Göreli Kat Ötelemelerinin Hesabı ve Kontrolü
SİMGELER
D                                = Dayanım fazlalığı katsayısı
hi                                = i’inci katın yüksekliği
I                            = Bina önem katsayısı
R                                = Taşıyı sistem davranış katsayısı
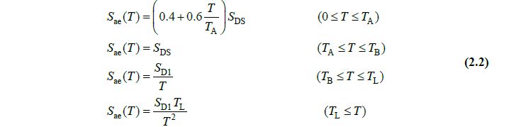
Sae(T)                   = Yatay elastik tasarım spektral ivmesi [g]
SaR(T)                  = Azaltılmış tasarım spektral ivmesi [g]
SDS                            = Kısa periyot tasarım spektral ivme katsayısı [boyutsuz]
SD1                            = 1.0 saniye periyot için tasarım spektral ivme katsayısı [boyutsuz]
T                           = Doğal titreşim periyodu [s]
TA                              = Yatay elastik tasarım ivme spektrumu köşe periyodu [s]
TB                              = Yatay elastik tasarım ivme spektrumu köşe periyodu [s]
TL                              = Yatay elastik tasarım spektrumunda sabit yerdeğiştirme bölgesine geçiş periyodu [s]
ui                              =  Herhangi bir kolon veya perde için, i’inci kattaki azaltılmış yerdeğiştirme
Δi                              = Herhangi bir kolon veya perde için, ardışık iki kat arasındaki yerdeğiştirme farkı
δi                              = Binanın i’inci katındaki kolon veya perdeler için etkin göreli kat ötelemesi
δi,max                  = Binanın i’inci katındaki kolon veya perdeler için etkin göreli kat ötelemesi
λ                          = Göreli kat ötelemelerinin sınırlandırılmasında kullanılan ampirik katsayı
κ                          = Betonarme ve çelik taşyıcı sistemler için farklı olarak kullanılan katsayı
- Her iki yatay deprem doğrultusunda binanın herhangi bir i’inci katındaki kolon ve perdelerde, etkin göreli kat ötelemelerinin kat içindeki en büyük değeri δi,max TBDY 4.9.1.3’de verilen koşulları sağlamalıdır. 
- TBDY 2018 4.9.1.3’de bahsi geçen λ katsayısı, binanın gözönüne alınan deprem doğrultusundaki hakim titreşim periyodu için DD-3 deprem yer hareketi elastik tasarım spektral ivmesi’nin, DD-2 deprem yer hareketi elastik tasarım spektral ivmesine oranıdır. κ katsayısı, betonarme binalar için 1 alınır. 
- Göreli kat ötelemesi hesabında, kirişsiz döşeme içeren taşıyıcı sistem analiz kuralları gereği monolitik model sonuçları kullanılacaktır. 
- Göreli kat ötelemesi hesabı ile ilgili detaylı bilgi Göreli Kat Ötelemesi Kontrolü Örnek Hesabı 'nda yer almaktadır. 
- Bina için taşıyıcı sistem ile duvarlar arasında herhangi bir esnek derz veya bağlantı olmaksızın, tamamen bitişik olması durumunda izin verilen sınır değer seçimi yapılmıştır. Bu seçime göre betonarme için κ=1 alınır ve sınır değer 0.008 olarak hesaplanmıştır. 
Lamda Katsayısının Hesabı
- Monolitik modele ait modal analiz sonuçlarından faydalanılacaktır. 
DD-2 ön değerler
SDS =1.112
SD1 = 0.389
Ta = 0.2*SD1 /SDS = 0.2*0.389/1.112 =0.07
Tb = SD1 / SDS =0.389 / 1.112 =0.350
DD-3 ön değerler
SDS=0.475
SD1=0.155
Ta = 0.2*SD1 /SDS = 0.2*0.155/0.475 =0.065
Tb = SD1 / SDS =0.155 / 0.475 =0.326
Dinamik analiz E1 , E2 , E3 ve E4 yüklemelerinde ilgili yön ile uyumlu en büyük modal katılım oranları okunarak X ve Y yönü için 5’er adet hakim titreşim periyodu belirlenir. X yönü için belirlenen 4 adet periyoddan en büyük kütle katılım oranına sahip olan seçilir. Aynı işlem Y yönü içinde yapılır.





x yönü için Modal' → T=1.56835 sn
y yönü için Modal' → T=1.80177 sn
Sae(T) değerlerinin bulunması

X Yönü için Hesap
DD-2
T=1.56835 sn için
Ta= 0.07 < Tb= 0.35 < T=1.56835 -> Sae(T)=SD1/T = 0.251
DD-3
T=1.56835 sn için
Ta= 0.065 < Tb=0.326 < T=1.56835 -> Sae(T)=SD1/T= 0.100
Lamda = 0.100/ 0.251=0.3984
Y Yönü için Hesap
DD-2
T= 1.80177 sn için
T=0.07> Tb=0.35< T=1.80177 -> Sae(T)=SD1/T= 0.389/ 1.80177=0.2158
DD-3
T=1.80177 sn için
T=0.065> Tb=0.326< T=1.80177 -> Sae(T)=SD1/T= 0.155/ 1.80177=0.086
Lamda = 0.086 / 0.216=0.3984
NOT: Her iki yönde de tüm T değerleri Tb’den büyük olduğu için lamda katsayısı aslında her iki yer hareketi düzeyinin SD1 parametrelerinin oranına eşittir.
- ideCAD’in hesapladığı değerler şu şekildedir: 

- Öncelikle her bir katta EX yüklemesinde en fazla yatay yer değiştirme yapan kolon veya perdenin belirlenmesi gerekir. Bunun için perspektif ekran - analiz modeli görüntüleme - deformasyonlar - EX yüklemesi seçilir. Her bir katta kolonların ve perdelerin üst düğüm noktasının X yönü yerdeğiştirmesi okunur ve aralarındaki farka bakılır. Kat içindeki en büyük değer göreli kat ötelemesi hesabında kullanılır. 
- Okunan bu değer ham değerdir. TBDY 2018 gereği ham değer, eşdeğer deprem yükü arttırma katsayısına göre arttırılmalıdır. 
- Binanın büyük olması nedeni ile bu işlem yapılmamış doğrudan deprem yönetmeliği raporunda yer alan ∆i değeri kullanılarak göreli kat ötelemesi hesabı aşağıdaki tabloda özetlenmiştir. Aşağıdaki tabloda sadece X +% 5 için kontrol yapılmıştır. Burada dikkat edilmesi gereken husus eşdeğer deprem yükü arttırma katsayısı ile bu sonuçların arttırılması gerektiğidir. Bu binada 1 olarak hesaplanmıştır. Bundan dolayı rakamlar aynı kalmıştır. 
- Bodrum katlar için TBDY 2018 gereği kullanılan R değeri farklıdır ve bu bina için daha önce 2.5 olarak hesaplanmıştır. Bu nedenle tabloda bodrum katlar için verilen (R/I) değeri 2.5 olarak alınmıştır. 

Sonraki Konu
