Çapraz Ek Birleşimi Tasarımı
Çapraz ek birleşimi, çelik çapraz elemanının kolona, kirişe veya kolon-kiriş düğüm noktasına bulon ve kaynakla birleştiren levhalar ile oluşturulur. Bulon kontrolü, kaynak kontrolü, levha kontrolü ve birleşim uygulama sınırları kontrolü birleşimin elemanlarının yerleşimine göre otomatik yapılır. Başlık Levhalı Bulonlu Birleşim tasarımı Çelik Yapıların Tasarım, Hesap ve Yapım Esasları (ÇYTHYEDY) veya AISC 360-16 yönetmeliklerine göre otomatik yapılır ve birleşim raporu oluşturulur.
Çapraz ek birleşimi hesabında, geometri kontrolünde yatay ve düşey bulon mesafeleri, alın levhası kaynak kalınlığı, süreklilik levhası kaynak kalınlığı ve uygulama sınırları kontrolü yapılır. Dayanım kontrolünde çapraz bulonunda kayma, levha bulon deliğinde ezilme, kayak kontrolü, Whitmore kesiti burkulması, levha basınç akması kontrolü yapılır.
Birleşim Geometrisi



Çapraz - Levha Birleşimi
Geometri Kontrolleri
Bulonlar arası mesafe
smin ≥ 3d | ÇYTHYEDY 13.3.6 |
|
|
s | 60 mm |
|
|
d | 20 mm | s =60 mm > smin = 3*20=60 mm | √ |
Yatay Kenar Mesafesi
Leh ≥ Le- min | ÇYTHYEDY 13.3.7 |
|
|
Leh | 57 mm |
| √ |
Le- min | 26 mm | Tablo 13.9 gereği minimum uzaklık kontrolü | √ |
Düşey Kenar Mesafesi
Lev ≥ Le- min | ÇYTHYEDY 13.3.7 |
|
|
Lev | 45 mm | Leh ≥ 2d=2*20=40 mm uygulama için uygunluk kontrolü | √ |
Le- min | 26 mm | Tablo 13.9 gereği minimum uzaklık kontrolü | √ |
Kaynak Kalınlığı
a ≥ a min | ÇYTHYEDY 13.3.7 |
|
|
a | 4 mm |
| √ |
a min | 3.5 mm | Tablo 13.4 | √ |
Dayanım Kontrolleri
Çapraz Bulonunda Kayma
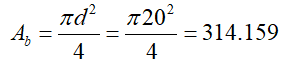
Ab | ![]() |
Fn | ![]() |
Rn | ![]() |
ΦRn | ![]() |
Gereken | Hazır | Oran | Kontrol |
|---|---|---|---|
169.593 kN | 212.058 kN | 0.800 | √ |
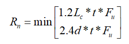
Levha Bulon Deliğinde Ezilme
dh | 20+2=22 mm |
|
Lc,edge | ![]() |
|
Rn | ![]() | ÇYTHYEDY 13.3.13 Denklem 13.14a ve13.14b |
Rn-edge | ![]() |
|
Lc,spacing | ![]() |
|
Rn-spacing | ![]() |
|
Rn | ![]() |
|
ΦRn | ![]() |
Gereken | Hazır | Oran | Kontrol |
|---|---|---|---|
169.593 kN | 456.84 kN | 0.371 | √ |
Levha Bulon Deliğinde Ezilme
dh | 20+2=22 mm |
|
Lc,edge | ![]() |
|
Rn | ![]() | ÇYTHYEDY 13.3.13 Denklem 13.14a ve13.14b |
Rn-edge | ![]() |
|
Lc,spacing | ![]() |
|
Rn-spacing | ![]() |
|
Rn | ![]() |
|
ΦRn | ![]() |
Gereken | Hazır | Oran | Kontrol |
|---|---|---|---|
169.593 kN | 304.56 kN | 0.557 | √ |
Kaynak Dayanımı
Fe | 490000 kN/m2 |
w | Birleşim menüsünden alınan kaynak kalınlığı 0.707*w değeridir. 4/0.707=5.658 mm |
Fu-plate | 469.999 N/mm2 |
Fu-brace | 410 N/mm2 |
tplate | 15 mm |
tbrace | 15 mm |
lw | 150 mm |
Rnw | ![]() |
Rn-plate | ![]() |
Rn-brace | ![]() |
RnBM | ![]() |
Rn | ![]() |
ΦRn | ![]() |
Gereken | Hazır | Oran | Kontrol |
|---|---|---|---|
169.593 kN | 529.2 kN | 0.320 | √ |
Whitmore Kesiti Basınç Akması
K | 0.65 |
|
L | 0 mm |
|
r | 2.887 mm |
|
KL/r | 0 |
|
Fy | 355 N/mm2 |
|
Ag | 1292.82 mm2 |
|
Rn | ![]() | ÇYTHYEDY 13.20 |
ΦRn | ![]() |
|
Gereken | Hazır | Oran | Kontrol |
|---|---|---|---|
169.593 kN | 413.056 kN | 0.411 | √ |
Levha Basınç Akması
K | 0.65 |
|
L | 65 mm |
|
r | 4.33 mm |
|
KL/r | 9.76 |
|
Fy | 355 N/mm2 |
|
Ag | 2009.999 mm2 |
|
Rn | ![]() | ÇYTHYEDY 13.20 |
ΦRn | ![]() |
|
Gereken | Hazır | Oran | Kontrol |
|---|---|---|---|
169.593 kN | 642.195 kN | 0.264 | √ |
Sonraki Konu
İlgili Konular
























