Örnek Rijitleştirilmiş Alın Levhalı 8 Bulonlu Birleşim Tasarımı
Birleşim Geometrisi


GEOMETRİ KONTROLLERİ
Bulonlar Arası Mesafe
smin ≥ 3d | ÇYTHYEDY 13.3.6 |
|
|
s | 90 mm |
|
|
d | 24 mm | s =90 mm > smin = 3*24=72 mm | √ |
Yatay Kenar Mesafesi
Leh ≥ Le- min | ÇYTHYEDY 13.3.7 |
|
|
Leh | 42.5 mm | ||
Le- min | 32 mm | Tablo 13.9 gereği minimum uzaklık kontrolü | √ |
Düşey Kenar Mesafesi
Lev ≥ Le- min | ÇYTHYEDY 13.3.7 |
|
|
Lev | 35 mm | ||
Le- min | 32 mm | Tablo 13.9 gereği minimum uzaklık kontrolü | √ |
Kiriş Gövdesi Alın Levhası Kaynak Kalınlığı
a ≥ a min |
|
|
|
a | 5 mm |
| √ |
a min | 3.5 mm | Tablo 13.4 | √ |
Berkitme Kiriş Başlığı Kaynak Kalınlığı
a ≥ a min |
|
|
|
a | 9 mm |
| |
a min | 4 mm | Tablo 13.4 | √ |
Berkitme Alın Levhası Kaynak Kalınlığı
a ≥ a min |
|
|
|
a | 9 mm |
| |
a min | 4 mm | Tablo 13.4 | √ |
Süreklilik Levhası - Kolon Başlığı Kaynak Kalınlığı
a ≥ a min |
|
|
|
a | 8 mm |
| |
a min | 4 mm | Tablo 13.4 | √ |
Süreklilik Levhası - Kolon Gövdesi Kaynak Kalınlığı
a ≥ a min |
|
|
|
a | 8 mm |
| |
a min | 4 mm | Tablo 13.4 | √ |
Birleşim Detayı Uygulama Sınırları (TBDY Tablo 9B.1)
Kiriş açıklığı/Kiriş enkesit yüksekliği | 8000 mm /450 mm=17.78 | ≥7.0 |
Alın levhası kalınlığı, tp | 25 mm | 18≤tp≤65 |
Alın levhası genişliği, bp | 215 mm | 215≤ bp≤ 400 |
Bulonlar arası yatay mesafe, g | 130 mm | 125≤g≤155 |
pfi | 40 mm | 40≤pfi≤50 |
pfo | 40 mm | 40≤pfi≤50 |
pb | 90 mm | 90≤pb≤100 |
Kiriş enkesit yüksekliği, db | 450 mm | 450≤ db≤ 950 |
Kiriş başlık kalınlığı, tbf | 14.6 mm | 14≤tbf≤35 |
Kolon enkesit yüksekliği | 450 | ≤ 920 mm |
Bulon sınıfı | 10.9 | 8.8 - 10.9 |
Alın levhası malzemesinin min akma gerilmesi | 275 MPa | 235 /275/355 MPa |
Başlık levhası kaynağı | CJP | CJP |
Dayanım Kontrolleri
Bulon Çapı
Muc | 810.184 kNm | AISC 358-16 (6.8-4) |
Ft | 750000 kN/m2 |
|
h1 | ![]() |
|
h2 | ![]() |
|
h3 | ![]() | |
h4 | ![]() | |
db | ![]() |
|
Gereken | Hazır | Oran | Kontrol |
|---|---|---|---|
20.946 mm | 24 mm | 0.873 | √ |
Alın Levhası Kalınlığı
Muc | 810.184 kNm | AISC 358-16 (6.8-5) |
Fyp | 275000 kN/m2 |
|
s | ![]() |
|
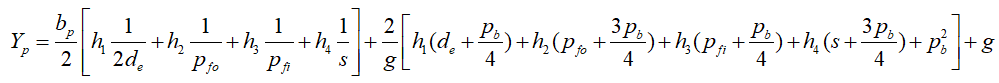
Yp | ![]() |
|
Yp | 6228.788 |
|
tp | ![]() |
|
Gereken | Hazır | Oran | Kontrol |
|---|---|---|---|
22.913 mm | 25 mm | 0.917 | √ |
Alın Levhası Berkitme Kalınlığı
tbw | 9.4 mm | AISC 358-16 (6.8-9) |
Fyb | 275000 kN/m2 |
|
Fys | 275000 kN/m2 |
|
ts | 15 mm |
|
| ![]() |
|
| ![]() |
