Kolon ve Perdeler için etkin Göreli Kat Ötelemesi Hesabı (4.9)
- (X) deprem doğrultusunda herhangi bir kolon veya perde için, ardışık iki kat arasındaki yerdeğiştirme farkını ifade eden azaltılmış göreli kat ötelemesi, ∆i(X) , Denk.(4.32) ile otomatik elde edilir. 
- Denk.(4.32) ’de ui(X) ve ui-1(X) , tipik (X) deprem doğrultusu için binanın i ’inci ve (i–1) ’inci katlarında herhangi bir kolon veya perdenin uçlarında azaltılmış deprem yükleri’ne göre hesaplanan yatay yerdeğiştirmeleri göstermektedir. Ancak bu hesapta 4.7.3.2 ’de verilen koşul ve ayrıca Denk.(4.19) ’da tanımlanan minimum eşdeğer deprem yükü koşulu otomatik olarak gözönüne alınmaz. 
- Tipik (X) deprem doğrultusu için, binanın i’inci katındaki kolon veya perdeler için etkin göreli kat ötelemesi, δi(X) , Denk.(4.33) ile otomatik elde edilir. 
- Gevrek malzemeden yapılmış boşluklu veya boşluksuz dolgu duvarlarının ve cephe elemanlarının çerçeve elemanlarına, aralarında herhangi bir esnek derz veya bağlantı olması veya olmaması durumu kullanıcı inisiyatifindedir. 
- Her bir deprem doğrultusu için, binanın herhangi bir i’inci katındaki kolon veya perdelerde, Denk.(4.33) ile hesaplanan δi(X) etkin göreli kat ötelemelerinin kat içindeki en büyük değeri δi,max(X) , Kullanıcı seçimine bağlı olarak, Denk.(4.34a) veya (4.34b) ’de verilen koşullara göre otomatik kontrol edilir. 
SİMGELER
| D | Dayanım fazlalığı katsayısı | 
| hi | i’inci katın yüksekliği | 
| I | Bina önem katsayısı | 
| R | Taşıyı sistem davranış katsayısı | 
| Sae(T) | Yatay elastik tasarım spektral ivmesi [g] | 
| SaR(T) | Azaltılmış tasarım spektral ivmesi [g] | 
| SDS | Kısa periyot tasarım spektral ivme katsayısı [boyutsuz] | 
| SD1 | 1.0 saniye periyot için tasarım spektral ivme katsayısı [boyutsuz] | 
| T | Doğal titreşim periyodu [s] | 
| TA | Yatay elastik tasarım ivme spektrumu köşe periyodu [s] | 
| TB | Yatay elastik tasarım ivme spektrumu köşe periyodu [s] | 
| TL | Yatay elastik tasarım spektrumunda sabit yerdeğiştirme bölgesine geçiş periyodu [s] | 
| ui(X) | (X) deprem doğrultusunda herhangi bir kolon veya perde için, i’inci kattaki azaltılmış yerdeğiştirme | 
| Δi(X) | (X) deprem doğrultusunda herhangi bir kolon veya perde için, ardışık iki kat arasındaki yerdeğiştirme farkını ifade eden azaltılmış göreli kat ötelemesi | 
| δi(X) | (X) deprem doğrultusu için, binanın i’inci katındaki kolon veya perdeler için etkin göreli kat ötelemesi | 
| δi,max(X) | (X) deprem doğrultusu için, binanın i’inci katındaki kolon veya perdeler için etkin göreli kat ötelemesi | 
| λ | Göreli kat ötelemelerinin sınırlandırılmasında kullanılan ampirik katsayı | 
| κ | İzin verilen göreli kat ötelemelerinin tanımında betonarme ve çelik taşyıcı sistemler için farklı olarak kullanılan katsayı | 
TBDY göreli kat ötelemesi kontrolünü kat bazında değil her bir kolon için yapılmasını istemektedir. Göreli kat ötelemesi kontrolünde kat için ortalama deplasmandan söz edilemez. TBDY 4.9.1.3 'te bu husus açıkça belirtilerek “etkin göreli kat ötelemelerinin en büyük değeri” şeklinde vurgu yapmıştır.
Tablo 4.1 ’e göre belirlenen Deprem Yükü Azaltma Katsayısı, R ile yapılan analiz sonucunda azaltılmış deprem yükleri altında kolon ve perdelerde oluşan yatay yer değiştirme değerlerini bulmak için Denklem 4.32, R ile azaltılan sismik yükler altında kolon ve perdelerin analiz sonucu yatay yer değiştirme değerlerini bulmak için kullanılır.
Öncelikle, her bir katta tüm kolon ve perdelerin yerdeğiştirmeleri her bir mod için elde edilir. Ardından, ardışık iki kat arasında yatay yer değiştirme farkları her bir mod için elde edilen yer değiştirmeler kullanılarak hesaplanır ve deprem yönetmeliğine uygun bir yöntem (CQC veya SRSS) ile birleştirilir.

