Çelik Kiriş Tasarım Örneği
PL019 isimli çelik kirişin tasarım dayanım kontrolü, TBDY 2018 9.3.1.4’e göre belirlenen ve genel analiz sonucu en elverişsiz iç kuvvetler altında yapılır. Kirişin malzeme ve kesit bilgileri şu şekildedir:
Çelik malzeme: S275 Fy=275 N/mm2 Fu=430 N/mm2
Enkesit: IPE 450
Ix = 33740 cm4 | Iy = 1676 cm4 | Jx = 66.87 cm4 | Cw = 791000 cm6 |
Wex = 1500 cm3 | Wpx = 1702 cm3 | A= 98.80 cm4 |
|
d=450 mm | h=378.8 mm | bf = 190 mm | tf = 14.6 mm |
tw = 9.4 mm | ix=184.8 mm | iy=41.2 mm |
|
Enkesit Koşullarının Kontrolü ( TBDY 9.3.1)
Kiriş enkesitinin başlık genişliği / kalınlığı ve gövde yüksekliği / kalınlığı değerlerinin Tablo 9.3’te verilen λhd değerini aşıp aşmadığı kontrol edilmelidir.
Enkesit başlığı;
koşulu sağlar.
Enkesit gövdesi;
Analiz sonucu eksenel kuvvet değeri düşük olduğu için 0 olarak kabul edilmiştir.
koşulu sağlar.
Enkesit koşullarının kontrolü, çelik kiriş raporunda TBDY 2018 Tablo 9.3’e göre yapılır ve tablo halinde özetlenir.

Kiriş Başlıklarının Yanal Doğrultuda Desteklenmesi

Yanal doğrultuda desteklenmemiş en uzun kiriş parçası Lb= 2.0 m ‘dir. TBDY 2018 9.2.8.1(a)’ya göre süneklik düzeyi yüksek kirişlerin alt ve üst başlıklarının desteklendiği noktalar arası uzaklık, Lb şu koşulu sağlamalıdır.


koşul sağlamaktadır.
Çelik kiriş raporunda kontrol sonuçları tablolar halinde verilmektedir.

Eğilme Momenti Dayanımı
Kiriş tasarım eğilme momenti dayanımının kontrolü yapılırken yanal tutulu boyların farklı olduğu için istasyon istasyon her bir bölme için yapılmalıdır. Elle hesapta kolaylık olması açısından en elverişsiz eğilme momentine maruz kalan Lb= 0.75 m’lik bölme için yapılacaktır.

şartından dolayı, karakteristik eğilme momenti dayanımı akma sınır durumuna göre hesaplanır. ÇYTHYE denklem 9.2’ye göre hesap şu şekilde yapılır:

Analiz sonucu 1.2G+Q-Ex-0.3Ey+0.2S+0.3Ez yüklemesi sonucu elde edilen gerekli eğilme momenti dayanımı, Mu= 203.637 kNm’dir.

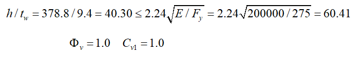
Kiriş Kesme Kuvveti Dayanımı
Çift simetri eksenli I-enkesitte ÇYTHYE 10.2.1(a) gereği,


1.2G+Q-Ex-0.3Ey+0.2S+0.3Ez yükleme kombinasyonu gereken kesme kuvveti Vu=12.818 kN olarak tespit edilmiştir. Enkesit kapasitesinin yeterli olduğu yukarıda gösterilmiştir.
Sonraki Konu