Mod Birleştirme Yöntemi (Response Spektrum Analizi)
Bu örnekte tek açıklığı bulunan iki katlı bir sistemin mod şekilleri, periyotları ve mod birleştirme yöntemi ile deprem hesabı sonucu bulunan iç kuvvet değerlerinin bağımsız el hesabı sonuçları yapılmış ve ideCAD Statik sonuçları karşılaştırılmıştır. Response spektrum analizinde kullanılan sönüm oranı %5 olarak gözönüne alınmıştır. Mod birleştirme yöntemi olarak Tam Karesel Birleştirme (TKB veya CQC) kullanılmıştır. Modal analiz sonucu hesaplanan periyotlar, yatay yerdeğiştirmeler ve eğilme momentlerinin bağımsız el hesabı çözümleri Chopra 2012 'ye göre yapılmıştır.
Önemli Not: Bu sistem çözümünde elle çözüm kolaylığı açısından yalnızca eğilme şekildeğiştirmeleri gözönüne alınmış, uzama ve kayma şekildeğiştirmeleri ihmal edilmiştir. Uzama şekildeğiştirmelerini ihmal etmek için kesit alanı 10000 ile çarpılmış, kayma şekildeğiştirmelerini ihmal etmek için kayma alanları sıfır “0” olarak tanımlanmıştır.
Önemli Not: Bağımsız elle yapılan hesabın kolay olması açısından sistemde yalnızca UX, UZ ve RY serbestlik dereceleri kullanılmıştır. Elle yapılan çözüm iki boyutlu olduğundan düğüm noktalarına UY yönünde sabit mesnetler tanımlanmıştır. Bu nedenle mod şekilleri ve periyotlar yalnızca X ekseninde oluşmaktadır. ideCAD Statik 'te dinamik analizi üç boyutlu kütleler ve tüm serbestlik derecelerini gözönüne alarak yapılmaktadır.
Önemli Not: Bağımsız elle yapılan hesabın kolay olması açısından kütleler yalnızca kiriş elemanlarında tanımlanmıştır.
Periyotların karşılaştırılması
Karşılaştırılan Değer | ideCAD Statik | Elle yapılan çözüm | Hata yüzdesi |
|---|---|---|---|
1.Mod Periyot | 1.562 | 1.562 | %0 |
2.Mod Periyot | 0.5868 | 0.5868 | %0 |
Response yerdeğiştirme sonuçlarının karşılaştırılması
Düğüm noktası ve yön | ideCAD Statik | Elle yapılan çözüm | Hata yüzdesi |
|---|---|---|---|
3 D.N. (UX) | 7.59 | 7.59 | %0 |
1 D.N. (UX) | 18.8 | 18.8 | %0 |
Eleman uç momentleri karşılaştırması (M33) kip-ft
Eleman | Düğüm noktası | ideCAD Statik | Elle yapılan çözüm | Hata yüzdesi |
|---|---|---|---|---|
| 3 | 817.99 | 817.99 | %0 |
4 | 817.99 | 817.99 | %0 | |
| 1 | 433.81 | 433.81 | %0 |
2 | 433.81 | 433.81 | %0 | |
| 3 | 568.47 | 568.47 | %0 |
5 | 1056.17 | 1056.17 | %0 | |
| 1 | 433.81 | 433.81 | %0 |
3 | 499.81 | 499.81 | %0 |
Geometrik Özellikler ve Sistem Tanımı

