Mesnet Çökmesi Yüklemesi
Mesnet çökmesi yüklemeai yapılarak, üç adet çubuktan oluşan bir sistemin 3 farklı mesnet çökmesi durumuna göre mesnet momenti ve mesnet tepkileri incelenerek ideCAD Statik sonuçları ile karşılaştırılmıştır.
Önemli Not: Bu sistem çözümünde elle çözüm kolaylığı açısından uzama ve kayma deformasyonlarının etkileri ihmal edilmiştir. Uzama şekildeğiştirmelerini ihmal etmek için kesit alanı 10000 ile çarpılmış, kayma şekildeğiştirmelerini ihmal etmek için kayma alanları sıfır “0” olarak tanımlanmıştır.
Yükleme Durumu | Kontrol edilen iç kuvvet | ideCAD Statik | Elle yapılan çözüm | Hata yüzdesi |
|---|---|---|---|---|
| N (kip) | -6.293 | -6.293 | %0 |
M (kip-in) | 906.250 | 906.250 | %0 | |
| N (kip) | -1.115 | -1.115 | %0 |
M (kip-in) | 160.492 | 160.492 | %0 | |
| N (kip) | 18.125 | 18.125 | %0 |
M (kip-in) | -2610 | -2610 | %0 |
Geometrik Özellikler ve Sistem Tanımı

Yukarıdaki resimde üç adet çubuk elemandan oluşan bir sistem verilmiştir. Bütün çubukların uzunlukları 144 in olarak tanımlanmıştır. 4 adet düğüm noktasından 1 numaralı düğüm nokta ankastre mesnet olarak, 2 ve 3 numaralı düğüm noktaları serbest olarak tanımlanmıştır. 4 numaralı düğüm noktası için üç adet durum için farklı mesnet koşulları oluşturulacaktır.
Çubuk eleman olarak bir kenarı 12 inch olan kare kesit kullanılmıştır.
Kare kesitin alanı A=12*12=144 in2 ve
atalet momenti I = (1/12)*(12*123) = 1728 in4
olarak hesaplanır.
Kullanılan malzemenin elastisite modülü E = 29000 k/in2 gözönüne alınmıştır.
Yükleme Durumları
Yukarıdaki sisteme, aşağıda belirtilen 3 adet yükleme durumu tanımlanmıştır. Bu yükleme durumları Durum1, Durum2 ve Durum3 olarak isimlendirilmiştir. Mesnet çökmelerinden kaynaklanan iç kuvvet ve mesnet tepkilerini bulmak için Virtüel İş Yöntemi kullanılmıştır.

Yükleme durumları tanımlanmış dosyalara aşağıdan ulaşabilirsiniz.
Durum_1_mesnet_çökmesi.rar Durum_2_mesnet_çökmesi.rar Durum_3_mesnet_çökmesi.rar
Durum 1
“Durum 1” yüklemesi için 4 numaralı düğüm noktasında kayıcı mesnet tanımlanmış ve Z ekseninin ters yönünde 0.5 in lik bir mesnet çökmesi tanımlanmıştır ( UZ = -0.5'' ). Sistemde herhangi bir dış yük bulunmamaktadır. Durum 1 için, 1 numaralı düğüm noktasında bulunan mesnet tepkileri ve moment diyagramı el çözümü ile karşılaştırılacaktır.

Mesnet çökmelerinden kaynaklanan iç kuvvet ve mesnet tepkilerini bulmak için Virtüel İş Yöntemi kullanılmıştır. Virtüel iş yönteminde birim yükleme yapılan moment diyagramı, M' ile sistemin normal yüklemesinden ötürü oluşan moment diyagramı, M kullanılarak aşağıda verilen integral ile bulunabilir. Virtüel iş yönteminde aşağıdaki integral tüm çubuklar için ayrı ayrı alınmalı ve moment yönü dikkate alınarak işareti belirlenmelidir.

