Yapı Karakteristiklerinin Belirlenmesi
Modal hesap yöntemlerinde kullanılan yapı karakteristikleri (modal katkı çarpanları ve mod şekil vektörü) itme analizinin her adımı için otomatik hesaplanır.
ARSA yöntemi bir artımsal spektrum analizi yöntemidir. Dolayısıyla ARSA, standart doğrusal spektrum analizinin artımsal olarak uygulanmasına dayalı bir analiz yöntemi, diğer bir deyişle doğrusal spektrum analizinin doğrusal olmayan eşdeğeri olarak tanımlanabilir. Bu nedenle yapı dinamik karakteristikleri TBDY Bölüm Ek 4B.1 bölümünde açıklanan de Dayanıma Göre Tasarım (DGT) için kullanılan “Modal Hesap Parametreleri” yapı dinamik karakteristiklerini belirlemek için kullanılacaktır. Yapı dinamik karakteristikleri her adım için hesaplanır. Bu sayede her plastik mafsal oluşumunda yapının rijitlik matrisi değişeceğinden dinamik karakteristikleri de her adıma uygun olarak değişir. Dolayısıyla ARSA yönteminde her bir ( i ) 'inci adımda doğrusal Mod Birleştirme Analizi yapılır.
Analizin başlangıç (i=0) adımında TBDY Madde 5.6.1.2 'de belirtildiği üzere TBDY Denklem 5.1 'de verilen Ed(H) dışındaki statik düşey yükler altında doğrusal olmayan artımsal statik hesap yapılır. Bu hesap ikinci mertebe etkileri (geometri bakımından doğrusal olmayan analiz) 'ni içermektedir. Bu hesaptan elde edilen iç kuvvetler ve şekildeğiştirmeler, deprem hesabında başlangıç adımı olarak gözönüne alınır.

Burada G sabit yük etkisini, S kar yükü etkisini, Ed(Z) ise 4.4.3 ’e göre belirlenen düşey deprem etkisini göstermektedir. Etkin hareketli yük etkisi, TBDY Tablo 4.3 ile tanımlanan Hareketli Yük Kütle Katılım Katsayısı n kullanılarak Qe = nQ olarak hesaplanmaktadır. Ed(H) yatay deprem etkisini göstermektedir.

Analizin birinci (i=1) adımında statik düşey yükler altında doğrusal olmayan artımsal statik hesap sonucunda elde edilen iç kuvvetler ve şekildeğiştirmeler kullanılarak sisteme modal analiz yapılır. Yapılan modal analiz sonucuda her n 'inci titreşim modu için periyot (Tn) ve mod şekli Φn ortaya çıkmaktadır.
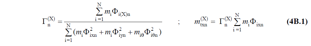
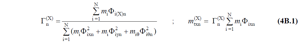
Verilen ( X ) deprem doğrultusu için yapı karakteristikleri TBDY Denklem 4B.1 'de gösterildiği şekli ile aşağıdaki gibi bulunmaktadır. Yapı karakteristikleri, (X) deprem doğrultusu için, n’inci tireşim moduna ait modal katkı çarpanı Γxn(i) ve Φn(i) olarak ifade edilmektedir. TBDY Denklem 4B.1 'de gösterilen Γn(X) değeri ARSA yönteminde her bir itme adımında hesaplandığından Γxn(i) terimi ile ifade edilmektedir. Burada ( i ) adım sayısını göstermektedir.

TBDY Denklem 4B.1 'de gösterilen Φi(X)n i’inci katta (X) deprem doğrultusunda n ’inci doğal titreşim mod şekli genliği anlamına gelmektedir. Ancak sonlu eleman çözümünde kütleler düğüm noktalarında toplantığı için burada Φi(X)n i 'inci düğüm noktası genliği olarak düşünülebilir. Bu durumda mi , i ’inci düğüm noktasının toplam kütlesidir.
Analizin diğer (i=2,3…) adımlarında plastik mafsallar tanımlanmış ve yapının o adım sonundaki iç kuvvetler, şekildeğiştirmeler ve rijitlik matrisi kullanılarak sisteme modal analiz yapılır. Yapılan modal analiz sonucuda her n 'inci titreşim modu için periyot (Tn) ve mod şekli Φn ortaya çıkmaktadır.
Sonuç olarak yapı karakteristikleri, her bir n 'inci mod için itme analizinin i 'inci adımında ( X ) deprem yönü için Γxn(i) ve Φxn(i) ve ( Y ) deprem yönü için Γyn(i) ve Φyn(i) modal analiz yapılarak bulunmaktadır.
İlgili Konular
Modal Sözde İvme Artımı, Modal Deplasman Artımı ve Birikimli Ölçek Katsayısı Belirlenmesi
Her Doğrultu ve Her Mod için Yerdeğiştirmelerin Elde Edilmesi
Tüm Modların Dinamik Karşılıklarının Belirlenmesi ve TKB (CQC) Yönteminin Uygulanması
Akma Seviyesine Ulaşan Elemanların Belirlenmesi ve Sistem Rijitlik Matrisinin Yeniden Oluşturulması