Yukarıdaki görselde 1 açıklık bulunan 2 katlı bir sistem tanımlanmıştır. Her bir kat yüksekliği 120 inch ve açıklık 240 inch olarak tanımlanmıştır. Düğüm noktalarının serbestlikleri UX, UY ve RZ yönünde yönündedir ve kütleler yalnızca 1-2 ve 3-4 düğüm noktaları arasındaki elemanlara tanımlanmıştır.
Birinci kat çubuk elemanları (2EI ile gösterilen elemanlar) 24'' (24 inch) genişliğinde ve 10'' yüksekliğinde dikdörtgen kesitlerden oluşmaktadır. Birinci kat çubuk elemanlarının geometrik özellikleri aşağıdaki gibi hesaplanmaktadır.
Birinci kat elemanları alanı A1.Kat=24*10=240 in2
Birinci kat elemanları atalet momenti I1.Kat = 2I = (1/12)*(24*103) = 2000 in4
olarak hesaplanır.
İkinci kat çubuk elemanları (EI ile gösterilen elemanlar) 12'' genişliğinde ve 10'' yüksekliğinde dikdörtgen kesitlerden oluşmaktadır. Birinci kat çubuk elemanlarının geometrik özellikleri aşağıdaki gibi hesaplanmaktadır.
İkinci kat elemanları alanı A2.Kat=12*10=120 in2
İkinci kat elemanları atalet momenti I2.Kat = I = (1/12)*(12*103) = 1000 in4
olarak hesaplanır.
Kullanılan malzemenin elastisite modülü E = 3000 k/in2 ve
kütle değeri m=0.5182 kip-sec2/in
olarak gözönüne alınmıştır.
Eleman eğilme rijitlikleri tanımlanırken atalet momentlerinin oranı kullanılacaktır. Bu durumda birinci kat elamanlarının eğilme rijitlikleri için (2EI), ikinci kat elemanlarının eğilme rijitlikleri için (EI) değerleri kullanılır. Burada E=3000 k/in2 ve I = 1000 in4 olarak alınır.
Eleman isimleri ve düğüm noktaları numaraları aşağıdaki resimde gösterilmiştir.

Kullanılan Mod Birleştirme Yöntemi 'nde sönüm oranı %5 olarak gözönüne alınmıştır. Yatay elastik tasarım spektrumu (Response spektrum fonksiyonu) aşağıdaki gibi tanımlanmıştır.

Kesitler ve yatay elastik tasarım spektrumu tanımlanmış ide dosyasına aşağıdan ulaşabilirsiniz.
Mod Birleştirme Yöntemi (Response Spektrum Analizi).rar
Mod Birleştirme Yöntemi
İki katlı örnek sistemin mod birleştirme analizi yapılırken ilk adım olarak kütle ve rijitlik matrislerinin elde edilmesi gereklidir. Rijitlik matrisi elde edilirken aşağıdaki yol izlenmektedir.
Aşağıdaki sistemde 6 adet düğüm noktası bulunmaktadır. Bu düğüm noktalarından 5 ve 6 numaralı düğüm noktaları ankastre mesnet ile bağlıdır. Sistemde uzama şekil değiştirmeleri de ihmal edildiğinden her düğüm noktası UX yönünde ve RZ yönünde hareket edebilecektir. Uzama şekil değiştirmeleri ihmal edildiğinden 1-2 düğüm noktaları ile 3-4 düğüm noktaları UX yönünde aynı şekildeğiştirmeyi yapacaklardır. Bu koşullar dikkate alındığında toplamda 6 adet serbestlik bulunur. Bu sebeple yapının toplam rijitlik matrisi 6x6 boyutunda bulunur.

