Göreli Kat Ötelemesi Lamda Değerleri Hesabı Örneği 1

DD2 ön değerler
SDS =0.974
SD1 = 0.669
Ta = 0.2*SD1 /SDS = 0.2*0.669/0.974 =0.137
Tb = SD1 / SDS =0.669 / 0.974 =0.686
DD3 ön değerler
SDS=0.644
SD1=0.353
Ta = 0.2*SD1 /SDS = 0.2*0.353/0.644 =0.109
Tb = SD1 / SDS =0.353 / 0.644 =0.548
Dinamik analizden, E1 , E2 , E3 ve E4 yüklemelerinde kendi yönüne uyumlu en büyük modal katılım oranları okunarak x ve y yönü için ’er adet hakim titreşim periyodu belirlenir. X yönü için belirlenen 4 adet periyoddan en büyük kütle katılım oranına sahip olan seçilir. Aynı işlem Y yönü içinde yapılır.
Modal E1

Modal E2

Modal E3

Modal E4

x yönü için Modal E1 → T=0.51581 sn
y yönü için Modal E3 → T=0.64633 sn
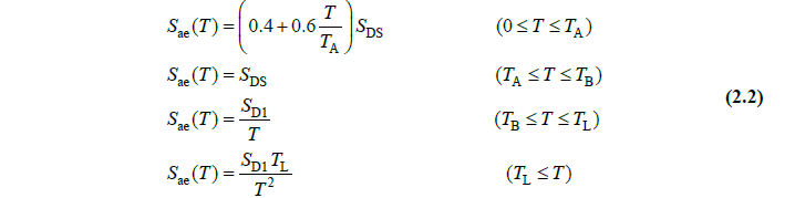
Sae(T) değerlerinin bulunması

X Yönü için Hesap
DD3
T=0.51581 sn için
Ta= 0.106 < T=0.51581 < Tb=0.548 -> Sae(T)=SDS= 0.644
DD2
T=0.51581 sn için
Ta= 0.137 < T= 0.51581 < Tb=0.686 -> Sae(T)=SDS = 0.974
Lamda = 0.644 / 0.974 =0.661
Y Yönü için Hesap
DD3
T=0.64633 sn için
T=0.64633 > Tb=0.548-> Sae(T)=SD1/T= 0.353/ 0.64633=0.546
DD2
T= 0. 64633 sn için
Ta=0.137 < T =0.64633 < Tb=0.686 -> Sae(T)=SDS=0.974
Lamda = 0.546 / 0.974=0.5605
X yönü 1. Kat -%5 -> 0.661 * 40.56 /2880 = 0,00931 > 0.008 sağlanmıyor
Y yönü 1.kat -%5 -> 0.5605*56.09/2880 = 0.01091> 0.008 sağlanmıyor