Her bir düşey taşıyıcı için etkin göreli kat ötelemesi Denklem 4.33 ile belirlenir. Bu denklemde yer alan R/I bölümü 'eşit yer değiştirme kuralı 'nın sonucu olarak ‘etkin’ göreli kat ötelemesinin azaltılmamış deprem yüklerine göre hesabına karşı gelmektedir.

Hesapta kullanılan R ve I değerleri Analiz Ayarları raporunda TBDY Seçenekleri tablosunda mevcuttur.
TBDY 4B.2.3 'te Modal Davranış Büyüklüğü yerdeğiştirme, göreli kat ötelemesi ve iç kuvvet bileşeni olarak tanımlanmıştır. Bu nedenle Mod Birleştirme Yöntemi uygulanırken bu büyüklüklerin hepsi birbirinden bağımsız düşünülmelidir.
Göreli kat ötelemeleri değerleri Mod Birleştirme Yöntemi kullanılarak elde edilir. Denklem 4.32 'de verilen Δi(x) değerleri her bir mod için hesaplanır. Dinamik analiz sonucu hesaplanan her bir mod şekli için, binanın i 'inci ve (i-1) 'inci katlarında herhangi bir kolon veya perdenin uçlarında azaltılmış deprem yükleri 'ne göre hesaplanan yatay yerdeğiştimeleri ui(X) ve ui-1(X) hesaplanır. Her bir mod için, Denklem 4.32 'de verilen Δi(x) değeri, ui(X) ve ui-1(X) ayrı ayrı hesaplanır ve TKB (CQC) yöntemi kullanılarak mod birleştirme uygulanır. Bu sayede birleştirilmiş Δi(x) değeri elde edilmiş olur. Benzer şekilde herhangi bir düğüm noktası yerdeğiştirme değerleri Mod Birleştirme Yöntemi kullanılarak elde edilir. Bu durumda herhangi bir i 'inci katın j düğüm noktasındaki yerdeğiştirme değeri ui(X) olarak adlandırılırsa, düğüm noktası yerdeğiştirmesi veya kat yerdeğiştirmesinin bulunması için binanın modal analiz sonucu her bir titreşim modunda hesaplanan ui(X) değerleri TKB (CQC) yöntemi kullanılarak mod birleştirme uygulanır. Bu sayede düğüm noktası veya kat yerdeğiştirme değeri bulunmuş olur.
ÖNEMLİ NOT: Yukarıda bahsedilen ve Mod Birleştirme Yöntemi kullanılarak elde edilen göreli kat ötelemeleri ve kat yerdeğiştirme değerlerinin TKB (CQC) yöntemi kullanılarak birleştirilmesinden ötürü, kat yerdeğiştirmeleri arasındaki fark göreli kat ötelemesi değeri ile birebir uyuşmayacaktır.
λ Katsayısının Belirlenmesi
4.9.1.4 'de bahsi geçen parametre, aşağıdaki formül ile hesaplanır. Bu formülde yer alan DD-3 ve DD-2 TBDY Bölüm 2.2, Deprem Yer Hareketi Düzeyleri bölümünde anlatılır. Bu iki deprem düzeyine ait veriler, Analiz Ayarları Sihirbazı Tasarım spektrumları sekmesinde mevcuttur.

Analiz Ayarları Sihirbazı ile DD-3 ve DD-2 Parametrelerinin Elde Edilmesi
DD-2 ve DD-3’e ait elastik tasarım spektrumların belirlenmesi için ilgili bölümün AFAD verilerine uygun doldurulması gerekir. Çevrimiçi ve çevrimdışı seçenekleri kullanıldığında ideCAD, giriş yapılan enlem ve boylama göre ilgili parametreleri otomatik doldurur. Girilen enlem ve boylam değerlerinden sonra mutlaka çevrimiçi veya çevrimdışı seçeneklerinden biri kullanılmalıdır. Aksi takdirde arayüzde set değerleri kalacaktır, bu da doğru deprem yükü ve λ katsayısının hesaplanamamasına sebebiyet verir.

2.3.4 Elastik Tasarım spektral ivmesi nasıl hesaplanır?
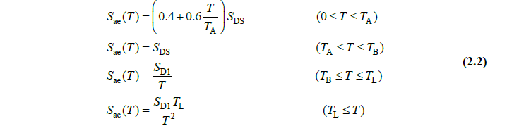
DD-3 ve DD-2 için TBDY 2.3.4 ’e uygun olarak spektrumlar elde edilir. Hesabı yapabilmek için gerekli olan bağıntılar aşağıda sırası ile Denklem 2.2 ve 2.3 'te verilmiştir.