Ancak bu sistemde kütlelerin yalnızca UX yönünde hareket edebildiği kabulü yapılmıştır. Bu nedenle kütle matrisi 2x2 boyutunda olmalıdır. Modal analizin yapılabilmesi için kütle matrisi ve rijitlik matrislerinin aynı boyutlarda olması gerekir. Bu nedenle hesap kolaylığı açısında 6x6 boyutunda olan rijitlik matrisi 2x2 boyutuna indirgenerek yatay öteleme rijitlik matrisi oluşturulacaktır.
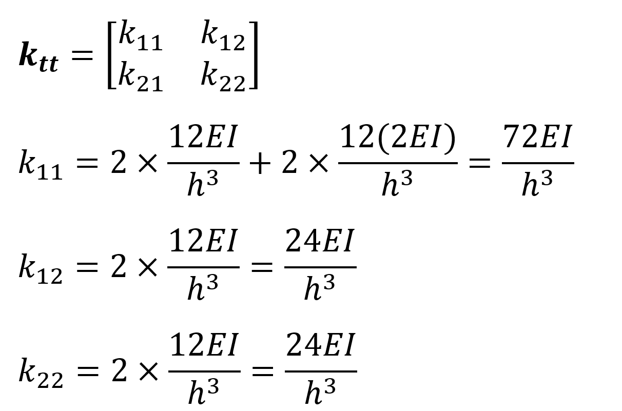
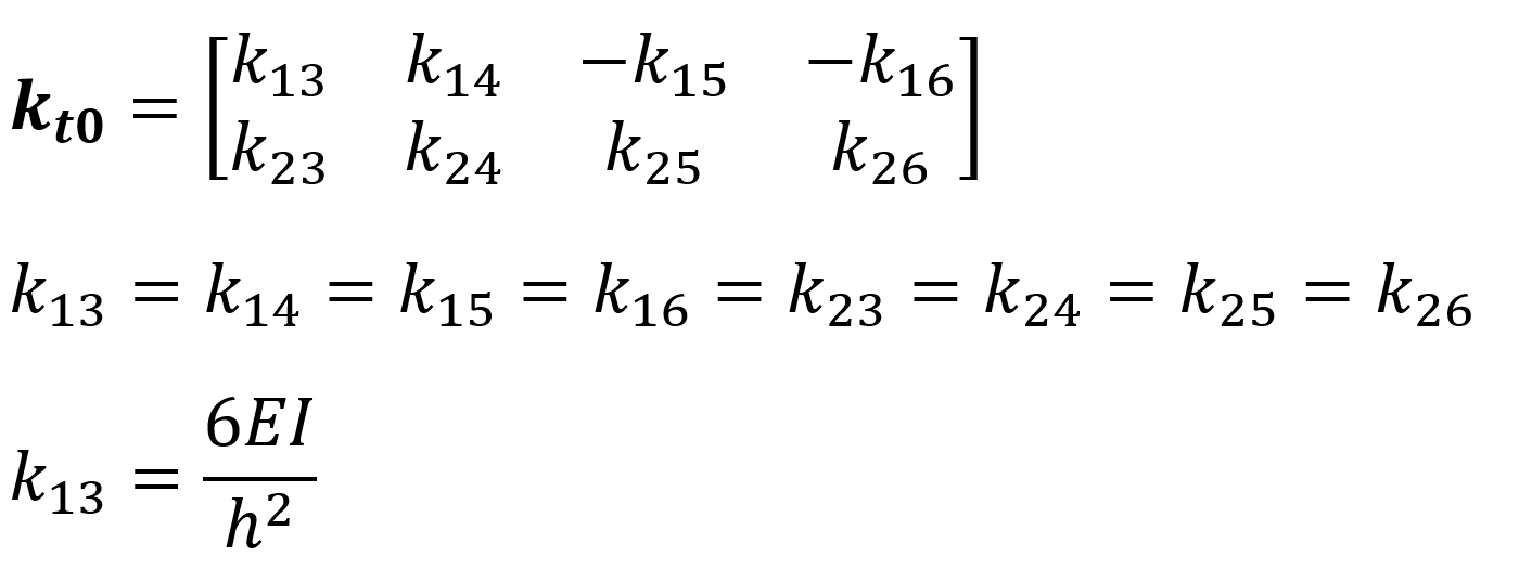
Rijitlik matrisi oluşturulurken her bir serbestliğin bir birim şekildeğiştirme yaptığında oluşan kuvvetlerden yararlanılabilir. Bu durumda her bir serbestlik için (u1, u2, u3, u4, u5, u6) bir birim şekildeğiştirmesi ile oluşan kuvvetler rijitlik matrislerinin elemanıdır.
Not: kmn teriminde m indisi düğüm noktasında oluşan rijitlik terimini numarasını, n indisi birim şekildeğiştirme yapan düğüm noktasını göstermektedir. Örneğin k12 rijitlik matrisinin 1. satır, 2. sütununa yerleştirilir ve u2 = 1 yüklemesinden ötürü 2 düğüm noktasındaki rijitliktir.
Aşağıdaki şekillerde u1, u2, u3 serbestlikleri için birim şekildeğiştirmeler ve oluşan rijitlik matrisi terimleri gösterilmiştir. Benzer işlemler u4, u5, u6 için de uygulanmaktadır.



Düğüm noktalarındaki öteleme (u1, u2) ve dönme (u3, u4, u5, u6) serbestliklerinden oluşan rijitlik matrisi 4 bölüme ayrılabilir. Bu bölümlerin isimlendirmeleri aşağıdaki şekilde yapılabilir.
ktt: Öteleme serbestliğine birim yükleme yapılmasından ötürü (u1=1 ve u2=1) oluşan öteleme rijitliği matrisidir.
kt0: Dönme serbestliğine birim yükleme yapılmasından ötürü oluşan öteleme rijitliği matrisidir.
kt0: Öteleme serbestliğine birim yükleme yapılmasından ötürü oluşan dönme rijitliği matrisidir.
k00: Dönme serbestliğine birim yükleme yapılmasından ötürü oluşan dönme rijitliği matrisidir.
İki ucu ankastre bir elemanın öteleme rijitliği değeri aşağıda verilmiştir. Aşağıdaki şekilde u=1 birim öteleme için gerekli olan kuvvet 12EI/L3 şeklinde ifade edilir.

