İzostatik 2D Çerçeve
Üç adet çubuktan oluşan bir sistemin 7 farklı yükleme durumuna göre moment diyagramı ve mesnet deformasyonları incelenerek ideCAD Statik sonuçları ile karşılaşılaştırılmıştır.
Önemli Not: Bu sistem çözümünde elle çözüm kolaylığı açısından uzama ve kayma deformasyonlarının etkileri ihmal edilmiştir. Uzama şekildeğiştirmelerini ihmal etmek için kesit alanı 1000 ile çarpılmış, kayma şekildeğiştirmelerini ihmal etmek için kayma alanları sıfır “0” olarak tanımlanmıştır.
Yükleme Durumu | Düğüm yönü ve numarası | ideCAD Statik | Elle yapılan çözüm | Hata yüzdesi |
|---|---|---|---|---|
Durum 1 | UZ (D.N. 4) (in) | -0.02639 | -0.02639 | %0 |
Durum 2 | UZ (D.N. 4) (in) | 0.06296 | 0.06296 | %0 |
Durum 3 | UZ (D.N. 4) (in) | 0.06296 | 0.06296 | %0 |
Durum 4 | UZ (D.N. 4) (in) | -0.29630 | -0.29630 | %0 |
Durum 5 | UX (D.N. 2) (in) | 0.31250 | 0.31250 | %0 |
Durum 6 | UX (D.N. 2) (in) | 0.11556 | 0.11556 | %0 |
Durum 7 | UX (D.N. 2) (in) | 0.00651 | 0.00651 | %0 |
Geometrik Özellikler ve Sistem Tanımı

Yukarıdaki resimde üç adet çubuk elemandan oluşan izostatik bir sistem verilmiştir. Yatay uzaklıklar sırasıyla 4 ft ve 8 ft , düşey uzaklıklar da sırasıyle 10 ft ve 6 ft olarak belirlenmiştir. 1 numaralı düğüm noktası sabit mesnet, 4 numaralı düğüm noktasında Z ekseni yönünde hareket edebilen hareketli mesnet teşkil edilmiştir.
Çubuk eleman olarak bir kenarı 12 inch olan kare kesit kullanılmıştır.
Kare kesitin alanı A=12*12=144 in2 ve
atalet momenti I = (1/12)*(12*123) = 1728 in4
olarak hesaplanır. Kullanılan malzemenin elastisite modülü E = 3600 k/in2 ve birim hacim ağırlığı 0.15 k/ft3 olarak gözönüne alınmıştır.
Yükleme durumları
Yukarıdaki sisteme, aşağıda belirtilen 7 adet yükleme durumu tanımlanmıştır. Bu yükleme durumlarından Durum1, Durum2, Durum3 ve Durum4 'te 4 numaralı düğüm noktasının Z eksenindeki deformasyonu, Durum5, Durum6 ve Durum7 'de 2 numaralı düğüm noktasının X eksenindeki deformasyonu hesaplamıştır. 2 ve 4 numaralı düğüm noktalarının deformasyonlarını bulmak için Virtüel İş Yöntemi kullanılmıştır.


Yükleme durumlarının tamamı tanımlanmış dosyaya aşağıdan ulaşabilirsiniz.
izostatik 2D çerçeve genel yüklemeler.rar
Durum 1
4 numaralı düğüm noktasının Z eksenindeki deformasyonun bulunabilmesi için sisteme yalnızca 4 düğüm noktasından Z yönünde birim kuvvet uygulanır ve eğilme momenti diyagramı çizilir.
Aşağıdaki resimde Durum1 yüklemesi görülmektedir. Bu sistemde 4 numaralı düğüm noktasına Z yönünde 1 birim yükleme yapılmıştır. Bu birim yükleme durumunda oluşan mesnet tepkileri ve moment diyagramı gösterilmiştir.

Sisteme birim yükleme yapıldıktan sonra, sistemde var olan dış yüklerin oluşturduğu mesnet tepkileri ve moment diyagramı aşağıda verilmiştir.

