Eksenel Basınç Kuvveti Etkisinde Tasarım
Simgeler
Ag : Kayıpsız enkesit alanı
Ae : Etkin alan
c1, c2 : Tablo 8.2’de verilen etkin genişlik hata düzeltme katsayısı
Cw : Çarpılma sabiti
E: Yapısal çelik elastisite modülü
Fcr : Kritik burkulma gerilmesi
Fe : Elastik burkulma gerilmesi
Fe1 : Denklem 8.25 ile hesaplanan yerel elastik burkulma gerilmesi
Fey : y- ekseni etrafında eğilmeli burkulma sınır durumunda elastik burkulma gerilmesi
Fez : Burulmalı burkulma sınır durumunda elastik burkulma gerilmesi
Fy : Yapısal çelik karakteristik akma gerilmesi
G : Yapısal çelik kayma modülü
H : Eğilme sabiti
J : Burulma sabiti
K : Burkulma boyu katsayısı
L : Desteklenen noktalar arasında kalan eleman uzunluğu
Lc : Eleman burkulma boyu (=KL)
Lcz : z ekseni etrafında eleman burkulma boyu (=KL)
Ix, Iy : İlgili asal eksen etrafında atalet momenti
i : Atalet yarıçapı
λ : Yerel burkulma oranı
λr : Tablo 5.1a’ da verilen yerel burkulma sınır değeri
Eğilmeli Burkulma Sınır Durumu
Eğilmeli Burkulma; çift simetri eksenli H, kutu ve boru kesitler ile tek simetri eksenli U ve T kesitlerde görülen kesitin asal eksenlerinden biri etrafında eğilmesi ile ortaya çıkan burkulma sınır durumudur.
ÇYTHYE 2018 ile Tasarım
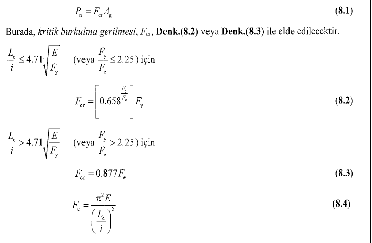
Eksenel kuvvetin kesit ağırlık merkezinden etkimesi durumuna göre, elemanların basınç dayanımı belirlenir. Yönetmelik gereği, eğilmeli burkulma sınır durumu, enkesit özelliklerinden bağımsız olarak, tüm basınç elemanlarında dikkate alınır. Bunun için kullanılan denklemler sıra ile aşağıda verilmiştir.
Öncelikle yerel burkulma kontrolü yapılmalıdır. Elemanların narin veya narin olmamasına göre hesap yapılır.
Narin Olmayan Enkesitte Basınç Kuvveti Dayanımı


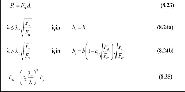
Narin Enkesitte Basınç Kuvveti Dayanımı


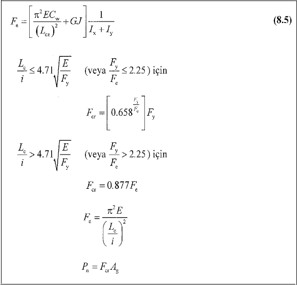
Burulmalı Burkulma Sınır Durumu
Burkulmanın, elemanın boyuna ekseni etrafında dönmesiyle oluşması durumudur. Artı (+) şekilli yapma elemanlar veya sırt sırta yerleştirilmiş 4 korniyerden oluşan açık enkesitli basınç elemanlarında meydana gelmektedir.
ÇYTHYE 2018 ile Tasarım
Eksenel kuvvetin kesit ağırlık merkezinden etkimesi durumuna göre, elemanların basınç dayanımı belirlenir.
Burkulmanın, elemanın boyuna ekseni etrafında dönmesiyle oluştuğu burulmalı burkulma sınır durumunda (+ şekilli yapma enkesitli veya sırt sırta yerleştirilmiş 4 korniyerden oluşan açık enkesitli basınç elemanları) elastik burkulma gerilmesi, Fe denklem 8.5 ile hesaplanır.


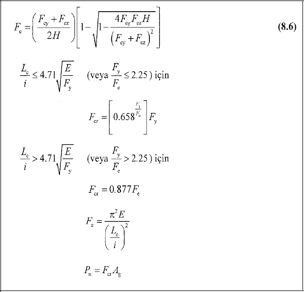
Eğilmeli Burulmalı Burkulma Sınır Durumu
Simetri ekseni y-ekseni olmak üzere, y-ekseni etrafında burkulmanın, elemanın eğilmesi ve boyuna ekseni etrafında dönmesiyle oluştuğu eğilmeli - burulmalı burkulma sınır durumunda çift korniyerler, T - enkesitler, U- profiller ve eşit kollu tek korniyer gibi tek simetri eksenine sahip enkesitlerden oluşan basınç elemanlarının simetri eksenleri etrafında burkulmasıdır.
ÇYTHYE 2018 ile Tasarım
Eksenel kuvvetin kesit ağırlık merkezinden etkimesi durumuna göre, elemanların basınç dayanımı belirlenir.
Simetri ekseni y-ekseni olmak üzere, y-ekseni etrafında burkulmanın, elemanın eğilmesi ve boyuna ekseni etrafında dönmesiyle oluştuğu eğilmeli - burulmalı burkulma sınır durumunda elastik burkulma gerilmesi, Fe denklem 8.6 hesaplanmaktadır.


Sonraki Konu