY 7.11.8, TBDY 7.11.9, TBDY 7.11.10, TBDY 7.11.11, TBDY 7.11.12, TBDY 7.11.13 maddelerine uygun olarak kontrol edilmektedir. Aşağıdaki resimde ideCAD Statik ile yapılmış döşeme zımbalama kontrolü raporunun bir örneği bulunmaktadır.

Zımbalama kontrolü TBDY 7.11.8 'de belirtildiği üzere, döşemedeki kayma gerilmelerinin yükleme doğrultusunda zımbalama çevresinin geometrik merkezine göre doğrusal olarak değiştiği kabulü ile döşemeye zımbalama çevresi (up) boyunca etki eden kayma gerilmelerinin idealleştirilmiş dağılımı hesaplanarak yapılacaktır.
τpd,1 , τpd,2 : Tasarıma esas zımbalama gerilmelerini ifade etmektedir. Eksenel kuvvet ve eğilme momentlerinin etkisi dikkate alınarak döşeme oluşan en büyük ve en küçük zımbalama gerilmeleridir ve aşağıda gösterilen denklemler ile hesaplanmaktadır.

Zımbalama gerilmelerinin ( τpd,1 , τpd,2 ), betonun tasarım çekme dayanımı (fctd) değerini aşmaması gerekmektedir. τpd,1 , τpd,2 ≤ fctd
fctd : Betonun tasarım çekme dayanımı
Vd : Zımbalama hesabına esas tasarım kesme kuvveti değeridir. Kolon veya perdelerde, döşeme seviyesinin üstündeki ve altındaki bölgelerde oluşan düşey yükler ve deprem yüklerinin ortak etkisi altında hesaplanan eksenel basınç kuvvetlerinin farkı olarak hesaplanmaktadır.
Md(maj) , Md(min) : Kolonun kuvvetli ve zayıf ekseninde, düşey yükler ve deprem yüklerinin ortak etkisi altında hesaplanan ve döşeme zımbalama hesabına esas tasarım momentidir. Zımbalama gerilmeleri (τpd,1 ve τpd,2) hesaplanırken, düşey yükler ve Dayanım Fazlalığı Katsayısı D dikkate alınarak hesaplanan deprem yüklerinin ortak etkisi altında ortaya çıkan eğilme momenti değerleri ( Md(maj) , Md(min) ) kullanılmaktadır.
Az : Zımbalama alanı. Zımbalama çevresinin döşeme faydalı yüksekliği, d, ile çarpılması ile elde edilmektedir.
Az = up x d
d: Döşeme faydalı yüksekliğini ifade eder. Döşeme kalınlığından döşemenin paspayının çıkartılması ile elde edilen değerdir.
Zımbalama çevresi (up), kolon veya perde yüzeyinden d/2 mesafede hesaplanan çevredir. Zımbalama çevresi hesaplanırken döşeme boşlukları, köşe veya kenar kolon-perde , poligon kolon durumlarının tamamı dikkate alınmaktadır.

Perde veya grup perdelerde zımbalama çevresi (up), TS500 Bölüm 8.3.1 'e uygun olarak perde uç bölgesinde hesaplanmaktadır. Perde uç bölgesindeki zımbalama çevresi dış yüzeyinden d/2 mesafede ve perdenin ucundan a1 mesafesi kadar bir uzunlukta aşağıdaki şekilde gösterildiği gibi hesaplanmaktadır. a1 mesafesi perde veya perde kolonun uzunluğunun (h) yarısı ve perde kalınlığının (b) üç katı değerleri karşılaştırılarak küçük olan değer dikkate alınmaktadır.

Poligon kolonlarda zımbalama çevresi (up), TS500 Bölüm 8.3.1 'e uygun olarak kolon yüzeyinden ve köşelerinden d/2 mesafede teğetler çizilerek içbükeyliğin giderilmesi ile uygun geometrik şekil oluşturularak aşağıdaki örnek resimde gösterildiği gibi dikkate alınmaktadır.

TS500 Bölüm 8.3.1 'de birden fazla kritik kesit söz konusu ise her bir kesit için ayrı ayrı zımbalama hesabının yapılması gerektiği belirtilmiştir. Bu sebeple kolon ucuna döşeme başlığı tanımlandığında söz konusu kolon için iki ayrı zımbalama çevresi bulunur ve iki ayrı zımbalama hesabı yapılmaktadır. Birinci durumda kolon kenarlarından d/2 mesafede hesaplanan zımbalama çevresine göre zımbalama dayanımı kontrolü yapılır. Ancak burada döşeme faydalı yüksekliği (d), döşeme kalınlığı ve başlık kalınlığının toplamından paspayının çıkartılması ile elde edilir. İkinci durumda başlık kenarından d/2 mesafede hesaplanan zımbalama dayanımı kontrolü yapılır. Bu adımda döşeme faydalı yüksekliği (d) döşeme kalınlığından paspayının çıkartılması ile elde edilir. Her bir durumda oluşan kritik kesit elde edildikten sonra bu kesitler ayrı ayrı değerlendirilip zımbalama hesabı yapılmaktadır.

