İstem Büyüklüklerinin Belirlenmesi ve İtme Analizinin Sonlandırılması
İtme analizinin her adımında artımsal spektrum ölçek katsayısı kontrol edilerek itme analizinin son adımı otomatik hesaplanır.
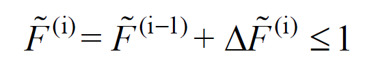
Artımsal Mod Birleştirme Yöntemi 'nde modal yerdeğiştirmeler en büyük değerlerine bütün modlarda birlikte ulaşırlar. Her i 'inci itme adımı sonunda hesaplanan birikimli sprektrum ölçek katsayısının, :f_cizgi_i: en büyük değeri olan birim değeri aşıp aşmadığı aşağıdaki denklem ile kontrol edilir. :art_ölç_kat: ( i ) 'inci adımda bütün modlar için sabit artımsal spektrum ölçek katsayısını ifade etmektedir.

Her adım sonunda maksimum değer olan birim değeri aşıp aşmadığı kontrol edilen :f_cizgi_i: değeri eğer en yüksek değeri aşmamış ise itme analizine bir sonraki adıma geçilerek devam edilir. Aşması durumunda ise varılan itme adımı son itme adımı olarak tanımlanan (p) üst indisi ile temsil edilir. :f_cizgi_p: =1 olduğu gözönünde tutularak, son adıma ait artımsal spektrum ölçek katsayısı aşağıdaki denklem ile hesaplanır.

Ancak ( X ) ve ( Y ) deprem doğrultuları için Modal Sözde İvme Artımı, Modal Deplasman Artımı ve Birikimli Ölçek Katsayısı Belirlenmesi başlığında anlatılan n 'inci moddaki modal yerdeğiştirmelerinin, Δdyn(p) ve Δdxn(p) son itme adımında aşağıdaki şekilde yeniden tanımlanması gerekmektedir.

Herhangi bir modda CRn>1 olması durumunda deprem verisi olarak Sden(1) yerine CRnSden(1) olarak alınır. Yukarıdaki denklemde bu durum gösterilmiştir. Deprem verisinin CRnSden(1) şeklinde alınmasından ötürü Mod Birleştirme Yöntemi ile hesaplanan :r_cizgi_xi: ve :r_cizgi_yi: büyüklükleri CRnSden(1) kullanılarak hesaplanmalıdır. Bu durumda son adım için hesaplanan yerdeğiştirmey, plastik şekildeğiştirmey veya iç kuvvet değerleri ( X ) ve ( Y ) deprem yükleri için aşağıdaki bağıntıda gösterildiği gibi hesaplanmaktadır.

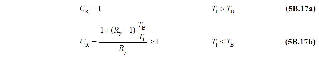
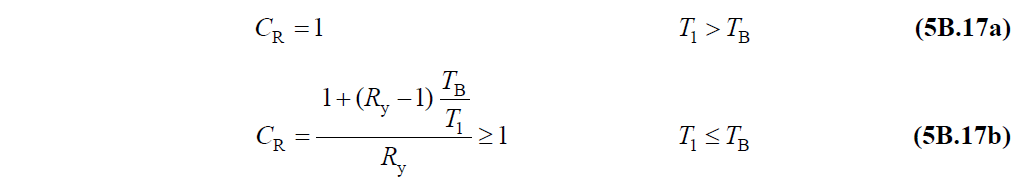
CRn n 'inci moda ait spektral yerdeğiştirme oranını ifade etmektedir. TBDY Bölüm Ek 5B.3.4 'de tanımlandığı şekli ile aşağıdaki gibi hesaplanmaktadır.

Bu bağıntıda T1 1 'inci moda ait doğal titreşim periyodudur. Ancak ARSA yöntemi çok modlu bir itme analizi olduğundan her bir n 'inci moda ait titreşim periyotları kullanılarak CRn değerleri hesaplanmalıdır.
TB değeri TBDY Bölüm 2.3.4.1 'de anlatılan Yatay elastik tasarım ivme spektrumu köşe periyot değeridir.
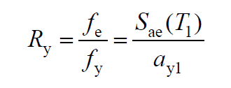
Ry itme hesabından doğrudan elde edilen akma dayanıma bağlı bir büyüklüğü ifade eder. TBDY Bölüm Ek 5B.3.2 'de belirtildiği üzere aşağıdaki denklem ile her n 'inci mod için hesaplanmaktadır.

Bu bağıntıda fe ve Sae(T1) elastik dayanım talebi’ni ve ona karşı gelen elastik spektral ivme’yi, fy ve ay1 ise akma dayanımı’nı ve ona karşı gelen akma sözde-ivmesi’ ni temsil etmektedir. Aşağıdaki grafikte düşey eksen spektral ivme ve yatay eksen spektral yerdeğiştirme olmak üzere Ry 'nin elde edilmesi için gerekli değerler ( Sae(T1) ve ay1 ) gösterilmiştir.

Sonraki Konu
İlgili Konular