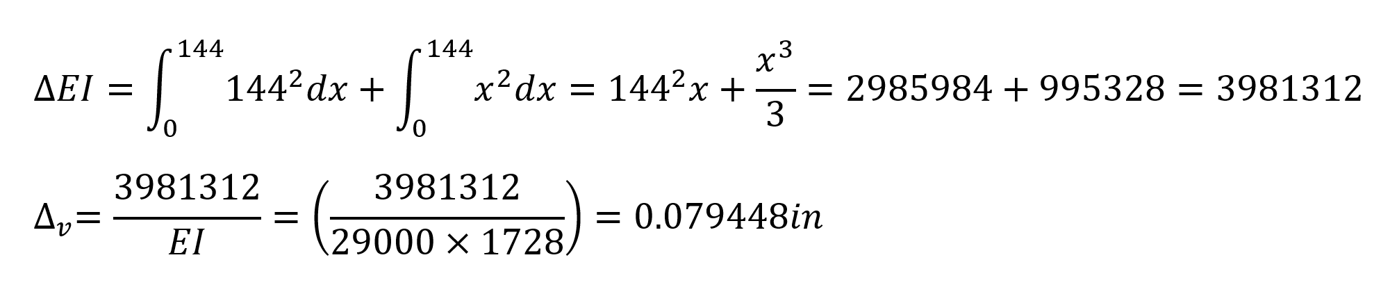
Burada ilk adım olarak 4 numaralı düğüm noktasında bulunan hareketli mesnetin Z yönündeki hareketi kaldırılarak UZ yönünde 1 birimlik kuvvet uygulanmış ve M' moment diyagramı ile bu moment diyagramının x 'e bağlı fonksiyonu aşağıdaki gibi hesaplanmıştır.

Yukarıda bulunan M' moment diyagramı birim yüklemeden dolayı oluşan moment diyagramıdır. Bunun yanında M moment diyagramını bulmak için dış yüklemeden oluşan moment diyagramının fonksiyonu hesaplanmalıdır. Ancak burada yükleme durumu dış yük değil mesnet çökmesi olduğundan birim yükleme ile aynı moment diyagramını oluşturacaktır. Burada 4 numaralı düğüm noktasının mesnet tepkisini de birim yük olarak kabul edip sistemin yapacağı şekil değiştirme bulunur. Diğer bir deyişle bir birim yüklemeden kaynaklanan şekildeğiştirme hesaplanır. Daha sonra bulunan bu şekildeğiştirme değerini 0.5 in yani mesnet çökmesi değeri yapacak katsayı bulunur. Bu katsayı ile birim yüklemeden bulunan moment diyagramı ve mesnet tepkilerini çarpıldığında mesnet çökmesinden kaynaklanan moment diyagramı ve mesnet tepkileri bulunmuş olur.
Bu koşullar altında 4 düğüm noktasında 1 birim kuvvet uygulandığında oluşacak şekil değiştirme aşağıdaki gibi hesaplanır.

Bu denklemde Δ birim yükleme yapılan noktada ve yöndeki deformasyonu ifade eder. Bu durumda 4 numaralı düğüm noktasına 1 birim yükleme yapıldığında elde edilen şekildeğiştirme Δ = 0.079448 in olarak hesaplanır. 4 numaralı düğüm noktasının 0.5 in 'lik mesnet çökmesi için gereken kuvvet;

olarak bulunur. Bu koşullar altında mesnet tepkileri ve moment diyagramı aşağıdaki gibi çizilebilir.
Moment değeri 144*6.293403 = 906.2500 kip-in olarak hesaplanır.

M=906.25 kip-in ve mesnet tepkisi N=6.923 kip çıkmıştır. ideCAD Statik ile bu sonuç birebir aynıdır.

Durum 2
“Durum 2” yüklemesi için 4 numaralı düğüm noktasında kayıcı mesnet tanımlanmış ve Z ekseninin ters yönünde 0.2 in lik bir mesnet çökmesi tanımlanmıştır ( UZ = -0.2'' ). 3-4 düğüm noktaları arasında bulunan elemanın 4 düğüm noktasında bulunan ucuna k=10 kip/in rijitliğinde bir yay tanımlanmıştır. Sistemde herhangi bir dış yük bulunmamaktadır. Durum 2 için, 1 numaralı düğüm noktasında bulunan mesnet tepkileri ve moment diyagramı el çözümü ile karşılaştırılacaktır.

