Karşılaştırma Örnek Hesabı

Belirtilen yükler altında çelik kolonu HEB kesit kullanarak S355 malzeme ile tasarlayınız. Kolon alt ucu ankastre, üst ucu ise mafsallıdır.
Çözüm
Kolon üzerindeki eksenel kuvvetin belirlenmesi
Mesnet koşulunun belirlenmesi

TS EN 1993-1-1 Çözümü






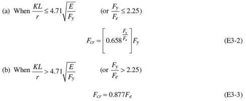
LRFD -YDKT ve ASD-GKT Çözümleri






Yönetmeliklere ait yükleme kombinasyonlarının etkisi örneğe yansıtılmamış olup, sadece G yüklemesi altında tasarım gerçekleştirilmiştir.
Sonraki Konu