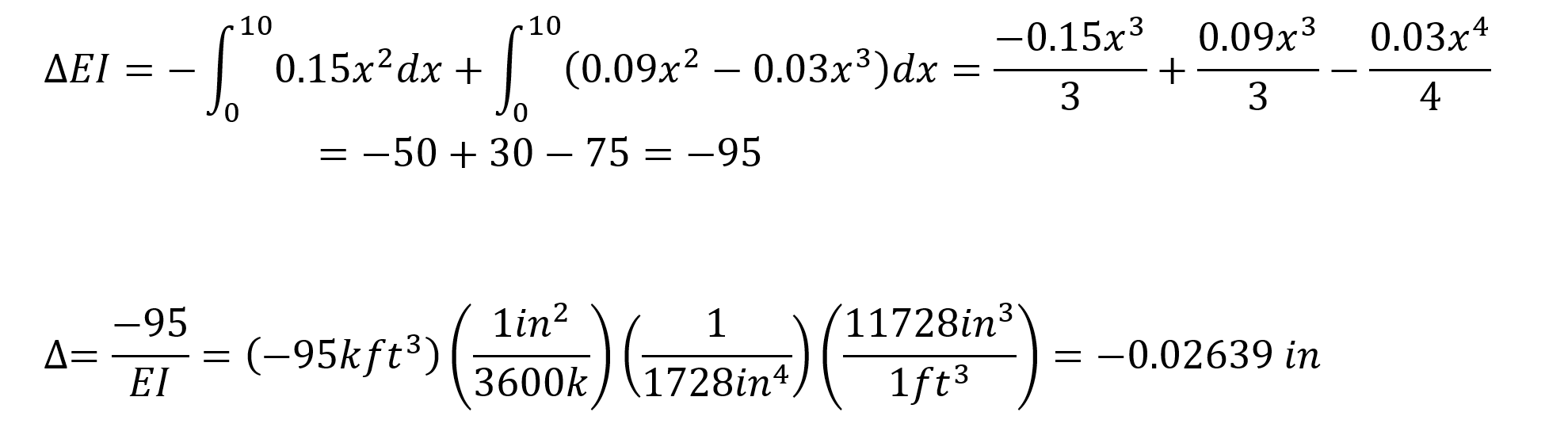
Virtüel iş yönteminde birim yükleme yapılan moment diyagramı, M' ile sistemin normal yüklemesinden ötürü oluşan moment diyagramı, M kullanılarak aşağıda verilen integral ile bulunabilir. Virtüel iş yönteminde aşağıdaki integral tüm çubuklar için ayrı ayrı alınmalı ve moment yönü dikkate alınarak işareti belirlenmelidir.

Bu durumda birim yüklemeden ve dış yüklerden oluşan moment diyagramlarının fonksiyonları bilindiğine göre aşağıdaki integral yazılabilir. Aşağıdaki integralin ilk teriminde 1-2 düğüm noktaları arasındaki çubuk için, ikinci teriminde 2-4 düğüm noktaları arasındaki çubuk için işlem yapılmıştır.

Bu denklemde Δ birim yükleme yapılan noktada ve yöndeki deformasyonu ifade eder.
Δ=-0.02639 in çıkmıştır. ideCAD Statik ile bu sonuç birebir aynıdır.


Durum 2
4 numaralı düğüm noktasının Z eksenindeki deformasyonun bulunabilmesi için sisteme yalnızca 4 düğüm noktasından Z yönünde birim kuvvet uygulanır ve eğilme momenti diyagramı çizilir.
Aşağıdaki resimde Durum2 yüklemesi görülmektedir. Bu sistemde 4 numaralı düğüm noktasına Z yönünde 1 birim yükleme yapılmıştır. Bu birim yükleme durumunda oluşan mesnet tepkileri ve moment diyagramı gösterilmiştir.

Sisteme birim yükleme yapıldıktan sonra, sistemde var olan dış yüklerin oluşturduğu mesnet tepkileri ve moment diyagramı aşağıda verilmiştir.

