Eğilmeli Burkulma Tasarımı
Simgeler
Ag : Kayıpsız enkesit alanı
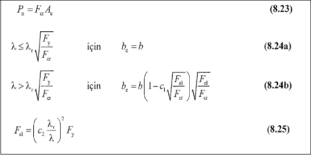
Ae : Etkin alan
c1, c2 : Tablo 8.2’de verilen etkin genişlik hata düzeltme katsayısı
Fcr : Kritik burkulma gerilmesi
Fe : Elastik burkulma gerilmesi
Fe1 : Denklem 8.25 ile hesaplanan yerel elastik burkulma gerilmesi
Fy : Yapısal çelik karakteristik akma gerilmesi
K : Burkulma boyu katsayısı
L : Desteklenen noktalar arasında kalan eleman uzunluğu
Lc : Eleman burkulma boyu (=KL)
i : Atalet yarıçapı
λ : Yerel burkulma oranı
λr : Tablo 5.1a’ da verilen yerel burkulma sınır değeri
Eğilmeli Burkulma Sınır Durumu
Eğilmeli Burkulma; çift simetri eksenli H, kutu ve boru kesitler ile tek simetri eksenli U ve T kesitlerde görülen kesitin asal eksenlerinden biri etrafında eğilmesi ile ortaya çıkan burkulma sınır durumudur.

ÇYTHYE 2018 ile Tasarım
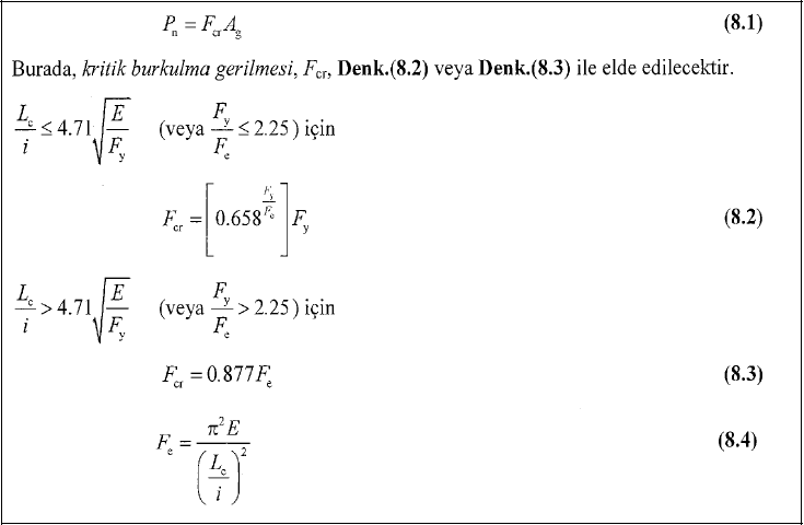
Eksenel kuvvetin kesit ağırlık merkezinden etkimesi durumuna göre, elemanların basınç dayanımı belirlenir. Yönetmelik gereği, eğilmeli burkulma sınır durumu, enkesit özelliklerinden bağımsız olarak, tüm basınç elemanlarında dikkate alınır. Bunun için kullanılan denklemler sıra ile aşağıda verilmiştir.
Öncelikle yerel burkulma kontrolü yapılmalıdır. Elemanların narin veya narin olmamasına göre hesap yapılır.
Narin Olmayan Enkesitte Basınç Kuvveti Dayanımı


Narin Enkesitte Basınç Kuvveti Dayanımı


Sonraki Konu