|
Gereken | Hazır | Oran | Kontrol |
|---|---|---|---|
9.4 mm | 15 mm | 0.627 | √ |
Alın Levhası Berkitmede Yerel Burkulma
hs | 210 mm | AISC 358-16 (6.8-10) |
ts | 15 mm |
|
E | 205939650 kN/m2 |
|
Fys | 275000 kN/m2 |
|
| ![]() |
|
| ![]() |
|
Gereken | Hazır | Oran | Kontrol |
|---|---|---|---|
11 mm | 15.102 mm | 0.728 | √ |
Berkitme Kiriş Başlığı Kaynak Kalınlığı
Fys | 275000 kN/m2 | AISC DG 4-2nd 3.2.10 |
ts | 15 mm |
|
Fe | 480000 kN/m2 |
|
w | ![]() |
|
Gereken | Hazır | Oran | Kontrol |
|---|---|---|---|
8.103 mm | 12.73 mm | 0.637 | √ |
Berkitme Alın Levhası Kaynak Kalınlığı
Fys | 275000 kN/m2 | AISC DG 4-2nd 3.2.10 |
ts | 15 mm |
|
Fe | 480000 kN/m2 |
|
w | ![]() |
|
Gereken | Hazır | Oran | Kontrol |
|---|---|---|---|
7.938 mm | 8.487 mm | 0.935 | √ |
Mesnet Bulonda Kayma
Ab | ![]() |
Fn | ![]() |
Rn | ![]() |
ΦRn | ![]() |
Gereken | Hazır | Oran | Kontrol |
|---|---|---|---|
265.11 kN | 1465.74 kN | 0.181 | √ |
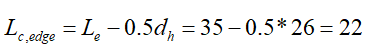
Alın Levhasında Bulon Deliği Ezilmesi
dh | 24+2=26 mm |
|
Lc,edge | ![]() |
|
Rn | ![]() | ÇYTHYEDY 13.3.13 Denklem 13.14a ve13.14b |
Rn-edge | ![]() |
|
Lc,spacing1 | ![]() |
|
Rn-spacing1 | ![]() |
|
Lc,spacing2 | ![]() | |
Rn-spacing2 | ![]() | |
Rn | ![]() |
|
ΦRn | ![]() |
|
Gereken | Hazır | Oran | Kontrol |
|---|---|---|---|
265.11 kN | 3854.52 kN | 0.069 | √ |
Kolon Başlığında Bulon Deliği Ezilmesi
dh | 24+2=26 mm |
|
Rn | ![]() | ÇYTHYEDY 13.3.13 Denklem 13.14a ve13.14b |
Rn-edge | ![]() | |
Lc,spacing1 | ![]() |
|
Rn-spacing1 | ![]() |
|
Lc,spacing2 | ![]() | |
Rn-spacing2 | ![]() | |
Rn | ![]() |
|
ΦRn | ![]() |
|
Gereken | Hazır | Oran | Kontrol |
|---|---|---|---|
265.11 kN | 5499.187 | 0.048 | √ |
Kiriş Gövdesi Alın Levhası Kaynak Kalınlığı
Fyp | 275000 kN/m2 | AISC 358-16 (6.7.6)3 |
tbw | 9.4 mm |
|
Fe | 480000 kN/m2 |
|
w | ![]() |
|
Gereken | Hazır | Oran | Kontrol |
|---|---|---|---|
5.078 mm | 7.072 mm | 0.718 | √ |
Kolon Başlık Kalınlığı
Muc | 810.184 kNm | AISC 358-16 (6.8-13) |
Fyc | 355000 kN/m2 |
|
s | ![]() |
|
Yc | ![]() |
|
Yc | ![]() |
|
tcf | ![]() |
Gereken | Hazır | Oran | Kontrol |
|---|---|---|---|
17.954 mm | 26 mm | 0.691 | √ |
Kayma Bölgesi Kalınlığı
tmin≥u/180 | ![]() | TBDY 2018 9.3.4.2b |
tmin=tw | 14 mm |
|
tw | 14 mm |
|
u | 1637.6 mm |
|
Gereken | Hazır | Oran | Kontrol |
|---|---|---|---|
9.098 mm | 14 mm | 0.65 | √ |
Sonraki Konu




