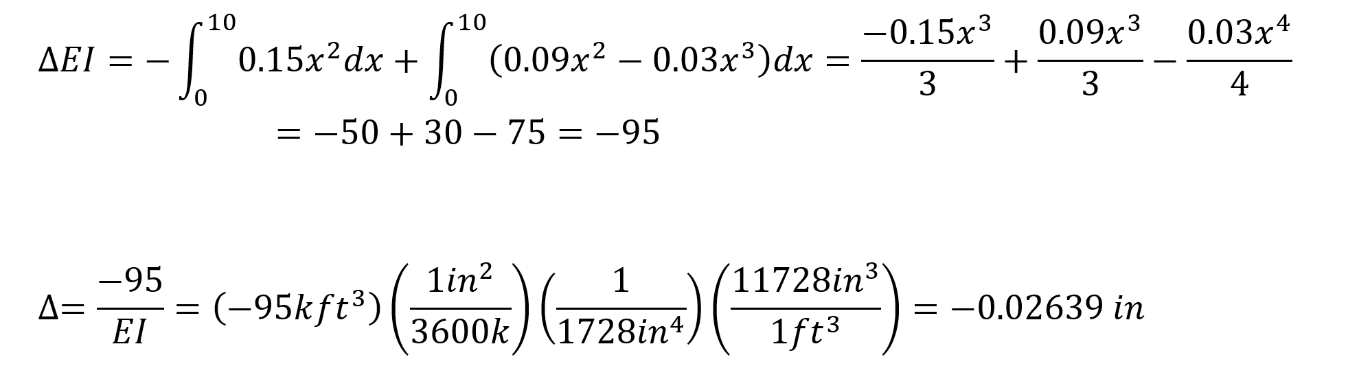
Virtüel iş uygulandığında aşağıdaki denklem aşağıdaki gibi olmaktadır.

Bu denklemde Δ birim yükleme yapılan noktada ve yöndeki deformasyonu ifade eder.
Δ=0.06296 in çıkmıştır. ideCAD Statik ile bu sonuç birebir aynıdır.

Durum 3
4 numaralı düğüm noktasının Z eksenindeki deformasyonun bulunabilmesi için sisteme yalnızca 4 düğüm noktasından Z yönünde birim kuvvet uygulanır ve eğilme momenti diyagramı çizilir.
Aşağıdaki resimde Durum3 yüklemesi görülmektedir. Bu sistemde 4 numaralı düğüm noktasına Z yönünde 1 birim yükleme yapılmıştır. Bu birim yükleme durumunda oluşan mesnet tepkileri ve moment diyagramı gösterilmiştir.

Sisteme birim yükleme yapıldıktan sonra, sistemde var olan dış yüklerin oluşturduğu mesnet tepkileri ve moment diyagramı aşağıda verilmiştir.

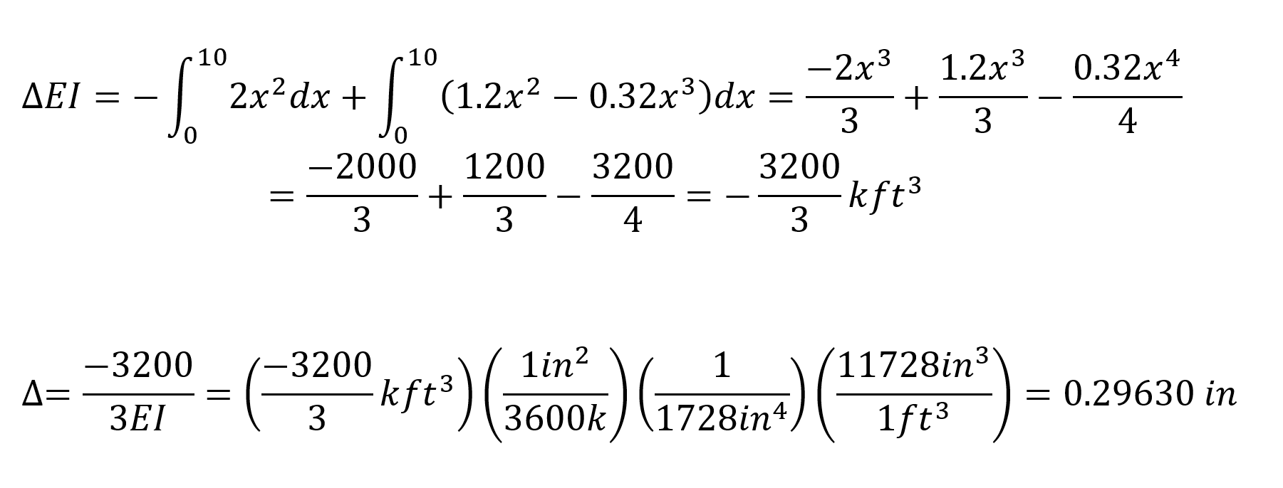
Virtüel iş uygulandığında aşağıdaki denklem aşağıdaki gibi olmaktadır.

