Mesnet Köşebentli Birleşim
Mesnet köşebentli birleşim, iki profili birbirine iki adet köşebent (korniyer veya L profil) ile bağlayan birleşim türüdür. Bulon kontrolü, kaynak kontrolü ve levha kontrolü birleşimin elemanlarının yerleşimine göre otomatik yapılır. Mesnet köşebentli birleşim tasarımı Çelik Yapıların Tasarım, Hesap ve Yapım Esasları (ÇYTHYEDY) (GKT ve YDKT) veya AISC 360-16 (ASD ve LRFD) yönetmeliklerine göre otomatik yapılır ve birleşim raporu oluşturulur.
Mesnet köşebentli levhalı birleşim hesabında, geometri kontrolü olarak kaynak kalınlığı kontrolü yapılır. Dayanım kontrolü olarak, kiriş gövdesinde akma, kiriş gövdesinde buruşma, köşebent kayma akması ve mesnet kaynağı dayanımı kontrolleri yapılır.
Birleşim Geometrisi



GEOMETRİ KONTROLLERİ
Kaynak Kalınlığı
a ≥ a min | ÇYTHYEDY 13.3.7 |
|
|
a | 8 mm |
| √ |
a min | 3.5 mm | Tablo 13.4 | √ |
Dayanım Kontrolleri
Kiriş Gövdesinde Akma
tw | 7.1 mm |
|
lb | 25.7 mm | |
k | 10.7+15=25.7 mm (Kiriş başlığı + Kiriş başlığı radius) | |
Fy | 235.359 N/mm2 |
|
Rn | ![]() | ÇYTHYEDY 13.25b |
Rn/Ω | ![]() |
|
Gereken | Hazır | Oran | Kontrol |
|---|---|---|---|
73.288 kN | 100.207 kN | 0.731 | √ |
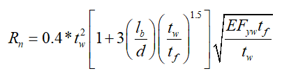
Kiriş Gövde Buruşması
tw | 7.1 mm |
|
tf | 10.7 mm | |
lb | 25.7 mm | |
d | 300 mm | |
E | 205939650 kN/m2 | |
Fy | 235.359 N/mm2 |
|
Rn | ![]() | ÇYTHYEDY 13.26b |
![]() | ||
Rn/Ω | ![]() |
|
Gereken | Hazır | Oran | Kontrol |
|---|---|---|---|
73.288 kN | 98.138 kN | 0.747 | √ |
Köşebent Kayma Akması
Ag | ![]() |
|
Fy | 235.359 N/mm2 |
|
Rn | ![]() | ÇYTHYEDY 13.17 |
Rn/Ω | ![]() |
|
Gereken | Hazır | Oran | Kontrol |
|---|---|---|---|
73.288 kN | 141.215 kN | 0.519 | √ |
Mesnet Kaynağı Dayanımı
Fe | 480000 kN/m2 |
w | 11.315 mm |
Fu | 362.846 N/mm2 |
l | 110 mm |
e | 60mm |
Rn | ![]() |
Rn/Ω | ![]() |
Gereken | Hazır | Oran | Kontrol |
|---|---|---|---|
73.288 kN | 74.06 kN | 0.990 | √ |
Sonraki Konu
İlgili Konular









