Azaltılmış İç Kuvvetlerin ve Yer Değiştirmelerin Eşdeğer Taban Kesme Kuvvetine Göre Büyütülmesi
Bodrumlu Yapılarda TBDY 2018 Gereği Özel Hesap Kuralları 'nda hesabın nasıl yapılması gerektiği X yönü için uygulamalı olarak anlatılmıştır.
Her iki doğrultu için yapılan bu hesaptan elde edilen X ve Y yönü βtE arttırım katsayıları TBDY 4.8.4.4 gereği bodrumlu yapılarda sadece üst bölüm elemanları için uygulanmaktadır.
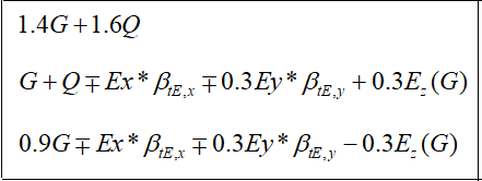
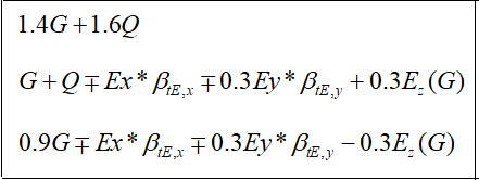
Buna göre bodrumlu yapılarda üst bölüme ait deprem etkisinde belirlenen iç kuvvet sonuçları ve yer değiştirmeler bu katsayı ile ideCAD tarafından otomatik arttırılır. Bu arttırım düşey deprem etkisi ve düşey yükler için geçerli değildir. Aşağıda yükleme kombinasyonları üzerinden arttırım gösterilmiştir.

Binanın X ve Y yönü için belirlenen katsayılar şu şekildedir:


Özetle bina için bir arttırım yapılmasına ihtiyaç yoktur.
Sonraki Konu