Sabit yerdeğiştirme bölgesine geçiş periyodu TL = 6 s alınacaktır.

Şekil 2.1
- Yukarıda arayüzde analiz ayarları sihirbazından DD-2 başlığının altında tablodaki verilen Sds ve SD1 değerleri, Denklem 2.3 'de yerine konulur ve köşe periyotları olan Ta ve Tb belirlenir. Spektruma ait TL = 6 s değeri yönetmelikte verilmiştir. Öncelikle bu 3 adet periyot hesaplanır. 
- T=0' dan başlamak üzere uygun bir yaklaşıklık için 0.05 aralıklarla T değerleri 8 s ’ye kadar yazılır. 
- Denklem 2.2 ’de 0≤T≤Ta aralığı için verilen fonksiyonda SDS ve Ta yukarıda belirlenmişti, bu değerler kullanılarak ilgili periyotlara karşı denk gelen Sae(T), elastik spektral ivme değerleri belirlenir. 
- Ta ≤T≤Tb için Sae (T)=SDS kullanılarak eğrinin plato kısmı elde edilir. 
- TB≤T≤TL aralığı için TL=6 s olacak şekilde Denklem 2.2 ’de verilen fonksiyon ile Sae(T) belirlenir. 
- TL≤T için Denklem 2.2 ’de verilen en alttaki fonksiyon kullanılarak Sae(T) belirlenir. Bu işlem T=8s 'de sonlandırılır. 
- Elde edilen T ve Sae(T) değerleri kullanılarak Şekil 2.1 ’deki eğri çizilir. 
- (1-7) adımları DD-3 deprem düzeyi içinde uygulanır ve iki adet eğri elde edilir. 
- Dinamik analiz raporu alınır. Analiz ayarları, genel ayarlar sekmesinde dinamik ekdışmerkezlik yöntemi seçili ise ideCAD’de üst yapı için 4 adet dinamik analiz yapılacaktır. Bunlardan E1-E2 x yönü ‘+' ve '-’ % 5 dışmerkezliği E3-E4 ise Y yönü ‘+' ve '-’ % 5 ifade eder. X ve Y yönü için dört modal analiz sonucuna da aşağıda belirtildiği gibi bakılmalı ve elverişsiz olan seçilmelidir. 
- Dinamik analiz raporunda, Modal Kütle Katılım Oranları tablosuna gidilir. Tabloda ux ve uy sütunları altında verilen oranlar sadece ilgili moda ait kütle katılım oranlarıdır. 
- Tablodan, önce ux sütunu altında yer alan en yüksek kütle katılım oranını belirleyip, aynı satırda solda yer alan periyod (T) değerini okunur. Bu işlem sonucu 4 adet x yönü hakim titreşim periyodu belirlenmiş olur. Bu periyodlardan en büyük kütle katılım oranına sahip olan seçilir. Aynı işlem uy içinde gerçekleştirilir. Böylece X ve Y yönleri için lamda hesabında kullanılacak ilgili yön hakim titreşim periyodları tespit edilir. 
- Belirlenen X yönü periyodu daha önce oluşturulan iki eğride de yerine konur ve periyoda karşılık gelen Sae(T) değerleri belirlenir. λ katsayısının belirlenmesi için aşağıdaki denklem uygulanır. Aynı işlem Y yönü içinde gerçekleştirilir. 

Bu işlem sonunda X ve Y yönleri için ayrı ayrı lamda katsayıları belirlenmiş olunur.
Etkin Göreli Kat Öteleme Sınır Değerinin Belirlenmesi
- 4.9.1.4’a göre κ katsayısı ise betonarme binalarda κ =1 , çelik binalarda κ = 0.5 alınacaktır. Analiz Ayarları raporu - TBDY Seçenekleri tablosunda bina sistemi alt başlığında yapılan seçime uygun betonarme veya çeliğe uygun κ katsayısı kullanılır. 
- Analiz Ayarları raporu - TBDY Seçenekleri tablosunda ‘Gevrek malzemeden yapılmış dolgu duvarların veya cephe elemanlarının çerçeve elemanlarına bağlantısı’ başlığındaki 4.9.1.3a ve 4.9.1.3b seçimine göre hangi denklemin kullanılacağı tespit edilir. 4.9.1.3a seçiminde Denklem 4.34a, 4.9.1.3b seçiminde ise Denklem 4.34b kullanılır.   
- Denklem 4.34a ve 4.34b ‘de kullanılan hi ilgili katın yüksekliğini ifade eder, kolon/perde yüksekliği olarak ideCAD’den okunur. 
- Denklem 4.34 'ün tüm parametreleri yerine konulur ve karşılaştırma yapılır. 
Sonraki Konu
