Modal Sözde İvme Artımı, Modal Deplasman Artımı ve Birikimli Ölçek Katsayısı Belirlenmesi
İtme analizinin her bir adımında modal sözde ivme atrımı, modal deplasman artımı ve birikimli ölçek katsayısı otomatik belirlenir.
ARSA yöntemi yerdeğiştirme kontrollü bir itme analiz yöntemidir. Yöntemde modal yerdeğiştirme artımları yapının anlık dinamik karakteristiklerine göre elde edilen doğrusal olmayan spektral yerdeğiştirme değerine göre ölçeklendirilir. Bir önceki adımda her bir n 'inci titreşim modunda modal ölçeklendirme değerini bulmak için sistemin elastik spektral yerdeğiştirme, Sden(1) değeri eşit yerdeğiştirme kuralından yararlanılarak bulunmuştu.
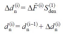
Modal deplasman (yerdeğiştirme) artımı, Δdn(i) aşağıda gösterilen denklem ile bulunur. Δdn(i) terimindeki “n” indisi kaçıncı modda ve ( i ) indisi de kaçıncı adımda işlem yapıldığını ifade etmektedir.

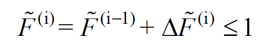
:art_ölç_kat: ( i ) 'inci adımda bütün modlar için sabit artımsal spektrum ölçek katsayısını ifade etmektedir. Böylece her bir itme adımındaki modal yerdeğiştirme artımları, tek bir parametreye bağlı olarak ifade edilmiş olur. :art_ölç_kat: bir ölçek katsayısı olduğundan bir sonraki itme adımına geçebilmek için bu değerin hesaplanması gerekmektedir.
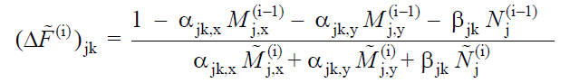
Bu değerin hesaplanması için, yapının i 'inci adımındaki yapılan doğrusal (lineer) mod birleştirme analizi sonucunda, :r_cizgi_ij: , herhangi bir ( j ) noktasında veya kesidinde hesaplanan tipik yerdeğiştirme, plastik şekildeğiştirme veya iç kuvvet değerinin bulunması gerekmektedir. Bu değer aynı zamanda :art_ölç_kat: =1 alınarak hesaplanan değer anlamına da gelmektedir. :r_cizgi_ij: değeri yapıdaki tüm noktaların iç kuvvet, şekil değiştirme, yerdeğiştirme veya plastik dönmelerini temsil etmektedir. Plastik mafsal oluşum noktasının bulunabilmesi için plastik mafsal tanımlanmış tüm noktalarda eksenel kuvvet ve iki eksendeki moment değerlerinin bulunması gerekir. Herhangi bir i 'inci adımda :art_ölç_kat: =1 alınarak mod birleştirme yöntemi ile yapılmış herhangi bir ( j ) noktasındaki iç kuvvet değerlerinden Normal kuvvet değerini :N_cizgi_ij: , ( x ) eksenindeki momenti :Mx_cizgi_ij: ile ve ( y ) eksenindeki momenti :My_cizgi_ij: olsun. Bir önceki adımda hesaplanan normal kuvvet değeri Nj(i-1) , ( x ) eksenindeki momenti Mj,x(i-1) ve ( y ) eksenindeki momenti Mj,y(i-1) olarak temsil edilmektedir. Bu durumda herhangi bir j potansiyel plastik kesitinde, bütün (k) akma yüzeyleri için elde edilen :art_ölç_kat: değeri aşağıda gösterilmiştir.

Burada α ve β katsayıları elemanın akma yüzeyinin bulunması için gerekli katsayılardır ve eksenel kuvvet ile iki eksenli eğilme etkileşim denkleminin bir katsayısıdır. Bu denklemi kurmak yerine moment-eğrilik analizi ile elde edilmiş üç boyutlu etkileşim eğrisi kullanılabilir. Bu durumda akma yüzeyleri belirlenip artımsal spektrum ölçek katsayısı hesaplanabilir. Eğer akma yüzeyi aşılmış ise bu noktada bir plastikleşme olmuştur anlamına gelmektedir.

Birikimli ölçek katsayısı,:art_ölç_kat: değeri i 'inci adımda bütün ( j ) noktaları için hesaplanır ve en küçük değer :art_ölç_kat: olarak bütün modlar için kullanılır.
Sden(1) ve :art_ölç_kat: bulunduktan sonra (i)’inci itme adımında n ’inci moda ait modal yerdeğiştirme artımı Δdn(i) ve (i) ’inci itme adımı sonunda n ’inci moda ait modal yerdeğiştirme dn(i) değerleri aşağıdaki denklemler ile bulunmaktadır. Ancak bu değerler her bir doğrultu için bulunmalıdır. Örnek bir ( X ) doğrultusunda (i)’inci itme adımında n ’inci moda ait modal yerdeğiştirme artımı Δdxn(i) ve (i) ’inci itme adımı sonunda n ’inci moda ait modal yerdeğiştirme dxn(i) şeklinde ifade edilmektedir. Benzer şekilde ( Y ) doğrultusu için aynı ifadeler sırasıyla Δdyn(i) ve dyn(i) olarak ifade edilmektedir. Bu değerler aşağıdaki bağıntılar ile bulunmaktadır.

Örnek bir ( X ) doğrultusu için, Δαxn(i) (i)’inci adımda tüm modlara ait modal ivme artımları ve (i)’inci itme adımının sonundaki birikimli modal ivme değeri αxn(i) şeklinde ifade edilir. Benzer şekilde ( Y ) doğrultusu için, Δαyn(i) (i)’inci adımda tüm modlara ait modal ivme artımları ve (i)’inci itme adımının sonundaki birikimli modal ivme değeri αyn(i) şeklinde ifade edilir. Bu değerler aşağıdaki bağıntılar ile bulunmaktadır.

ωn(i) (i)’inci itme adımında, o adımdaki plastik kesit konfigürasyonu gözönüne alınarak belirlenen n’inci titreşim moduna ait doğal açısal frekans anlamına gelir. (i)’inci adımda yapılan dinamik analiz sonuçlarından elde edilmektedir.
Yatay eksende modal yerdeğiştirmelerin, dn(i) ve düşey eksende modal ivmelerin, αn(i) temsil edildiği tipik modal kapasite diyagramları aşağıdaki şekilde gösterilmiştir.

Her i 'inci itme adımı sonunda hesaplanan birikimli sprektrum ölçek katsayısının, :f_cizgi_i: en büyük değeri olan birim değeri aşıp aşmadığı kontrol edilir. Aşmaması durumunda analize devam edilir.
