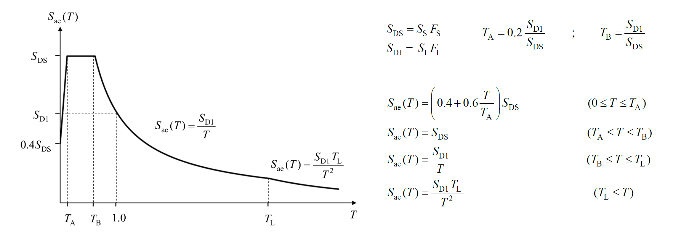
Yatay Elastik Tasarım İvme Spektrumu Tanımlanması (5.2.1)
ideCAD tarafından haritadan elde edilen katsayılar kullanılarak Denklem 2.2 – 2.3 ile Şekil 2.1 ‘de verilen spektrum eğrisi otomatik elde edilir
SİMGELER
FS = Kısa periyot bölgesi için yerel zemin etki katsayısı
F1 = 1.0 saniye periyot için yerel zemin etki katsayısı
SDS = Kısa periyot tasarım spektral ivme katsayısı [boyutsuz]
SD1 = 1.0 saniye periyot için tasarım spektral ivme katsayısı [boyutsuz]
SS = Kısa periyot harita spektral ivme katsayısı [boyutsuz]
S1 = 1.0 saniye periyot için harita spektral ivme katsayısı [boyutsuz]
T = Doğal titreşim periyodu [s]
TA = Yatay elastik tasarım ivme spektrumu köşe periyodu [s]
TB = Yatay elastik tasarım ivme spektrumu köşe periyodu [s]
TL = Yatay elastik tasarım spektrumunda sabit yerdeğiştirme bölgesine geçiş periyodu [s]
Sae(T ) = Yatay elastik tasarım spektral ivmesi [g]
Şekildeğiştirmeye Göre Değerlendirme ve Tasarım (ŞGDT) kapsamında itme yöntemlerinden herhangi biri kullanılırken deprem etkisi TBDY Bölüm 2.3.4 'te tanımlanan yatay elastik tasarım ivme spektrumu kullanılmaktadır.

Çok Modlu İtme Yöntemi (Arsa Yöntemi) başlığı altında detaylıca anlatıldığı üzere itme analizi yöntemi kullanılırken TBDY Bölüm 2.3.4 'te tanımlanan yatay elastik tasarım spektrumu kullanılmakta deprem yükü azaltma katsayısı ŞGDT yaklaşımında kullanılmamaktadır.
Sonraki Konu
İlgili Konular