Mesnet çökmelerinden kaynaklanan iç kuvvet ve mesnet tepkilerini bulmak için Virtüel İş Yöntemi kullanılmıştır. Virtüel iş yönteminde birim yükleme yapılan moment diyagramı, M' ile sistemin normal yüklemesinden ötürü oluşan moment diyagramı, M kullanılarak aşağıda verilen integral ile bulunabilir. Virtüel iş yönteminde aşağıdaki integral tüm çubuklar için ayrı ayrı alınmalı ve moment yönü dikkate alınarak işareti belirlenmelidir.

Burada ilk adım olarak 4 numaralı düğüm noktasında bulunan hareketli mesnetin Z yönündeki hareketi kaldırılarak UZ yönünde 1 birimlik kuvvet uygulanmış ve M' moment diyagramı ile bu moment diyagramının x 'e bağlı fonksiyonu aşağıdaki gibi hesaplanmıştır.

4 düğüm noktasına k=10 kip/in rijitliğinde bir yay eklenmiş olması Durum 1 ile yapılan mesnet çökmesine ek olarak bir yerdeğiştirme değeri daha hesaplanması sonucunu çıkartır. Bu durumda bu noktada hesaplanan yerdeğiştirme değeri için Δv ve Δy olmak üzere iki farklı terim yazılabilir.
Δv , 4 numaralı düğüm noktasındaki mesnetin ve yayın kaldırılması sonucu birim yüklemeden kaynaklanan yerdeğiştirme değeri. Virtüel İş Yöntemi kullanılarak Δv değeri Durum 1 de hesaplandığı gibi hesaplanabilir.

Δy değeri 4 numaralı düğüm noktasına birim yüklemeden ötürü oluşan ve k=10 kip/in rijitliğindeki yayın uzama değeridir. 1 birim yükleme için uzaman değeri;

olacaktır. Bu durumda 4 numaralı düğüm noktasının birim yüklemeden kaynaklanan uzama değeri;

olarak bulunur. Bu durumda 4 numaralı düğüm noktasına 1 birim yükleme yapıldığında elde edilen şekildeğiştirme Δ = 0.179448 in olarak hesaplanır. 4 numaralı düğüm noktasının 0.2 in 'lik mesnet çökmesi için gereken kuvvet;

olarak bulunur. Bu koşullar altında mesnet tepkileri ve moment diyagramı aşağıdaki gibi çizilebilir.
Moment değeri 144*1.114529 = 160.492 kip-in olarak hesaplanır.

M=160.492 kip-in ve mesnet tepkisi N=1.115 kip çıkmıştır. ideCAD Statik ile bu sonuç birebir aynıdır.

Durum 3
“Durum 3” yüklemesi için 4 numaralı düğüm noktasında kayıcı mesnet tanımlanmıştır. 1 numaralı düğüm noktasında Y ekseni etrafında 0.01 rad dönme değerinde bir mesnet çökmesi tanımlanmıştır (RY = 0.01 rad). Sistemde herhangi bir dış yük bulunmamaktadır. Durum 3 için, 1 numaralı düğüm noktasında bulunan mesnet tepkileri ve moment diyagramı el çözümü ile karşılaştırılacaktır.

Mesnet çökmelerinden kaynaklanan iç kuvvet ve mesnet tepkilerini bulmak için Virtüel İş Yöntemi kullanılmıştır. Virtüel iş yönteminde birim yükleme yapılan moment diyagramı, M' ile sistemin normal yüklemesinden ötürü oluşan moment diyagramı, M kullanılarak aşağıda verilen integral ile bulunabilir. Virtüel iş yönteminde aşağıdaki integral tüm çubuklar için ayrı ayrı alınmalı ve moment yönü dikkate alınarak işareti belirlenmelidir.

