Tek Kayma Levhalı Birleşim
Tek kayma levhalı birleşim, profilin gövdesine bulonla ve mesnete kaynakla bağlı olan bir moment aktarmayan birleşim (kayma birleşimi) tipidir. Bulon kontrolü, kaynak kontrolü ve levha kontrolü birleşimin elemanlarının yerleşimine göre otomatik yapılır. Tek kayma levhalı birleşim tasarımı Çelik Yapıların Tasarım, Hesap ve Yapım Esasları (ÇYTHYEDY) (GKT ve YDKT) veya AISC 360-16 (ASD ve LRFD) yönetmeliklerine göre otomatik yapılır ve birleşim raporu oluşturulur.
Tek kayma levhalı birleşim hesabında, geometri kontrolü olarak bulonlar arası mesafe kontrolü, yatay ve düşey kenar mesafe kontrolü, kaynak kalınlığı kontrolü, montaj stabilitesi kontrolleri yapılır. Dayanım kontrolü olarak, kiriş bulonunda kayma, kiriş ve levha bulon deliklerinde ezilme, levha kayma akması, kiriş ve levha kayma kırılması, levhada blok kayma, levha eğilme burkulması, levha eğilme akması, mesnet kaynak dayanımı kontrolleri yapılır.
Birleşim Geometrisi



GEOMETRİ KONTROLLERİ
Bulonlar arası mesafe
smin ≥ 3d | ÇYTHYEDY 13.3.6 | ||
s | 79.5 mm | ||
d | 20 mm | s =79.5 mm > smin = 3*20=60 mm | √ |
Yatay Kenar Mesafesi
Leh ≥ Le- min | ÇYTHYEDY 13.3.7 | ||
Leh | 40 mm | Leh ≥ 2d=2*20=40 mm uygulama için uygunluk kontrolü | √ |
Le- min | 26 mm | Tablo 13.9 gereği minimum uzaklık kontrolü | √ |
Düşey Kenar Mesafesi
Lev ≥ Le- min | ÇYTHYEDY 13.3.7 | ||
Lev | 40 mm | Leh ≥ 2d=2*20=40 mm uygulama için uygunluk kontrolü | √ |
Le- min | 26 mm | Tablo 13.9 gereği minimum uzaklık kontrolü | √ |
Kaynak Kalınlığı
a ≥ a min | ÇYTHYEDY 13.3.7 |
|
|
a | 9 mm |
| √ |
a min | 3.5 mm | Tablo 13.4 | √ |
Montaj Stabilitesi
L ≥ hb / 2 | ÇYTHYEDY 13.3.7 | ||
L | 239 mm | ||
hb | 248.6 mm | L=239 > 248.6/2=124.3 mm | √ |
Dayanım Kontrolleri
Kiriş Bulonda Kayma
Çelik analiz ayarları sekmesinde seçilen yöntemlerden Elastic method kullanılarak hesap yapılır. Bu hesabın detayı için referans olarak AISC Manual 14th 7-8 kullanılır.
Bu hesapta simetri ekseninin yarısı üzerinden işlem yapılır ve gereken kuvvette, kuvvet çifti oluşturacak şekilde hesaplanır.
Ab | ![]() |
Fn | ![]() |
Rn | ![]() |
Rn/Ω | ![]() |
Gereken | Hazır | Oran | Kontrol |
|---|---|---|---|
32.601 kN | 56.549 kN | 0.577 | √ |
Kiriş Bulon Deliğinde Ezilme
dh | 20+2=22 mm | |
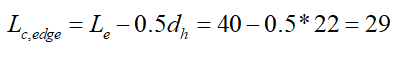
Lc,edge | ![]() | |
Rn | ![]() | ÇYTHYEDY 13.3.13 Denklem 13.14a ve13.14b |
Rn-edge | ![]() | |
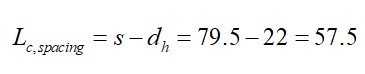
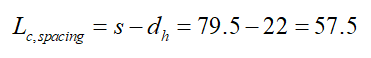
Lc,spacing | ![]() | |
Rn-spacing | ![]() | |
Rn | ![]() | |
Rn/Ω | ![]() |
Gereken | Hazır | Oran | Kontrol |
|---|---|---|---|
64.748 kN | 185.487 kN | 0.349 | √ |
Levha Bulon Deliğinde Ezilme
dh | 20+2=22 mm | |
Lc,edge | ![]() | |
Rn | ![]() | ÇYTHYEDY 13.3.13 Denklem 13.14a ve13.14b |
Rn-edge | ![]() | |
Lc,spacing | ![]() | |
Rn-spacing | ![]() | |
Rn | ![]() | |
Rn/Ω | ![]() |
Gereken | Hazır | Oran | Kontrol |
|---|---|---|---|
64.748 kN | 284.75 kN | 0.227 | √ |
Levha Kayma Akması
Ag | ![]() | |
Fy | 235.359 N/mm2 | |
Rn | ![]() | ÇYTHYEDY 13.17 |
Rn/Ω | ![]() |
Gereken | Hazır | Oran | Kontrol |
|---|---|---|---|
64.748 kN | 270 kN | 0.240 | √ |
Kiriş Kayma Kırılması
Anv | ![]() | |
Fu | 362.846 N/mm2 | |
Rn | ![]() | ÇYTHYEDY 13.18 |
Rn/Ω | ![]() |
Gereken | Hazır | Oran | Kontrol |
|---|---|---|---|
64.748 kN | 176.213 kN | 0.367 | √ |
Levha Kayma Kırılması
Anv | ![]() | |
Fu | 362.846 N/mm2 | |
Rn | ![]() | ÇYTHYEDY 13.18 |
Rn/Ω | ![]() |
Gereken | Hazır | Oran | Kontrol |
|---|---|---|---|
64.748 kN | 218.143 kN | 0.297 | √ |
Levhada Blok Kayma
Ag | ![]() | |
Anv | ![]() | |
Ant | ![]() | |
Fy | 235.359 N/mm2 | |
Fu | 362.846 N/mm2 | |
Ubs | 1 | |
![]() | ||
Rn | ![]() | ÇYTHYEDY 13.19 |
Rn/Ω | ![]() |
Gereken | Hazır | Oran | Kontrol |
|---|---|---|---|
64.748 kN | 229.569 kN | 0.282 | √ |
Levha Eğilme Burkulması
Fy | 235.359 N/mm2 | |
t | 12 mm | |
a | 60 mm | |
L | 239 mm | |
λ | ![]() |
Gereken | Hazır | Kontrol |
|---|---|---|
≤0.70 | 0.17 | √ |
Levha Eğilme Akması
dp | 239 mm | |
Fy | 235.359 N/mm2 | |
tp | 12 mm | |
a | 60 mm | |
Rn | ![]() | |
Rn/Ω | ![]() |
Gereken | Hazır | Oran | Kontrol |
|---|---|---|---|
64.748 kN | 223.92 kN | 0.289 | √ |
Mesnet Kaynağı Dayanımı
w | 12.73 mm | |
FE | 480 N/mm2 | |
l | 239 mm | |
e | 60 mm | |
Rn | ![]() | |
Rn/Ω | ![]() |
Gereken | Hazır | Oran | Kontrol |
|---|---|---|---|
64.748 kN | 421.131 kN | 0.154 | √ |
Sonraki Konu
İlgili Konular




