ktt matrisini bulmak için u1 = 1 ve u2 =1 birim yüklemelerinden oluşan yatay öteleme rijitlikler aşağıdaki gibi hesaplanır.

kt0 = (k0t)T matrisini bulmak için u1 = 1 ve u2 =1 birim yüklemelerinden oluşan düğüm noktaları rijitlikler aşağıdaki gibi hesaplanır.

k00 matrisini bulmak için u3 = 1, u4 =1, u5 =1 ve u6 =1 birim yüklemelerinden oluşan yatay öteleme rijitlikler aşağıdaki gibi hesaplanır.

Toplam rijitlik matrisi, k, tüm bu matrisleri bir araya getirerek aşağıdaki gibi yazılabilir.

Görüldüğü üzere rijitlik matrisi, k, 6x6 formatında elde edildi. Ancak kütlelerin yalnızca UX yönünde hareket edebildiği kabulü yapıldığından kütle matrisi 2x2 şeklinde yazılabilir. Bu durumda k matrisi de 2x2 formatına indirgenebilir.

Kütle matrisi de 2x2 formatında aşağıdaki gibi yazılır.

Kütle matrisi m ve bu kütlelerinin hareketine karşılık gelen rijitlik matrisi k' yazıldıktan sonra frekans denkleminin determinantı sıfıra eşitlenerek yapılan eigen vektörleri çözümü ile mod şekilleri ve her bir modun doğal titreşim periyodu bulunabilir.

det(k'-w2m)=0 denkleminin çözümünden iki tane w çözümü bulunur. Bunlar her bir modun açısal titreşim frekanslarını ifade eder. Yukarıdaki denklemde wn, n 'inci modun açısal frekansı anlamına gelir.

w1 ve w2 değerleri bulunduktan sonra u1 ve u2 serbestliklerine göre mod şekilleri olan 1. mod şekli ϕ1 ve 2. mod şekli ϕ2 bulunabilir.

ϕ1 ve ϕ2 mod şekilleri 2x1 boyutunda matrisler biçiminde çıkar. Ancak Eigen vektörleri çözümünün doğası gereği det(k'-w2m)=0 denklemi birinci dereceden lineer bağımlı bir denklemdir. Bu nedenle mod vektörleri birbirlerinin oranı şeklinde ifade edilebilir. Mod vektörlerinin bir elemanına birim değer 1 verilerek diğer elemanı bulunur. Bu sayede mod şekillerinin birbirine oranı da belirlenmiş olur.

E = 3000 k/in2 ,
m=0.5182 kip-sec2/in,
I = 1000 in4 ve
h=120 in
olarak sistem bilgilerinde verilmiştir. Bu değerler w1 ve w2 denklemlerinde yerine yazıldığında,

açısal frekansı değerleri bulunur. Açısal frekanslar bulunduktan sonra her bir modun doğal titreşim periyotları bulunabilir.

T1=1.562 s ve T2=0.5868 doğal titreşim periyotları sonuçları ideCAD Statik ile birebir aynı bulunmuştur.

Mod şekilleri ve doğal titreşim periyotları bulunduktan sonra her bir mod için düğüm noktası şekildeğiştirme değerlerinin bulunması gerekir.
Bu durumda herhangi bir n ’inci mod için, modal katkı çarpanı, genelleştirilmiş modal kütle ve etkin modal kütlesi sırasıyla aşağıdaki gibi bulunur.

Bu formülleri uyarlandığında birinci mod için,

ikinci mod için,

değerleri bulunur. Bu değerler kullanılarak birinci ve ikinci mod için şekildeğiştirme vektörleri olan d1(t) ve d2(t) aşağıdaki gibi bulunur.

d1(t) ve d2(t) vektörleri mod şekillerinin u1 ve u2 serbestliklerine karşı gelen indirgenmiş değerleridir. Benzer şekilde her bir mod için u3, u4, u5 ve u6 serbestliklerine karşı gelen indirgenmiş şekildeğiştirme vektörleri d01(t) ve d02(t) aşağıdaki gibi hesaplanır.

