Sahaya Özel Deprem Yer Hareketi Spektrumu
ZF için sahaya özel yer hareketi spektrumu SS, S1, FS ve F1 değerleri girilerek kullanıcı tanımlı oluşturulabilir. SS, S1, FS ve F1 değerleri girildiğinde spektrum eğrisi ZF için otomatik oluşturulur.
ZF için sahaya özel yer hareketi spektrumu kullanıcı tanımlı oluşturulabilir. Periyot,T ve azaltılmış tasarım spektral ivme, SaR(T) değerlerinden oluşan fonksiyonu .txt dosyası biçiminde ideCAD Statik içerisine import edilebilir.
SİMGELER
T = Doğal titreşim periyodu [s]
TA = Yatay elastik tasarım ivme spektrumu köşe periyodu [s]
TB = Yatay elastik tasarım ivme spektrumu köşe periyodu [s]
FS = Kısa periyot bölgesi için yerel zemin etki katsayısı
F1 = 1.0 saniye periyot için yerel zemin etki katsayısı
SDS = Kısa periyot tasarım spektral ivme katsayısı [boyutsuz]
SD1 = 1.0 saniye periyot için tasarım spektral ivme katsayısı [boyutsuz]
SS = Kısa periyot harita spektral ivme katsayısı [boyutsuz]
S1 = 1.0 saniye periyot için harita spektral ivme katsayısı [boyutsuz]
Sae(T ) = Yatay elastik tasarım spektral ivmesi [g]
SaR(T ) = Azaltılmış tasarım spektral ivmesi [g]
D = Dayanım Fazlalığı Katsayısı
I = Bina Önem Katsayısı
R = Taşıyıcı Sistem Davranış Katsayısı
Ra(T) = Öngörülen süneklik kapasitesi ve periyoda bağlı Deprem Yükü Azaltma Katsayısı
λ = Göreli kat ötelemelerinin sınırlandırılmasında kullanılan ampirik katsayı
ZF için sahaya özel yer hareketi spektrumu iki şekilde tanımlanabilir.
SS, S1, FS ve F1 değerleri tanımlanarak spektrum eğrisi oluşturulabilir.
Kullanıcı tanımlı oluşturulan .txt dosyası programa import edilebilir.
SS, S1, FS ve F1 değerleri tanımlanarak oluşturulan spektrum eğrisi
Analiz ayarları sihirbazından ZF yerel zemin sınıfı seçilir.

Harita spektral ivme katsayıları SS, S1 ile yerel zemin etki katsayıları FS, F1 değerleri tanımlanır.

FS ve F1 değerleri ZF yerel zemin sınıfına göre kullanıcı tanımlı olarak girilmelidir.
Analiz ayarları sihirbazındaki diğer adımlar izlenir ve spektrum eğrisi oluşturulur.
Not defteri .txt formatındaki dosyayı import ederek spektrum eğrisi tanımlama
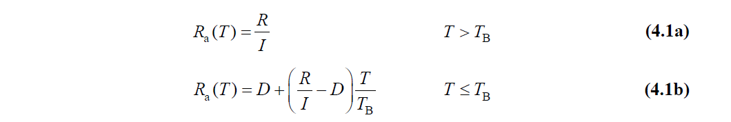
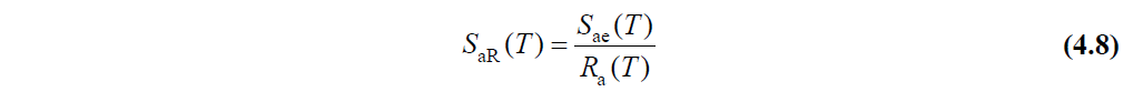
Öncelikle zemine özel çalışma neticesinde verilen spektrum için elde edilen alan T (periyot) ve Sae (elastik tasarım spektrumu için ivme) değerlerini TBDY 2018 Denklem 4.1a ve 4.1b ’yi kullanarak Ra değerleri hesaplanır. Ardından Denklem 4.8 ’de belirtildiği gibi Sae değerleri hesapladığınız Ra değerlerine bölünür. Bu şekilde programa tanımlanacak Elastik Tasarım spektrumunu elde etmiş olursunuz.


