Kolon, Perde ve Kiriş Elemanlarında Yerdeğiştirmiş Eksen Dönmelerinin Tanımı
Yerdeğiştirmiş eksen dönmesi değerleri doğrusal performans analizinde kolon, kiriş ve perde elemanlarında birim şekildeğiştime ve plastik dönme taleplerinin hesaplanması için kullanılır.
SİMGELER
E = Beton elastisite modülü
h = Kesit yüksekliği
I = Atalet momenti
lc = Eleman net açıklığı
ls = Kesme açıklığı
My = Etkin akma momenti
Myi = i ucundaki etkin akma momenti
Myj = j ucundaki etkin akma momenti
Δ = Eleman düğüm noktaları arası öteleme
ϕy = Akma eğriliği
ϕt = Toplam eğrilik
θp = Plastik dönme talebi
θi = i düğüm noktası dönmesi
θj = j düğüm noktası dönmesi
θy = Akma dönmesi
θyi = i ucundaki akma dönmesi
θyj = j ucundaki akma dönmesi
θk = Yerdeğiştirmiş eksen dönmesi
θki = i ucundaki yerdeğiştirmiş eksen dönmesi
15A.1. TANIMLAR
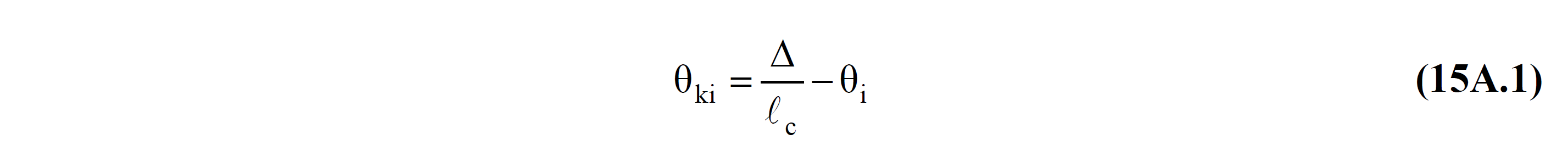
Çift eğrilikli eğilme altındaki tipik bir eğilme elemanının şekildeğiştirme özellikleri Şekil 15A.1 ’de gösterilmektedir. Burada l elemanın toplam boyunu, lc net açıklığını, Δ kat arası ötelenmeyi, θi ve θj sırasıyla i ve j düğüm noktalarının dönmelerini, θki ve θkj sırasıyla i ve j uçlarındaki yerdeğiştirmiş eksen dönmelerini göstermektedir.

15A.2. YERDEĞİŞTİRMİŞ EKSEN DÖNMESİ
Eğilme elemanı doğrusal elastik şekildeğiştirme durumunda iken, i ucundaki yerdeğiştirmiş eksen ve düğüm noktası dönmeleri ile kat arası ötelenmenin ilişkisi Denk.(15A.1) ’de tanımlanmıştır.

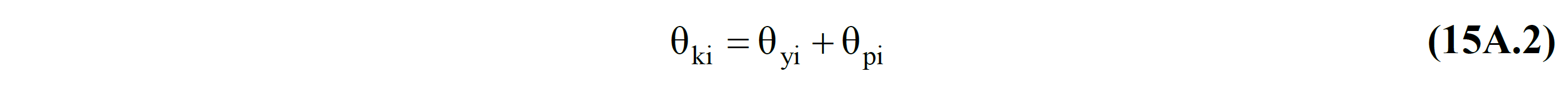
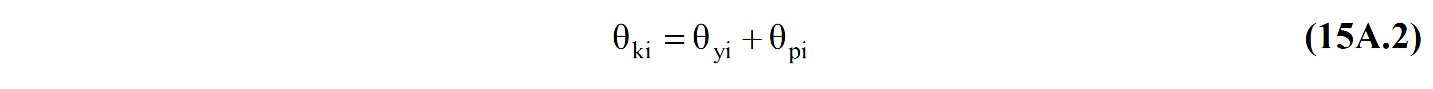
Kiriş elemanlarında kat arası ötelenme değeri genel olarak sıfır alınabilir ( Δ = 0 ). Elemanın i ucunda akma meydana geldiğinde i ucundaki toplam yerdeğiştirmiş eksen dönmesi, bu uçtaki akma dönmesi ve plastik dönmenin toplamına eşittir.

15A.3. ÇERÇEVE ELEMANLARINDA AKMA DÖNMESİ
Her iki ucunda akma durumuna geçen bir eğilme elemanının i ve j uçlarındaki uç akma dönmeleri ve uç momentler arasındaki ilişkiler Denk.(15A.3) ’de verilmektedir. Akma dönmelerinin her iki ucu akma durumunda olan elemanlar için tanımlanması, 15.5.4 ’e göre birim şekildeğiştirme taleplerinin hesabında en elverişsiz duruma karşılık gelmektedir.

Denk.(15A.3) ’de EI çatlamamış kesite ait eğilme rijitliği, Myi ve Myj sırasıyla i ve j uçlarındaki etkin akma momentleri ’dir. Akma momentlerinin yönleri ters saat yönünde artı, saat yönünde eksidir. Dolayısıyla Denk (15A.3) hem çift, hem de tek eğrilikli eğilme durumlarını kapsamaktadır. Etkin akma momenti My , EK 5A.1 ’de verilen tanıma uygun olarak elde edilecektir.
15A.4. PERDE ELEMANLARINDA AKMA DÖNMESİ
4.5.3.2 ’ye göre perde olarak tanımlanan bir eğilme elemanının binanın herhangi bir katındaki alt ucunda akma dönmesi ve akma momenti arasındaki ilişki Denk.(15A.4) ’de verilmektedir.

Burada lc kesme açıklığı (kesitteki moment/kesme kuvveti oranı)’dır. Yaklaşık olarak her katın tabanından perde tepesine olan uzaklığın yarısı olarak alınabilir.
Sonraki Konu