Burulmalı Burkulma Tasarımı
Simgeler
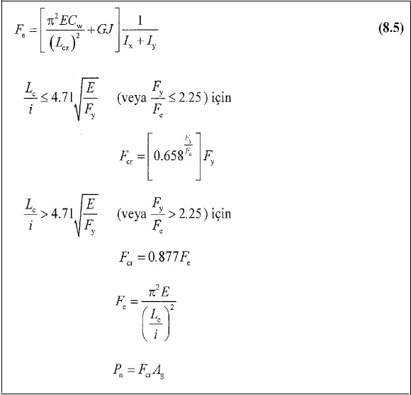
Ag : Kayıpsız enkesit alanı
Cw : Çarpılma sabiti
E: Yapısal çelik elastisite modülü
Fcr : Kritik burkulma gerilmesi
Fe : Elastik burkulma gerilmesi
Fy : Yapısal çelik karakteristik akma gerilmesi
G : Yapısal çelik kayma modülü
J : Burulma sabiti
K : Burkulma boyu katsayısı
L : Desteklenen noktalar arasında kalan eleman uzunluğu
Lcz : z ekseni etrafında eleman burkulma boyu (=KL)
Ix, Iy : İlgili asal eksen etrafında atalet momenti
i : Atalet yarıçapı
Burulmalı Burkulma Sınır Durumu
Burkulmanın, elemanın boyuna ekseni etrafında dönmesiyle oluşması durumudur. Artı (+) şekilli yapma elemanlar veya sırt sırta yerleştirilmiş 4 korniyerden oluşan açık enkesitli basınç elemanlarında meydana gelmektedir.

ÇYTHYE 2018 ile Tasarım
Eksenel kuvvetin kesit ağırlık merkezinden etkimesi durumuna göre, elemanların basınç dayanımı belirlenir.
Burkulmanın, elemanın boyuna ekseni etrafında dönmesiyle oluştuğu burulmalı burkulma sınır durumunda (+ şekilli yapma enkesitli veya sırt sırta yerleştirilmiş 4 korniyerden oluşan açık enkesitli basınç elemanları) elastik burkulma gerilmesi, Fe denklem 8.5 ile hesaplanır.


Sonraki Konu