Çapraz Uç Birleşimi Tasarımı
Çapraz uç birleşimi, çelik çapraz elemanının kolona, kirişe veya kolon-kiriş düğüm noktasına bulon ve kaynakla birleştiren levhalar ile oluşturulur. Bulon kontrolü, kaynak kontrolü, levha kontrolü ve birleşim uygulama sınırları kontrolü birleşimin elemanlarının yerleşimine göre otomatik yapılır. Başlık Levhalı Bulonlu Birleşim tasarımı Çelik Yapıların Tasarım, Hesap ve Yapım Esasları (ÇYTHYEDY) veya AISC 360-16 yönetmeliklerine göre otomatik yapılır ve birleşim raporu oluşturulur.
Çapraz uç birleşimi hesabında, geometri kontrolünde yatay ve düşey bulon mesafeleri, alın levhası kaynak kalınlığı, süreklilik levhası kaynak kalınlığı ve uygulama sınırları kontrolü yapılır. Dayanım kontrolünde çapraz bulonunda kayma, levha bulon deliğinde ezilme, kayak kontrolü, Whitmore kesiti burkulması, levha basınç akması kontrolü yapılır.
Birleşim Geometrisi



Çapraz - Levha Birleşimi
GEOMETRİ KONTROLLERİ
Bulonlar arası mesafe
smin ≥ 3d | ÇYTHYEDY 13.3.6 |
|
|
s | 60 mm |
|
|
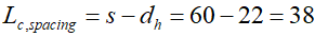
d | 20 mm | s =60 mm > smin = 3*20=60 mm | √ |
Yatay Kenar Mesafesi
Leh ≥ Le- min | ÇYTHYEDY 13.3.7 |
|
|
Leh | 33.5 mm | √ | |
Le- min | 26 mm | Tablo 13.9 gereği minimum uzaklık kontrolü | √ |
Düşey Kenar Mesafesi
Lev ≥ Le- min | ÇYTHYEDY 13.3.7 |
|
|
Lev | 40 mm | Leh ≥ 2d=2*20=40 mm uygulama için uygunluk kontrolü | √ |
Le- min | 26 mm | Tablo 13.9 gereği minimum uzaklık kontrolü | √ |
Kaynak Kalınlığı
a ≥ a min | ÇYTHYEDY 13.3.7 |
|
|
a | 4 mm |
| √ |
a min | 3.5 mm | Tablo 13.4 | √ |
Dayanım Kontrolleri
Çapraz Bulonunda Kayma
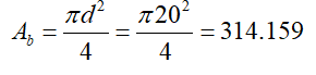
Ab | ![]() |
Fn | ![]() |
Rn | ![]() |
ΦRn | ![]() |
Gereken | Hazır | Oran | Kontrol |
|---|---|---|---|
367.989 kN | 424.115 kN | 0.868 | √ |
Levha Bulon Deliğinde Ezilme
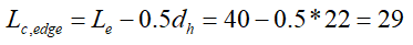
dh | 20+2=22 mm |
|
Lc,edge | ![]() |
|
Rn | ![]() | ÇYTHYEDY 13.3.13 Denklem 13.14a ve13.14b |
Rn-edge | ![]() |
|
Lc,spacing | ![]() |
|
Rn-spacing | ![]() |
|
Rn | ![]() |
|
ΦRn | ![]() |
|
Gereken | Hazır | Oran | Kontrol |
|---|---|---|---|
367.989 kN | 906.912 kN | 0.406 | √ |
Levha Bulon Deliğinde Ezilme
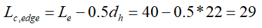
dh | 20+2=22 mm |
|
Lc,edge | ![]() |
|
Rn | ![]() | ÇYTHYEDY 13.3.13 Denklem 13.14a ve13.14b |
Rn-edge | ![]() |
|
Lc,spacing | ![]() |
|
Rn-spacing | ![]() |
|
Rn | ![]() |
|
ΦRn | ![]() |
|
Gereken | Hazır | Oran | Kontrol |
|---|---|---|---|
367.989 kN | 566.82 kN | 0.649 | √ |
Kaynak Dayanımı
Fe | 490000 kN/m2 |
w | Birleşim menüsünden alınan kaynak kalınlığı 0.707*w değeridir. 4/0.707=5.658 mm |
Fu-plate | 469.999 N/mm2 |
Fu-brace | 410 N/mm2 |
tplate | 16 mm |
tbrace | 10 mm |
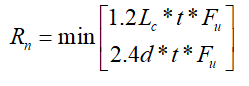
Rnw | ![]() |
Rn-plate | ![]() |
Rn-brace | ![]() |
RnBM | ![]() |
Rn | ![]() |
ΦRn | ![]() |
Gereken | Hazır | Oran | Kontrol |
|---|---|---|---|
367.989 kN | 493.92 kN | 0.745 | √ |
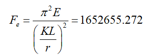
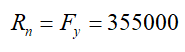
Whitmore Kesiti Burkulması
K | 0.65 | |
L | 153.5 mm | |
r | 2.887 mm | |
KL/r | 34.56 | |
Fy | 355 N/mm2 | |
Ag | 1881.409 mm2 | |
Fe | ![]() | |
![]() | ||
![]() | ||
Fcr | ![]() | |
Rn | ![]() | |
ΦRn | ![]() |
Gereken | Hazır | Oran | Kontrol |
|---|---|---|---|
367.989 kN | 549.42 kN | 0.670 | √ |
Levha Basınç Akması
K | 0.65 | |
L | 60 mm | |
r | 4.619 mm | |
KL/r | 8.44 | |
Fy | 355 N/mm2 | |
Ag | 2991.995 mm2 | |
Rn | ![]() | ÇYTHYEDY 13.20 |
ΦRn | ![]() |
Gereken | Hazır | Oran | Kontrol |
|---|---|---|---|
367.989 kN | 955.942 kN | 0.385 | √ |
Bayrak Levhası Mesnet Birleşimi
GEOMETRİ KONTROLLERİ
Kaynak Kalınlığı
a ≥ a min | ÇYTHYEDY 13.3.7 |
|
|
a | 4 mm |
| √ |
a min | 3.5 mm | Tablo 13.4 | √ |
Dayanım Kontrolleri
Levha Eksenel Akması
Fy | 355 N/mm2 | |
Z | ![]() | |
Fa | ![]() | |
N | 260.207 kN | |
M | 10.775 kNm | |
tg | 10 mm | |
lg | 347.279 mm | |
Fb | ![]() | |
Fn | ![]() | |
Rn | ![]() | |
ΦRn | ![]() |
Gereken | Hazır | Oran | Kontrol |
|---|---|---|---|
110666.08 kN/m2 | 319500 kN/m2 | 0.346 | √ |
Levha Kayma Akması
Fy | 355 N/mm2 | |
V | 260.207 kN | |
tg | 10 mm | |
lg | 347.279 mm | |
Fv | ![]() | |
Rn | ![]() | |
ΦRn | ![]() |
Gereken | Hazır | Oran | Kontrol |
|---|---|---|---|
74927.3 kN/m2 | 213000 kN/m2 | 0.352 | √ |
Kaynak Dayanımı
Fpeak | ![]() | |
Favg | ![]() | |
Rreq | ![]() | ÇYTHYEDY 13.3 |
tg | 10 mm | |
w | 5.658 mm | |
Fe | 480000 kN/m2 | |
θ | 55.9 ° | |
Rn | ![]() | |
ΦRn | ![]() |
Gereken | Hazır | Oran | Kontrol |
|---|---|---|---|
1363.764 kN/m | 2428.6 kN/m | 0.562 | √ |
Sonraki Konu
İlgili Konular










