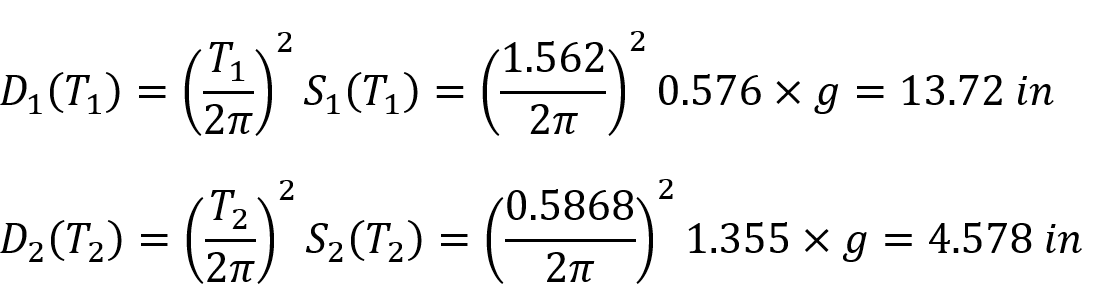
Burada T dönüştürme matrisidir. Bu denklemde Dn(t), n’inci titreşim periyodunun tanımlanan yatay elastik tasarım yerdeğiştirme spektrumuna karşı gelen değeridir. Yatay elastik tasarım ivme spektrumundan yerdeğiştirme spektrumuna bir geçiş yapılması gerekmektedir.
Bu noktadan sonra artık Tam Karesel Birleştirme (TKT veya CQC) uygulanabilir. Doğal titreşim periyotlarını T1=1.562 s ve T2=0.5868 olarak bulundu.
Yatay elastik tasarım ivme spektrumundan yerdeğiştirme spektrumuna geçiş yapmak için aşağıdaki bağıntı kullanılır.

Bu denklemde Dn(T), n’inci titreşim periyodunun tanımlanan yatay elastik tasarım yerdeğiştirme spektrumu, Sn(T), n’inci titreşim periyodunun tanımlanan yatay elastik tasarım ivme spektrumu, Ry(µk,T) TBDY EK 4A 'da tanımlanan Akma dayanımı azaltma katsayısı (Detaylı bilgi için, Bilgilendirme Eki 4A Detaylı Açıklama), Tn 'inci modun doğal titreşim periyodunu ifade etmektedir.
Not: Bu örnekte herhangi bir taşıyıcı sistem davranış katsayısı kullanılmayacaktır. Bu nedenle Ry(µk,T)=1 ve µk=1 olarak gözönüne alınacaktır. Ancak Dayanıma Göre Tasarım (DGT) yaklaşımında taşıyıcı sistem davranış katsayısı gözönüne alınmaktadır.
Doğal titreşim periyotlarını T1=1.562 s ve T2=0.5868 olan yapının spektrum değerleri S1(T1=1.562)=0.576g ve S2(T2=0.5868)=1.355g olarak bulunmuştur. Bu durumda yerdeğiştirme spektrumları D1(T1) ve D2(T2) aşağıdaki gibi bulunur. Burada yerçekimi ivmesi, g=9.81 m/s2 = 386.2205 in/s2 olarak gözönüne alınmıştır.

Yatay elastik tasarım spektrumu gözönüne alındıktan sonra yapının şekil değiştirmeleri ve iç kuvvet değerlerinin bulunması için Mod Birleştirme Yöntemlerinden biri olan Tam Karesel Birleştirme (TKT veya CQC) uygulanır.

Deprem etkisi altında (X yönü için) 1. kat yatay şekildeğiştirme değeri u1.kat ve 2. kat yatay şekildeğiştirme değeri u2.kat Tam Karesel Birleştirme (TKT veya CQC) ile aşağıdaki gibi hesaplanır.