Bu denklemde Δ birim yükleme yapılan noktada ve yöndeki deformasyonu ifade eder.
Δ=0.06296 in çıkmıştır. ideCAD Statik ile bu sonuç birebir aynıdır.

Durum 4
4 numaralı düğüm noktasının Z eksenindeki deformasyonun bulunabilmesi için sisteme yalnızca 4 düğüm noktasından Z yönünde birim kuvvet uygulanır ve eğilme momenti diyagramı çizilir.
Aşağıdaki resimde Durum4 yüklemesi görülmektedir. Bu sistemde 4 numaralı düğüm noktasına Z yönünde 1 birim yükleme yapılmıştır. Bu birim yükleme durumunda oluşan mesnet tepkileri ve moment diyagramı gösterilmiştir.

Sisteme birim yükleme yapıldıktan sonra, sistemde var olan dış yüklerin oluşturduğu mesnet tepkileri ve moment diyagramı aşağıda verilmiştir.

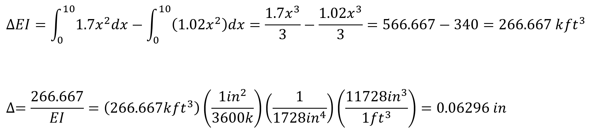
Virtüel iş uygulandığında aşağıdaki denklem aşağıdaki gibi olmaktadır.

Bu denklemde Δ birim yükleme yapılan noktada ve yöndeki deformasyonu ifade eder.
Δ=-0.29630 in çıkmıştır. ideCAD Statik ile bu sonuç birebir aynıdır.

Durum 5
2 numaralı düğüm noktasının X eksenindeki deformasyonun bulunabilmesi için sisteme yalnızca 2 düğüm noktasından X yönünde birim kuvvet uygulanır ve eğilme momenti diyagramı çizilir.
Aşağıdaki resimde Durum5 yüklemesi görülmektedir. Bu sistemde 2 numaralı düğüm noktasına X yönünde 1 birim yükleme yapılmıştır. Bu birim yükleme durumunda oluşan mesnet tepkileri ve moment diyagramı gösterilmiştir.

Sisteme birim yükleme yapıldıktan sonra, sistemde var olan dış yüklerin oluşturduğu mesnet tepkileri ve moment diyagramı aşağıda verilmiştir.