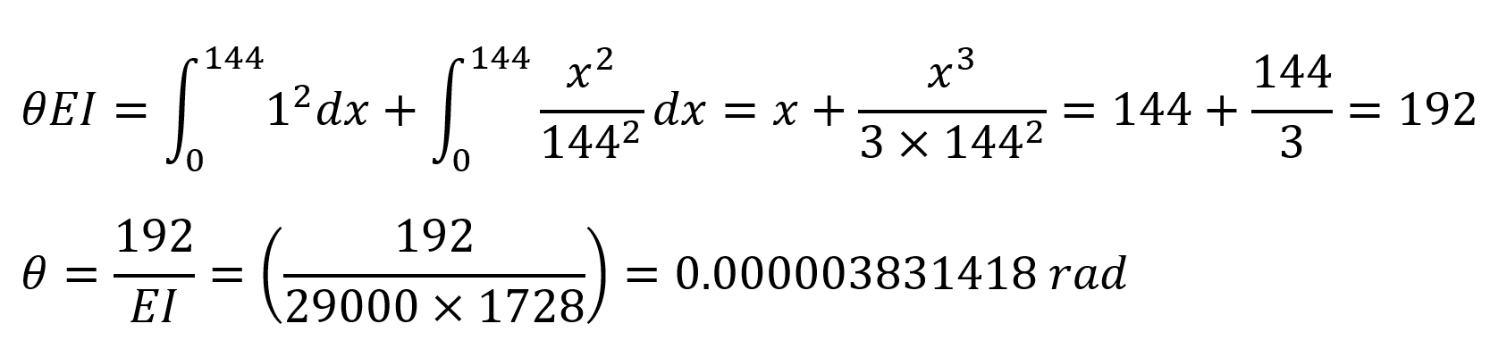
Burada ilk adım olarak 1 numaralı düğüm noktasında bulunan ankastre mesnetin Y ekseni etrafında dönme rijitliği kaldırılarak RY yönünde 1 birim moment uygulanmış ve M' moment diyagramı ile bu moment diyagramının x 'e bağlı fonksiyonu aşağıdaki gibi hesaplanmıştır.

Yukarıda bulunan M' moment diyagramı birim yüklemeden dolayı oluşan moment diyagramıdır. Bunun yanında M moment diyagramını bulmak için dış yüklemeden oluşan moment diyagramının fonksiyonu hesaplanmalıdır. Ancak burada yükleme durumu dış yük değil mesnet çökmesi olduğundan birim yükleme ile aynı moment diyagramını oluşturacaktır. Burada 1 numaralı düğüm noktasının mesnet tepkisini de birim yük olarak kabul edip sistemin yapacağı şekil değiştirme bulunur. Diğer bir deyişle bir birim yüklemeden kaynaklanan şekildeğiştirme hesaplanır. Daha sonra bulunan bu şekildeğiştirme değerini, 0.01 rad yani mesnet çökmesi değeri yapacak katsayı bulunur. Bu katsayı ile birim yüklemeden bulunan moment diyagramı ve mesnet tepkilerini çarpıldığında mesnet çökmesinden kaynaklanan moment diyagramı ve mesnet tepkileri bulunmuş olur.
Bu koşullar altında 1 düğüm noktasında 1 birim moment uygulandığında oluşacak şekil değiştirme aşağıdaki gibi hesaplanır.

Bu denklemde θ birim yükleme yapılan noktada ve yöndeki deformasyonu ifade eder. Bu durumda “ numaralı düğüm noktasına 1 birim moment yüklemesi yapıldığında elde edilen şekildeğiştirme θ = 0.000003831418 rad olarak hesaplanır. 1 numaralı düğüm noktasının 0.01 rad 'lık mesnet çökmesi için gereken moment;

olarak bulunur. Bu koşullar altında mesnet tepkileri ve moment diyagramı aşağıdaki gibi çizilebilir.
Normal kuvvet değeri (1/144)*2610 = 18.125 kip olarak hesaplanır.

M=2610 kip-in ve mesnet tepkisi N=18.125 kip çıkmıştır. ideCAD Statik ile bu sonuç birebir aynıdır.

Sonraki Konu