Eğilmeli Burulmalı Burkulma Tasarımı
Simgeler
Ag : Kayıpsız enkesit alanı
Cw : Çarpılma sabiti
E: Yapısal çelik elastisite modülü
Fcr : Kritik burkulma gerilmesi
Fe : Elastik burkulma gerilmesi
Fey : y- ekseni etrafında eğilmeli burkulma sınır durumunda elastik burkulma gerilmesi
Fez : Burulmalı burkulma sınır durumunda elastik burkulma gerilmesi
Fy : Yapısal çelik karakteristik akma gerilmesi
G : Yapısal çelik kayma modülü
H : Eğilme sabiti
K : Burkulma boyu katsayısı
L : Desteklenen noktalar arasında kalan eleman uzunluğu
i : Atalet yarıçapı
Eğilmeli Burulmalı Burkulma Sınır Durumu
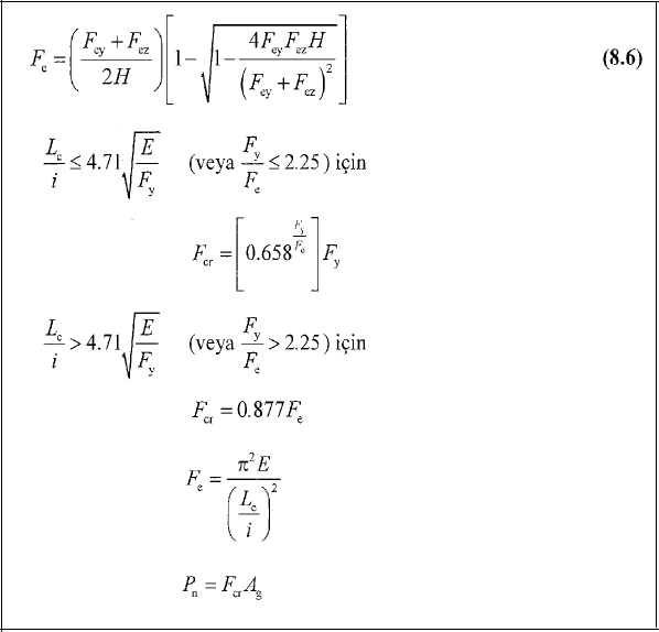
Simetri ekseni y-ekseni olmak üzere, y-ekseni etrafında burkulmanın, elemanın eğilmesi ve boyuna ekseni etrafında dönmesiyle oluştuğu eğilmeli - burulmalı burkulma sınır durumunda çift korniyerler, T - enkesitler, U- profiller ve eşit kollu tek korniyer gibi tek simetri eksenine sahip enkesitlerden oluşan basınç elemanlarının simetri eksenleri etrafında burkulmasıdır.

ÇYTHYE 2018 ile Tasarım
Eksenel kuvvetin kesit ağırlık merkezinden etkimesi durumuna göre, elemanların basınç dayanımı belirlenir.
Simetri ekseni y-ekseni olmak üzere, y-ekseni etrafında burkulmanın, elemanın eğilmesi ve boyuna ekseni etrafında dönmesiyle oluştuğu eğilmeli - burulmalı burkulma sınır durumunda elastik burkulma gerilmesi, Fe denklem 8.6 hesaplanmaktadır.


Sonraki Konu