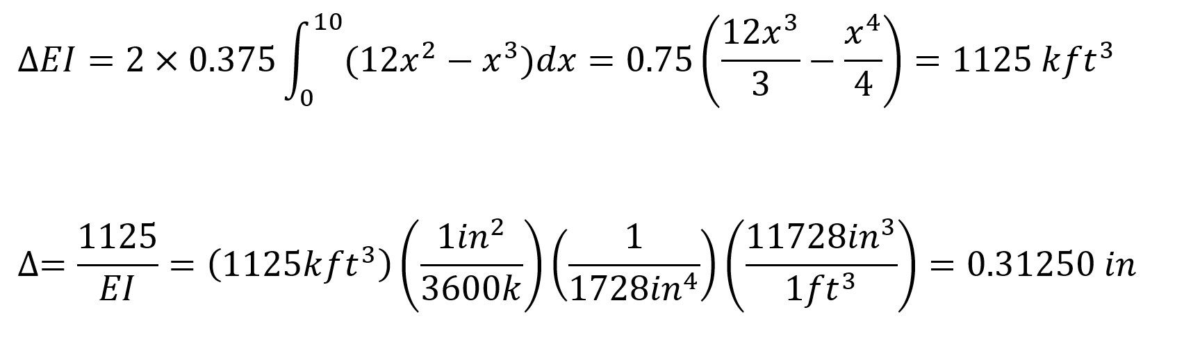
Virtüel iş uygulandığında aşağıdaki denklem aşağıdaki gibi olmaktadır.

Bu denklemde Δ birim yükleme yapılan noktada ve yöndeki deformasyonu ifade eder.
Δ=0.31250 in çıkmıştır. ideCAD Statik ile bu sonuç birebir aynıdır.

Durum 6
2 numaralı düğüm noktasının X eksenindeki deformasyonun bulunabilmesi için sisteme yalnızca 2 düğüm noktasından X yönünde birim kuvvet uygulanır ve eğilme momenti diyagramı çizilir.
Aşağıdaki resimde Durum6 yüklemesi görülmektedir. Bu sistemde 2 numaralı düğüm noktasına X yönünde 1 birim yükleme yapılmıştır. Bu birim yükleme durumunda oluşan mesnet tepkileri ve moment diyagramı gösterilmiştir.

Sisteme birim yükleme yapıldıktan sonra, sistemde var olan dış yüklerin oluşturduğu mesnet tepkileri ve moment diyagramı aşağıda verilmiştir.

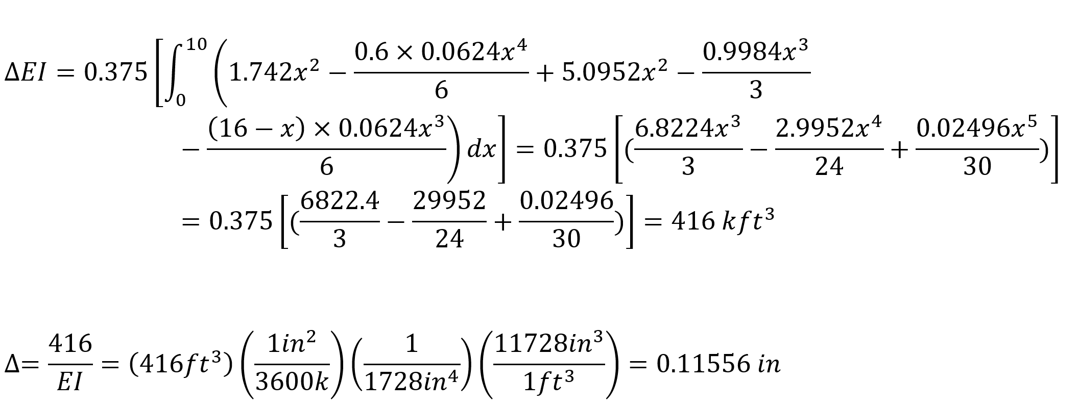
Virtüel iş uygulandığında aşağıdaki denklem aşağıdaki gibi olmaktadır.

Bu denklemde Δ birim yükleme yapılan noktada ve yöndeki deformasyonu ifade eder.
Δ=0.11556 in çıkmıştır. ideCAD Statik ile bu sonuç birebir aynıdır.

Durum 7
2 numaralı düğüm noktasının X eksenindeki deformasyonun bulunabilmesi için sisteme yalnızca 2 düğüm noktasından X yönünde birim kuvvet uygulanır ve eğilme momenti diyagramı çizilir.
Aşağıdaki resimde Durum7 yüklemesi görülmektedir. Bu sistemde 2 numaralı düğüm noktasına X yönünde 1 birim yükleme yapılmıştır. Bu birim yükleme durumunda oluşan mesnet tepkileri ve moment diyagramı gösterilmiştir.

