TS 500 - Eğilme ve Kayma Donatısı Alanı Hesabı
Bu örnekte 6 m uzunluğunda betonarme bir kiriş elemanın eğilme ve kayma donatı hesabı bağımsız el hesabı ile yapılarak ideCAD Statik sonuçları ile karşılaştırılmıştır. Donatı alanı hesabında TS 500 kullanılmıştır. Bir ucu sabit diğer ucu hareketli mesnet olan kirişin 36.67 kN/m 'lik düzgün yayılı yük etkisi altındadır.
Karşılaştırılan Değer | Birim | ideCAD Statik | Elle yapılan çözüm | Hata yüzdesi |
|---|---|---|---|---|
Md | kNm | 165.015 | 165.015 | %0 |
As (eğilme) | mm2 | 1026 | 1022 | %0.3 |
Vd | kN | 110 | 110 | %0 |
Vcr | kN | 93.6 | 93.6 | %0 |
Vc | kN | 74.9 | 74.9 | %0 |
As (kayma) | mm2/mm | 0.1965 | 0.1965 | %0 |
Geometrik Özellikler ve Sistem Tanımı

Yukarıdaki resimde 6 m açıklığında, 36.67 kN/m 'lik düzgün yayılı yük etkisi altında 55x23 cm 'lik bir betonarme kiriş tanımı verilmiştir.
Kesit Özellikleri
h = 550 mm (Kesit yüksekliği)
b = 230 mm (Kesit genişliği)
pp = 60 mm (Paspayı)
d = 490 mm (Kiriş faydalı yüksekliği, d=h-pp)
Malzeme Özellikleri
fck = 30 MPa (Beton karakteristik basınç dayanımı)
fyk = 420 MPa (Donatı karakteristik akma dayanımı)
fctk = 1.917 MPa (Beton karakteristik çekme dayanımı)
Ec = 33000 N/mm2 (Beton elastisite modülü)
Es = 200000 N/mm2 (Donatı çeliği elastisite modülü)
υ = 0.2 (Poisson oranı)
Yükleme durumu ve malzemeleri tanımlanmış dosyayı aşağıdan indirebilirsiniz.
TS 500 - Eğilme ve Kayma Donatısı Alanı Hesabı.rar
Gerekli Eğilme Donatısı Hesabı
TS 500 Madde 6.2.5 'e göre taşıma gücü sınır durumu için beton ve donatı çeliği dayanımları aşağıdaki gibi kullanılmalıdır. Gerekli eğilme donatısı alanı As için de bu değerler kullanılacaktır.

Bu bağıntılarda betonun tasarım basınç dayanımı fcd , donatı çeliği tasarım akma dayanımı fyd olarak verilmiştir. γmc ve γms sırasıyla beton ve donatı çeliği için malzeme katsayılarıdır. Hesap kolaylığı açısından eşdeğer dikdörtgen basınç bloku kabulü kullanılacaktır.Blok genişliği olarak eşdeğer basınç şiddeti olan 0.85fcd kullanılmıştır. Bu durumda betonarme kesitin eğilme etkisi altındaki birim şekildeğiştirme ve gerilme dağılımı aşağıdaki gibi gösterilebilir.

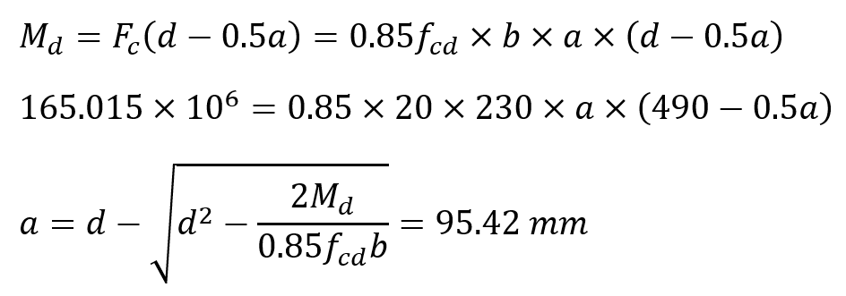
Düzgün yayılı yük etkisi altında Tasarım momenti Md değeri aşağıdaki gibi bulunur.


Md , tasarım momenti yukarıda gösterilen gerilme dağılımının toplam momentine eşit olmalıdır. Donatı alanı As bilinmeyen değer olduğundan, donatının olduğu konuma göre moment alınarak beton basınç bloğu derinliği, a aşağıdaki denklemin çözümü ile hesaplanabilir.

Not: Yukarıdaki Md = 0.85fcd*b*a*(d-0.5a) denklemi ikinci dereceden tek bilinmeyenli bir denklem olduğundan iki tane “a” değeri bulunur. Ancak bunlardan bir tanesi anlamsızdır. Bu nedenle 95.42 değeri gözönüne alınmalıdır.
Beton basınç bloğu derinliği, a=95.42 mm olarak bulundu. Bu durumda yatay denge denklemi kurularak gerekli donatı alanı As bulunabilir.

Bu durumda Md = 165.015 kNm 'lik moment için gerekli olan donatı eğilme donatısı alanı As = 1022 mm2 bulunmuştur.
Md = 165.015 kNm 'lik moment için gerekli olan donatı eğilme donatısı alanı As = 1022 mm2 değeri ideCAD Statik sonuçları As = 1026 mm2 ile oldukça yakındır.

Gerekli Kayma Donatısı Hesabı
Düzgün yayılı yük etkisi altında kesme kuvveti aşağıdaki gibi bulunur. Bu kesme kuvveti diyagramının en büyük değeri gerekli kayma dayanımı Vd değeridir.


TS 500 8.5.1.2 'de en büyük kesme kuvveti sınırı aşağıdaki şekilde hesaplanır.

Kesme kuvveti üst koşulu sağlanmaktadır.
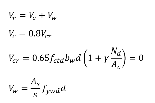
Kesme dayanımı gerekli olan dayanım Vr TS 500 'e göre aşağıdaki gibi hesaplanır.

Bu denklemlerde bilinmeyen değer kayma donatısı alanı olan As değeridir. Kesme dayanımı gerekli olan dayanım Vr = 110 kN olarak bulunmuştu. Bu durumda kesme kuvveti için gerekli olan donatı alanı As aşağıdaki şekilde hesaplanır.

TS 500 Madde 8.1.5.1 'e göre minimum kesme donatısı alanı aşağıdaki gibi hesaplanır.

Bu durumda kayma donatısı alanı olan As değeri minimum değere göre 0.2415 mm2/mm olarak belirlenmiş olur.
Görüldüğü üzere Vd=110 kN , Vcr = 93.6 kN , Vc = 74.9 kN , As = 0.2415 mm2/mm sonuçları ideCAD Statik ile aynı bulunmuştur.
