Çelik Kolon Tasarım Örneği
PL007 isimli çelik kolonun tasarım dayanım kontrolü, TBDY 2018 9.3.1.3’e göre belirlenen ve genel analiz sonucu en elverişsiz iç kuvvetler altında yapılır. Kolonun malzeme ve kesit bilgileri şu şekildedir:
Çelik malzeme: S355 Fy=355 N/mm2 Fu=510 N/mm2
Enkesit: HEB 450
Ix = 79890 cm4 | Iy = 11720 cm4 | Jx = 440.5 cm4 | Cw = 5258000 cm6 |
Wex = 3551 cm3 | Wpx = 3982 cm3 | A= 218 cm4 | |
d=450 mm | h=344 mm | bf = 300 mm | tf = 26 mm |
tw = 14 mm | ix=191.4 mm | iy=73.3 mm |
Enkesit Koşullarının Kontrolü ( TBDY 9.3.1)
Kolon enkesitinin başlık genişliği / kalınlığı ve gövde yüksekliği / kalınlığı değerlerinin Tablo 9.3’te verilen λhd değerini aşıp aşmadığı kontrol edilmelidir.
Enkesit başlığı;
koşulu sağlar.
Enkesit gövdesi;
Analiz sonucu kolon tasarım noktası kesit tesirlerinden alınmıştır.
koşulu sağlar.
Enkesit koşulu kontrolü, çelik kolon raporunda TBDY 2018 Tablo 9.3’e göre yapılır ve tablo halinde özetlenir.

Eksenel Kuvvet Dayanımı
X ekseni etrafında eğilmeli burkulma sınır durumu hesabı şu şekildedir:
MPa
MPa
Y ekseni etrafında eğilmeli burkulma sınır durumu hesabı şu şekildedir:
MPa
MPa
kN
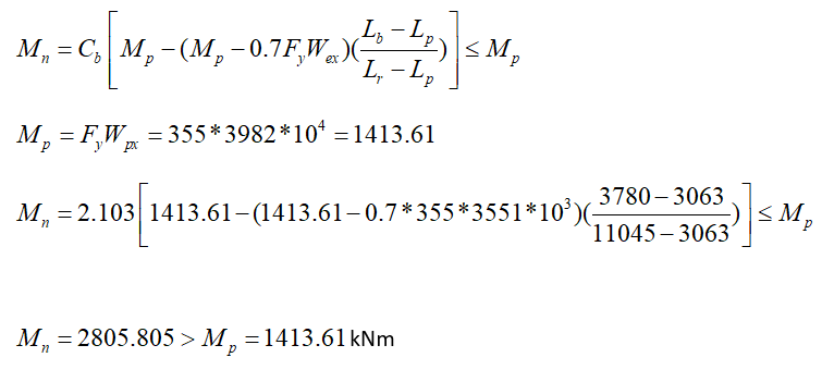
Eğilme Momenti Dayanımı
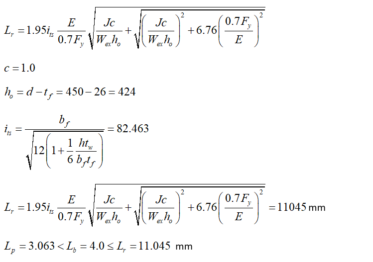
mm
mm
olduğundan Lr hesaplanır.

Bu durumda karakteristik eğilme momenti dayanımı, ÇYTHYE Denklem 9.3 ile hesaplanmalıdır. Bu hesapta kullanılan Cb, moment düzeltme katsayısı ilgili kolon üzerinde okunan moment değerlerine göre otomatik hesaplanmaktadır.


Birleşik etkiler altında tasarım kuralları gereği dayanım kontrolü şu şekilde yapılır:

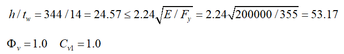
Kesme Kuvveti Dayanımı
Çift simetri eksenli I-enkesitte ÇYTHYE 10.2.1(a) maddesine göre,

ÇYTHYE 10.2’ye göre,

Eksenel Kapasite Kontrolü
Yukarıda birleşik etkiler altında tasarım için hesapladığımız eksenel basınç kapasitesinin yanı sıra TBDY 9.3.1.3 gereği eksenel çekme kuvvetinin de kontrolü gerekir. Bu kontrolde dikkat edilmesi gereken husus analizden elde edilen yatay deprem etkilerinin D, dayanım fazlalığı katsayısı, ile arttırılma zorunluluğudur.

Sonraki Konu