Taşıyıcı Sistem Tipine Göre R ve D Katsayılarının Belirlenmesi
SİMGELER
c = Perde parçalarının enkesit ağırlık merkezleri arasındaki uzaklığı
FiE = Kata etkiyen toplam yük
m = İlgili katın kütlesi
H = i’inci katın üst bölümün bina tabanından itibaren ölçülen yüksekliği [m]
M1 = Perde parçasında tabanda deprem etkisinden meydana gelen eğilme momenti
M2 = Perde parçasında tabanda deprem etkisinden meydana gelen eğilme momenti
MDEV = Perde tabanındaki toplam devrilme momenti
Nv = Perde tabanında oluşan eksenel kuvvet
Ω = Bağlılık derecesi
VtE = Ters üçgen birim yüklemede bina katlarına dağıtılmak üzere seçilen toplam yük
Genel Değerlendirme
Binanın taşıyıcı sistemi kirişsiz döşeme ve perdeler ile oluşturulmuştur. TBDY 2018 4.3.4.4 gereği kirişsiz döşemeleri içeren taşıyıcı sistemlerde, deprem etkilerinin tamamının süneklik düzeyi yüksek boşluklu ve/veya boşluksuz perdeler veya süenkilik düzeyi sınırlı boşluksuz perdeler tarafından karşılanması gerekir. Binanın BYS=3 olması ve süneklik düzeyi yüksek seçiminden dolayı taşıyıcı sistem tipi için A12 veya A13 taşıyıcı sistemlerinin seçilmesi gerekir.
Binanın X-X doğrultusunda süneklik düzeyi yüksek boşluklu perdeler ile süneklik düzeyi yüksek boşluksuz perdeler birlikte kullanılmıştır. Boşluklu perdeye uygun R ve D seçimi yapabilmemiz için öncelikle boşluklu perde bağ derecesi kontrolü yapmamız gerekir. TBDY 2018 4.5.4.5 koşuluna göre bu kontrol otomatik gerçekleştirilir.
Ancak güvenli tarafta kalmak adına süneklik düzeyi yüksek boşluksuz perde taşıyıcı sisteminin R katsayısının daha düşük olması nedeni ile X doğrultusu için süneklik düzeyi yüksek boşluksuz perde seçimi yapılmıştır.
Binanın Y doğrultusunda ise deprem etkilerinin tamamı süneklik düzeyi yüksek boşluksuz perdeler tarafından karşılanmaktadır.
Bağ Derecesi Hesabı ve Boşluklu Perde Kabulü
Binada çekirdekte iki adet U perde kolunun bağ kirişi ile bağlanması ile oluşturulan boşluklu perdelerin TBDY 2018 4.5.4.5 gereği bağlılık dereceleri kontrol edilmelidir. Eğer bağlılık derecesi 1/3’e eşit veya daha büyük olursa bu perde grubunu boşluklu perde olarak değerlendirebiliriz.
Bu hesapta önemli olan konu perde grubunun kendi içindeki rijitlik dağılımıdır. Bu nedenle hesap kolaylığı açısından çekirdek perde binadan ayrılarak ayrıca analiz edilecektir.
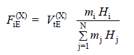
Bu hesapta en üst kattan en alt kata doğru ters üçgen birim yükleme yapılır. Yük dağılımı için eşdeğer deprem yükünün katlara göre dağıtımında kullanılan denklemler kullanılır. Tek farkı ise en üst katta ek bir kamçı kuvvetinin bulunmamasıdır. Burada dikkat edilecek husus bu yüklemenin bodrum katlara uygulanmamasıdır, bodrum kat üstündeki ilk kat ile son kat arasında bu işlem uygulanır.

Not: Bu denklemde yer alan VtE bu hesapta seçtiğimiz toplam yüktür. Yükün sayısal olarak değerinin bir önemi yoktur.
Hesap için kullanılan denklem ise şudur:

Burada MDEV bağ kirişli (boşluklu) perdenin tabanındaki toplam devrilme momentini, M1 ve M2 bağ kirişli perdeyi oluşturan perde parçalarında deprem etkisinden tabanda elde edilen eğilme momentlerini, NV ise deprem etkisinde bağ kirişlerinde oluşan kesme kuvvetlerinin, tüm perde yüksekliği boyunca toplamı olarak, perde parçalarının tabanında oluşan birbirine eşit çekme ve basınç eksenel kuvvetlerine karşı gelmektedir. c, perde parçalarının enkesit ağırlık merkezleri arasındaki uzaklığı göstermektedir.

ideCAD’de bu hesap boşluklu perde seçimi yapıldığında otomatik yapılır ve deprem yönetmeliği raporunda sonuçları detaylandırılır.

Bu kontrole göre çekirdek perdemiz boşluklu perde olarak değerlendirilmektedir. Ancak daha öncede belirtildiği gibi X doğrultusunda boşluklu ve boşluksuz perdelerin bir arada çalışmasından dolayı güvenli bölgede kalmak adına R ve D seçiminde boşluksuz perdeye uygun düzenleme yapılmıştır.
Seçilen R ve D Katsayıları
Her iki doğrultu için de A13 boşluksuz perde seçimi yapılmıştır.

Sonraki Konu