Elde ettiğiniz tasarım spektrumunu T (zaman) ve SaR (ivme) değerlerini txt dosyasına alınız. Txt dosyasında ondalık sayıların nokta ile yazıldığından emin olunuz.
Analiz ayarları sekmesini açınız.
TBDY 2018 Tasarım Spektrumları sekmesine geçiniz.
Tanımlı (ZF) yazan kutucuğu işaretleyiniz.

Karşınıza çıkan SaR(T) spektrumunu tanımlayınız uyarısını dikkate alınız. Tanımlayacağınız tasarım spektrumu TBDY 2018 - Denklem 4.8 kullanılarak R, I ve D değerlerine göre işlenmiş spektrum olmalıdır.
Tanımla kutucuğuna tıklayınız ikinci uyarı olarak Analiz ayarları seçeneklerinde yer alan R, I ve D değerlerinin doğruluğunu kontrol ediniz uyarısını dikkate alınız. Bu değerler göreli öteleme, ikinci mertebe vb. deprem yönetmeliği kontrollerinde kullanıldığı için önemlidir.

NOT: TBDY 4.3.2.4 gereği (4/5)R Uygula seçeneğinin işaretlenmesi gerektiği durumlarda spektrum eğrisini tanımlarken yukarıdaki adımları tekrardan uygulamak ve Ra katsayısını (4/5)R kullanılarak hesaplanması gerekir. R, D, I katsayılarının işlendiği spektrum eğrisinde R yerine 4/5R kullanılmalıdır.
Uyarıyı geçtikten sonra açılan pencerede import seçeneğini kullanınız. Daha önce oluşturduğunuz .txt dosyası import ediniz.
Yukarıda yapılan işlemleri tamamladığınızda aşağıdaki görselde gördüğünüz gibi bir eğri olması gerekir. Grafikte plato bölgesi olmamalıdır. Plato bölgesi mevcut ise elastik tasarım spektrumunu Ra ile azaltılmamış demektir. Bu durumda lütfen sayfanın başına dönün ve ilk 3 maddede özetlenen işlemleri eksiksiz yaptığınızdan emin olun.

TBDY 2018 Tasarım spektrumları sekmesinde ZF ‘in altında yer alan lambda (λ) katsayısını doğru girmeniz gerekmektedir. Program göreli öteleme değeri için hesapta lambda (λ) katsayısını kullanmaktadır. Mevcut durum için arayüzde bir adet değer girilebildiğinden x ve y yönlerinde kullanılmak üzere elverişsiz sonucu veren lambda (λ) katsayısını girebilirsiniz.

X ve Y deprem yönlerinde farklı Bina Taşıyıcı Sistemi seçilmiş ise R ve D katsayıları farklı olacağından SaR(T) spektrumu da iki yön için farklı tanımlanabilir.
Yapı ağacından Analiz → Tasarım Spektrum Analizi → Tasarım Spektrumu bölümünde sağ tuş menüyü açarak Yeni tasarım Spektrum Fonksiyonunu Ekle komutuna tıklayın.

TBDY 2018 Tasarım Spektrum Fonksiyonu penceresi açılacaktır. Yukarıda belirtilen işlemlerin aynısını uygulayarak SaR(T) spektrumunu ilgili deprem yönü için tanımlayınız. Burada fonksiyon adını ayırt edici bir şekilde değiştirmeniz uygun olacaktır. Bu örnek için X deprem yönünde tanımlanmak üzere fonksiyon adı “SaRX” olarak seçilmiştir.

Yapı ağacından Analiz → Tasarım Spektrumu Durumları → Yeni Tasarım Spektrumu bölümünde yer alan Ex veya Ey 'den ilgili olan deprem durumuna iki kere tıklayın. Tasarım Spektrum Durumu penceresi açılacaktır.

Tasarım Spektrum Durumu penceresinden ilgili deprem yönünde tanımladığınız fonksiyonu seçiniz. Bu örnekte X yönü için bir SaR(T) spektrumu tanımlandığından FX bölümünde fonksiyon olarak tanımladığımız “SaRX” fonksiyonunu seçiniz.

Benzer işlemler Y deprem yönü için de yapılarak iki farklı deprem yüklemesi için iki farklı SaR(T) spektrumu fonksiyonu tanımlanabilir.
Sonraki Konu