γ : Zımbalama hesabında eğilme etkisini yansıtan katsayısıdır. TBDY Bölüm 7.11.9 'a göre göz önüne alınan deprem doğrultusunda kolondan aktarılan toplam eğilme momentinin γ katsayısı ile çarpılmasından elde edilen değer eğilme donatısı ile γv (γv=1-γ ) katsayısı ile çarpılmasından elde edilen değerin zımbalama gerilmeleri ile aktarıldığı kabul edilmektedir. γ katsayısı TBDY Denklem 7.28 'de gösterildiği gibi hesaplanmaktadır.
Bu durumda zımbalama gerilmeleri (τpd,1 , τpd,2) hesaplanırken Dayanım Fazlalığı Katsayısı D dikkate alınarak hesaplanmış eğilme momenti değerleri ( DMd(maj) , DMd(min) ) ile (γv=1-γ) katsayısı ile çarpılmaktadır.
c(maj) , c(min) : Dikkate alınan moment yönünde zımbalama alanının kuvvetli ve zayıf eksen yönündeki ağırlık merkezi değerleridir.
c'(maj) , c'(min) : Dikkate alınan momentin ters zımbalama alanının kuvvetli ve zayıf eksen yönündeki ağırlık merkezi değerleridir.
J(maj) , J(min) : Zımbalama alanını (Az) oluşturan yüzeylerin kuvvetli ve zayıf ekseninde polar atalet ve ikinci momentlerinin toplamıdır. J değeri kuvvetli eksen ve zayıf eksende ayrı ayrı dikkate alınarak hesaplanmadır. c(maj) , c(min) , c'(maj) , c'(min) değerleri bu atalet momentlerinin hesabında dikkate alınan eksenlerin uzaklıklarını ifade eder.
Örnek bir dikdörtgen kolonda tek bir yön için J değerlerinin hesabı aşağıdaki gibi yapılmaktadır. J değeri hem kuvvetli eksende hem de zayıf ekseninde ayrı ayrı hesaplanmaktadır.

J1 : Yukarıdaki şekilde eksene dik olan zımbalama alanının (kırmızı taralı alan) eksene göre polar atalet momentini göstermektedir.
J2 : Yukarıdaki şekilde eksene paralel olan zımbalama alanının (mavi taralı alan) eksene göre ikinci (atalet) momentini göstermektedir.
Zımbalama Donatısı Kullanımı
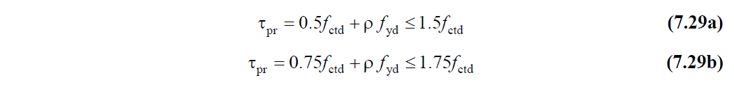
TBDY Madde 7.11.10 'a göre τpd ≤ fctd koşulunun sağlanmadığı ve plak kalınlığının 250 mm 'den büyük olduğu durumlarda zımbalama dayanımı zımbalama donatısı kullanarak arttırabilir.
Zımbalama donatısı olarak düzgün yayılı yerleştirilmiş çiroz veya sehpa donatıları kullanıldığında donatı plağının zımbalama dayanımı TBDY Denklem 7.29a 'da belirtilen denklem göz önüne alınarak en fazla 1.5fctd olmaktadır.
Zımbalama donatısı olarak kayma kaması kullanıldığında donatı plağın zımbalama dayanımı TBDY Denklem 7.29b 'de belirtilen denklem göz önüne alınarak en fazla 1.75fctd olmaktadır.

ρ : Birim alanda bulunan zımbalama donatısının kesit alanı
fyd : Zımbalama donatısının tasarım akma dayanımı
Zımbalama donatısı olarak birbirine dik iki doğrultuda kapalı etriye şeritleri kullanıldığı durumlarda TBDY Denklem 7.30a 'ya göre zımbalama dayanımı en fazla 1.5fctd olmaktadır.
Zımbalama donatısı olarak dik iki doğrultuda kayma kaması rayları kullanıldığı durumlarda TBDY Denklem 7.30b 'ye göre zımbalama dayanımı en fazla 1.75fctd olmaktadır.

Awp : Zımbalama çevresi üzerinde bulunan düşey zımbalama donatılarının toplam kesit alanı.
Zımbalama donatısı kullanarak zımbalama dayanımı, yukarıda belirtildiği üzere en fazla 1.5fctd veya 1.75fctd değerine yükseltilebilmektedir.
Sonraki Konu