Sisteme birim yükleme yapıldıktan sonra, sistemde var olan dış yüklerin oluşturduğu mesnet tepkileri ve moment diyagramı aşağıda verilmiştir.

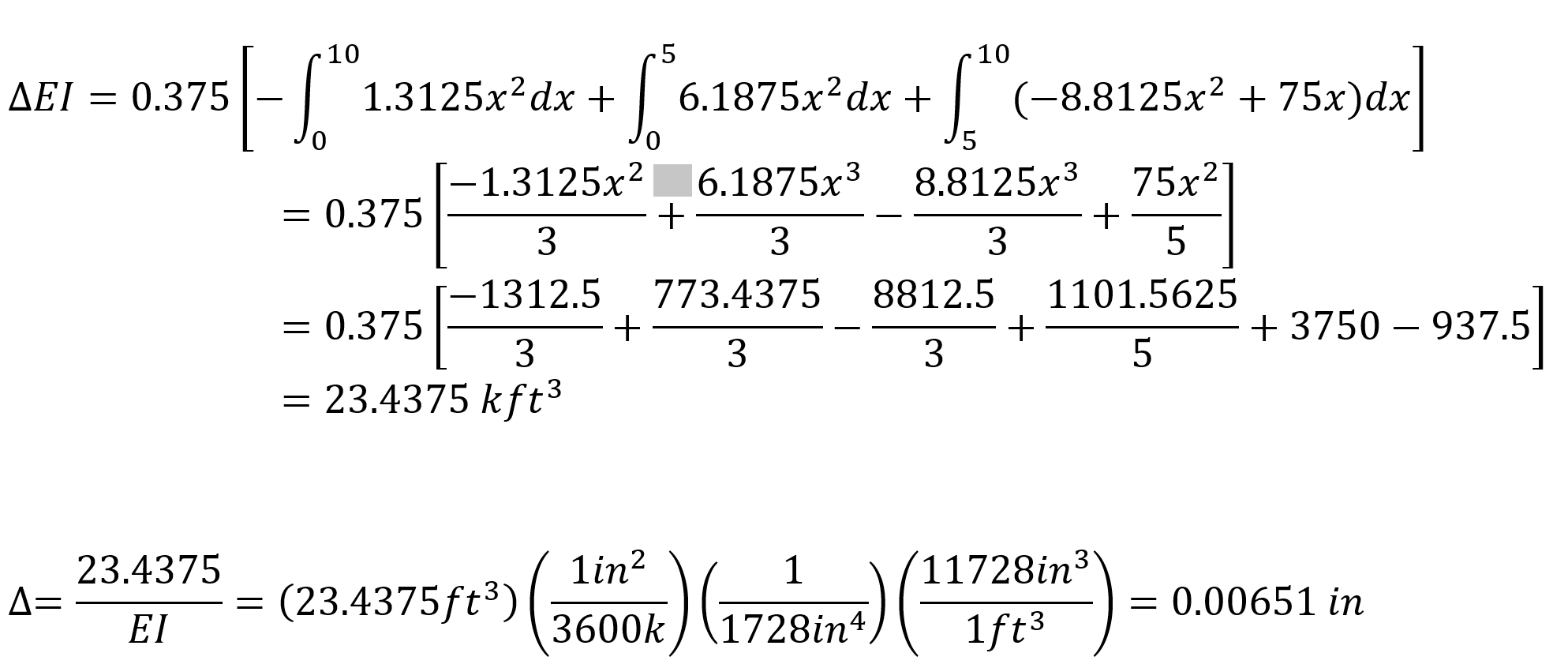
Virtüel iş uygulandığında aşağıdaki denklem aşağıdaki gibi olmaktadır.

Bu denklemde Δ birim yükleme yapılan noktada ve yöndeki deformasyonu ifade eder.
Δ=0.00651 in çıkmıştır. ideCAD Statik ile bu sonuç birebir aynıdır.

Sonraki Konu