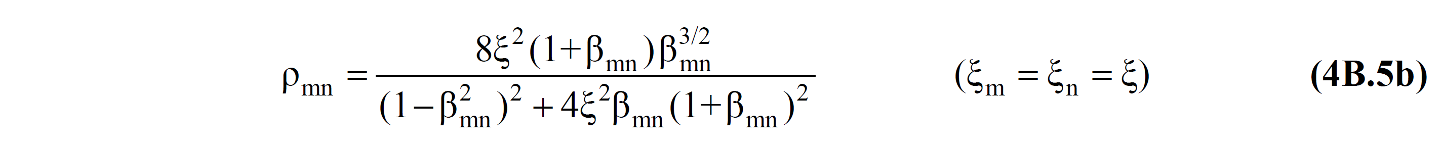
Bu denklemde (u1)n n’inci moddaki u1 yerdeğiştirmesi değeridir ve d1(Tn) matrisinin birinci elemanıdır. Bu örnekte 2 mod olduğundan CQC denklemi içerisinde 2 adet u1 terimi bulunmaktadır. Bu sonuçlardan bulunan 1. kat yatay şekildeğiştirme değeri u1.kat ve 2. kat yatay şekildeğiştirme değeri u2.kat deprem etkisinden hesaplanan yerdeğiştirme değerleridir. ρmn çapraz korelasyon katsayısıdır ve TBDY Denklem 4B.5b 'ye göre %5 sönüm oranı için aşağıdaki formül ile hesaplanmaktadır.

Bu denklemde sönüm oranı ξ=0.05 olarak alınmıştır. βmn katsayısı m ‘inci ve n 'inci doğal titreşim periyotlarının oranıdır.
u1.kat= 7.59 in ve u2.kat= 18.8 in değerleri ideCAD Statik sonuçları ile birebir aynıdır.


Deprem etkisi altında (X yönü için) eleman iç kuvvetleri de benzer şekilde elde edilebilir. Bina moment diyagramı aşağıda anlatılan sıra ile çizilebilir.
Sırasıyla birinci mod ve ikinci modun öteleme ve dönme yerdeğiştirmeleri aşağıda verilmiştir.


Herhangi bir EI rijitliğinde ve L uzunluğunda olan bir çubuk elemanın uç yerdeğiştirmeleri bilindiğinde, bu elemanın uç kuvvetleri bulunabilir. Aşağıdaki şekilde a ve b düğüm noktaları arasında tanımlanan herhangi bir çubuk elemanın uç yerdeğiştirmeleri ua, ub, θa ve θb olarak verilmiştir. Bu değerler kullanılarak çubuğun a düğüm noktasındaki moment değeri aşağıdaki gibi bulunur.


Bu bilgiden yararlanarak her bir mod için bütün çubuk elemanların uç momentleri hesaplanabilir.
Örnek olarak 3-4 düğüm noktaları arasında bulunan kirişin 3 numaraları düğüm noktası ucundaki 1. mod şekli sonucunda oluşan moment değeri hesaplanabilir. Yukarıdaki denkleme a düğüm noktası yerine 3 numaralı düğüm noktasının, b düğüm noktası yerine 5 numaralı düğüm noktasının yerdeğiştirmeleri, θa=θb=-0.06514 ve ua=ub=0 (Z yönünde yerdeğiştirme yok) Bu durumda Ma değeri aşağıdaki gibi hesaplanır.

Yukarıdaki bağıntı için d1(t), d2(t), d01(t) ve d02(t) matrisleri kullanıldığında birinci ve ikinci mod şekilleri için eğilme momenti diyagramı aşağıda verilmiştir.


Tam Karesel Birleştirme (TKT veya CQC) uygulandığında elemanlar ve uç momentleri aşağıdaki tabloda verilmiştir.
Eleman | Düğüm noktası | 1.Mod Moment kip-ft | 2.Mod Moment kip-ft | CQC sonucu kip-ft |
|---|---|---|---|---|
| 3 |
|
| 817.99 |
4 |
|
| 817.99 | |
| 1 |
| 179 | 433.81 |
2 |
| 179 | 433.81 | |
| 3 | 425 | 374 | 568.47 |
5 | 968 | 412 | 1056.17 | |
| 1 | 396 |
| 433.81 |
3 | 389 |
| 499.81 |
Ex yüklemesinde oluşan Moment değerleri ideCAD Statik sonuçları ile birebir aynıdır.

Önemli Not: Tam Karesel Birleştirme (TKT veya CQC) veya Karelerin Toplamının
Karekökü (KTKK ve SRSS) kuralları yukarıdaki örnekte de görüldüğü üzere yön kavramının kaybolduğu bir yöntemdir. Bu nedenle Mod Birleştirme Yöntemi ile yapılan deprem hesabında iç kuvvet ve şekildeğiştirmeler mutlak değer cinsinden ifade edilir. Çizilen iç kuvvet diyagramları denge denklemini sağlamaz, ilgili noktanın deprem etkisi altında bütün titreşim modlarından ötürü oluşabilecek en büyük iç kuvvet değerini verir.
Sonraki Konu